ДСТУ EN 60204-1:2015 БЕЗПЕЧНІСТЬ МАШИН ЕЛЕКТРООБЛАДНАННЯ МАШИН Частина 1. Загальні вимоги (EN 60204-1:2006; А1:2009; АС:2010, IDT)
 ПЕРЕДМОВА
1 ВНЕСЕНО: ТОВ «Науково-виробниче підприємство «СІГМА-М» (м. Харків)
ПЕРЕКЛАД І НАУКОВО-ТЕХНІЧНЕ РЕДАГУВАННЯ: В. Горбенко (науковий керівник); І. Горбенко; В. Ситніченко, канд. техн. наук
2 НАДАНО ЧИННОСТІ: наказ ДП «УкрНДНЦ» від 21 грудня 2015 р. № 203 з 2017-01-01.
Стандарт надруковано з урахуванням зміни, затвердженої наказом ДП «УкрНДНЦ» № 10 від 30 січня 2017 р.
З Національний стандарт відповідає EN 60204-1:2006; А1:2009; АС:2010 Safety of machinery — Electrical equipment of machines — Part 1: General requirements (Безпечність машин. Електрообладнання машин. Частина 1. Загальні вимоги (ІЕС 60204-1:2005 + А1:2008, IDT) і внесений з дозволу CEN, rue de Stassart 36, В-1050 Brussels. Усі права щодо використання європейських стан дартів у будь-якій формі і будь-яким способом залишаються за CEN
Ступінь відповідності — ідентичний (IDT) Переклад з англійської (еп)
4 НА ЗАМІНУ ДСТУ EN 60204-1:2014 (прийнятого методом підтвердження)
Право власності на цей національний стандарт належить державі.
Заборонено повністю чи частково видавати, відтворювати задля розповсюдження і розповсюджувати як офіційне видання цей національний стандарт або його частини на будь-яких носіях інформації без дозволу ДП «УкрНДНЦ» чи уповноваженої ним особи
ДП «УкрНДНЦ», 2017
ЗМІСТ
С.
- Передмова до EN 60204-1VIII
- 1 Сфера застосування1
- 2 Нормативні посилання2
- 3 Терміни та визначення понять5
- 4 Загальні вимоги10
- 4.1 Загальні положення10
- 4.2 Вибирання обладнання11
- 4.3 Електроживлення11
- 4.4 Навколишнє середовище та умови експлуатації12
- 4.5 Транспортування та зберігання14
- 4.6 Запобіжні заходи під час транспортно-вантажних операцій14
- 4.7 Установлення14
- 5 Під’єднання контактних затискачів живильного проводу та пристроїв для роз’єднання і вимикання14
- 5.1 Під’єднання контактних затискачів живильного проводу14
- 5.2 Контактний затискач для під’єднання до зовнішньої захисної уземлювальної системи14
- 5.3 Пристрій вимикання (ізолювання) живлення15
- 5.4 Вимикальні пристрої для запобігання непередбаченому пуску17
- 5.5 Пристрої для вимикання електрообладнання17
- 5.6 Захист від недозволених, ненавмисних і/або помилкових з’єднань17
- 6 Захист від ураження електричним струмом18
- 6.1 Загальні положення18
- 6.2 Захист від прямого контакту18
- 6.3 Захист від непрямого контакту20
- 6.4 Захист за допомогою PELV (Protective Extra-Low Voltage)21
- 7 Захист обладнання22
- 7.1 Загальні положення22
- 7.2 Захист від надструму22
- 7.3 Захист електродвигунів від перегрівання24
- 7.4 Захист у разі відхилення від нормальної температури25
- 7.5 Захист у разі переривання живлення або зниження напруги і подальшого їх відновлення 25
- 7.6 Захист електродвигуна від перевищення швидкості25
- 7.7 Захист від пошкодження уземлення (контролювання струму витоку)25
- 7.8 Захист від неправильного чергування фаз25
- 7.9 Захист від перенапруги, що виникає у разі грозових розрядів і комутаційних сплесків25
- 8 Еквіпотенціальне з’єднання26
- 8.1 Загальні положення26
- 8.2 Коло захисту26
- 8.3 Функціональне з’єднання29
- 8.4 Заходи щодо обмеження впливів надмірних струмів витоку29
- 9 Кола і функції керування29
- 9.1 Кола керування29
- 9.2 Функції керування30
- 9.3 Захисні блокування34
- 9.4 Функції керування у разі відмови35
- 10 Зовнішній зв'язок оператора з пристроями керування, встановленими на машині38
- 10.1 Загальні положення38
- 10.2 Кнопкові вимикачі38
- 10.3 Світлові індикатори і дисплеї40
- 10.4 Натискні кнопки з підсвічуванням41
- 10.5 Поворотні пристрої керування41
- 10.6 Пускові пристрої41
- 10.7 Пристрої аварійного зупинення41
- 10.8 Пристрої аварійного вимикання42
- 10.9 Дозвільний пристрій42
- 11 Апаратура керування: розміщення, монтування і захисні оболонки43
- 11.1 Загальні вимоги43
- 11.2 Розміщення І монтування43
- 11.3 Ступені захисту44
- 11.4 Оболонки, двері та отвори44
- 11.5 Доступ до апаратури керування45
- 12 Проводи і кабелі45
- 12.1 Загальні вимоги45
- 12.2 Проводи45
- 12.3 Ізоляція46
- 12.4 Струмопровідна спроможність у нормальних умовах експлуатування47
- 12.5 Падіння напруги на проводі та кабелі48
- 12.6 Гнучкі кабелі48
- 12.7 Колекторні щітки та пластини, вузли з кільцями ковзання49
- 13 Монтаж електропроводки50
- 13.1 З'єднання і прокладання проводів50
- 13.2 Ідентифікація проводів51
- 13.3 Проводка усередині оболонки52
- 13.4 Проводка поза оболонкою53
- 13.5 Короби, з’єднувальні й інші коробки55
- 14 Електродвигуни і пов’язане з ними обладнання57
- 14.1 Загальні вимоги57
- 14.2 Оболонки двигунів57
- 14.3 Розміри двигунів57
- 14.4 Монтаж двигунів і відсіки57
- 14.5 Критерії вибирання двигунів57
- 14.6 Захисні пристрої для механічних гальм58
- 15 Обладнання та освітлення58
- 15.1 Обладнання58
- 15.2 Місце освітлення машини і обладнання58
- 16 Маркування, застережні знаки та умовні познаки59
- 16.1 Загальні положення59
- 16.2 Застережні знаки59
- 16.3 Функціональна ідентифікація59
- 16.4 Маркування обладнання60
- 16.5 Умовні познаки60
- 17 Технічна документація60
- 17.1 Загальні положення60
- 17.2 Інформація, що її потрібно надавати60
- 17.3 Вимоги стосовно усієї документації61
- 17.4 Установна документація61
- 17.5 Структурні та функціональні схеми61
- 17.6 Принципові схеми62
- 17.7 Настанова з експлуатування62
- 17.8 Інструкція з обслуговування62
- 17.9 Перелік запасних частин62
- 18 Випробування та перевіряння62
- 18.1 Загальні положення62
- 18.2 Перевірка умов щодо захисту автоматичним роз’єднанням від системи електроживлення63
- 18.3 Випробування опору ізоляції65
- 18.4 Випробування напругою66
- 18.5 Захист від залишкової напруги66
- 18.6 Функціональне випробування66
- 18.7 Повторне випробування66
- Додаток А Захист від непрямого контакту в системах живлення із уземленням типу TN66
- Додаток В Опитувальний лист щодо електрообладнання машин66
- Додаток С Приклади машин, на які поширюється цей стандарт74
- Додаток D Струмопровідна спроможність і захист від надструму для проводів і кабелів в електрообладнанні машин75
- Додаток E Роз'яснення дії аварійних функцій80
- Додаток F Настанова щодо застосування цього стандарту80
- Додаток G Порівняння типових значень перерізів проводів82
- Додаток ZZ Охоплення Основних вимог Директив ЕС83
- Додаток НА Перелік національних стандартів, гармонізованих із міжнародними нормативними документами, на які є посилання в цьому стандарті84
- Додаток НВ Абетковий покажчик термінів86
- Бібліографія89
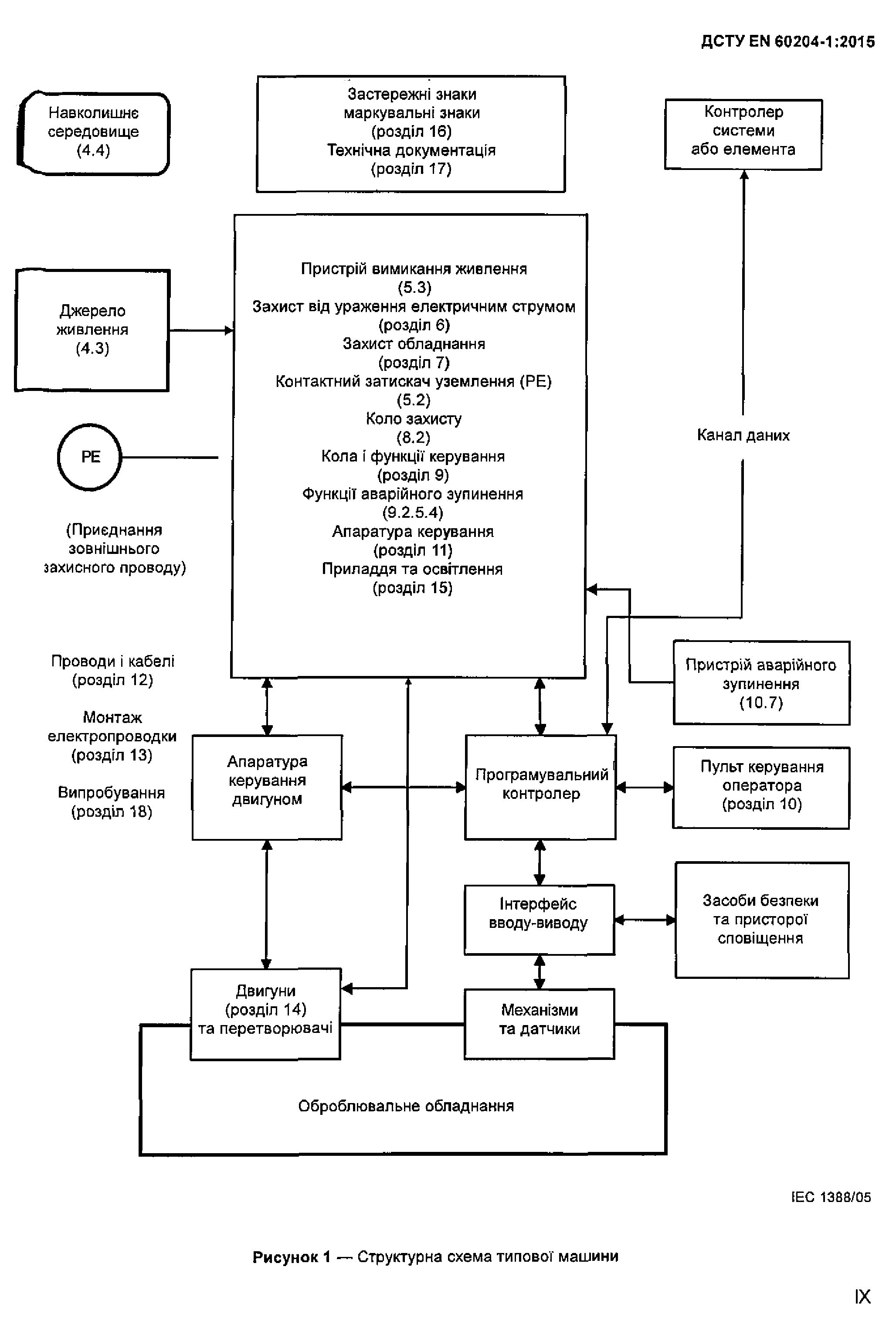
- Рисунок 1 — Структурна схема типової машиниIX
- Рисунок 2 — Приклад еквіпотенціальних з’єднань в електрообладнанні машини27
- Рисунок 3 — Метод а)37
- Рисунок 4 — Метод Ь)37
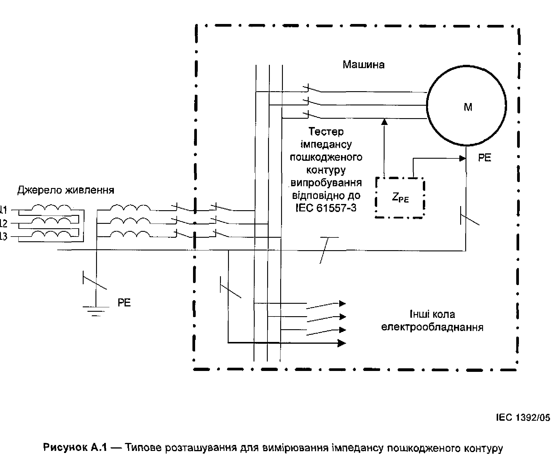
- Рисунок А.1 —Типове розташування для вимірювання імпедансу пошкодженого контуру69
- Рисунок D.1 — Методи прокладання проводів і кабелів незалежно від числа проводів/кабелів76
- Рисунок D.2 — Параметри проводів та захисних пристроїв78
- Таблиця 1 — Мінімальна площа поперечного перерізу мідного зовнішнього захисного проводу15
- Табпиця 2 — Код кольорів органів керування кнопкових вимикачів і їхнє значення39
- Табпиця 3 — Символи для кнопкових вимикачів40
- Таблиця 4 — Кольори для світлових індикаторів та їхнє значення залежно від стану машини 40
- Таблиця 5 — Мінімальні перерізи мідних проводів46
- Таблиця 6 — Приклади струмопровідної спроможності (Iz) для мідного проводу з PVC ізоляцією або кабелю в усталеному режимі за температури навколишнього середовища + 40 °С для різних способів прокладання47
- Таблиця 7 — Коефіцієнти зниження для кабелів, намотаних на барабан48
- Таблиця 8 — Мінімально допустимий радіус вигину для примусово вигнутих гнучких кабелів54
- Таблиця 9 — Застосування методів випробування для систем живлення із уземленням типу TN64
- Таблиця 10 — Приклади максимальної довжини кабелю для кожного захисного пристрою під навантаженням65
- Таблиця А.1 — Максимальний час роз'єднання для систем живлення із уземленням типу TN67
- Таблиця D.1 — Поправкові коефіцієнти75
- Таблиця D.2 — Поправкові коефіцієнти для Iz під час групування77
- Таблиця D.3 — Поправкові коефіцієнти Іz для багатожильних кабелів перерізом до 10 мм277
- Таблиця D.4 — Класифікація проводів77
- Таблиця D.5 — Максимально допустимі температури для проводів в умовах нормальної роботи і в разі короткого замикання79
- Таблиця F.1 — Варіанти застосування81
- Таблиця G.1 — Порівняння розмірів проводів82
НАЦІОНАЛЬНИЙ ВСТУП
Цей стандарт є переклад EN 60204-1:2006 Safety of machinery — Electrical equipment of machines — Part 1: General requirements (Безпечність машин. Електрообладнання машин. Частина 1. Загальні вимоги) зі змінами А1:2009 та АC:2010.
Технічний комітет, відповідальний за цей стандарт, — ТК 75 «Верстати».
Стандарт містить вимоги, які відповідають чинному законодавству України.
До стандарту внесено такі редакційні зміни (з урахуванням змін А1;2009 та АС:2010);
— слова «цей європейський стандарт», «ця частина ІЕС 60204» замінено на «цей стандарт»;
— у розділі 2 наведено «Національне пояснення», виділене в тексті рамкою;
— структурні елементи цього стандарту: «Титульний аркуш», «Передмову», «Зміст», «Національний вступ», першу сторінку, «Терміни та визначення понять» та «Бібліографічні дані», — оформлено згідно з вимогами національної стандартизації України;
— до розділу 3 долучено «Національну примітку», виділену рамкою;
— виправлено помилку в додатку В, а саме: в Ь) 13 «Технічна документація» посилання на 17.5 змінено на 17.4;
— виправлено помилки в додатку НВ, а саме відкориговані пункти термінів, що зазначені нижче:
— «апаратура керування», вилучено 4.2.2;
— «блокувальний пристрій (блокування)», долучено 5.3.1, 5.6, 9.2.5.1, 9.2.5.2;
— «засіб безпеки», вилучено 4,1;
— «захисне з'єднання», вилучено 18.1, А.4.2;
— «захисний провід», долучено 18.2.3;
— «відмова (пошкодження)», долучено 5.3.5, вилучено 6.3.2.2;
— «кабелепідтримувальна конструкція», долучено 13.5.7, D.1.2;
— «короб», долучено додаток В;
— «коло керування (машини)», долучено 9.4.1;
— «коло захисту», вилучено 18.1, А.4.2;
— «кабельний лоток (лоток для прокладання кабелю)», долучено D.1.2, D.1.3;
— «прямий контакт», долучено 3.3, 6.4.1, 9.2.5.4.3, вилучено 9.2.5.4;
— «пристрій керування», долучено 9.2.6.4, 10.9;
— «пристрій аварійного зупинення», долучено 9.2.7.3, вилучено 9.2.7.2;
— «пристрій аварійного вимикання», вилучено 9.2.5.4.3, 10.2.1, 12.7.1;
— «огорожа», долучено 3.19, вилучено 3.21, 3.29;
— «машинне обладнання, машина», долучено 3.9, 5.3.3, 6.3.3, 10,14.6, D.1.4, вилучено 3.26, 5.3.4,11.5, 16.3, 18.2,1;
— «небезпека», долучено 3.31, вилучено 3.30, 9.2.6.1;
— «незахищена струмопровідна частина», долучено 3.29, вилучено 3.30, А.4.2;
— «оболонка», долучено 10.1.1, 12.4, 13.4, 13.4.1, 13.4.2, 13.4.3, 13.4.5, D.1.2;
— «обладнання», долучено 3.36, 5.3.3, 9.2, 9.2.5.4.2,15.1, А.4.2, додаток F, вилучено 9.2.5.4.1, 10.3.2, 16.1, 18.2,2;
— «постачальник», долучено А.2, вилучено 7.2.10, 11.4, 16.1,17.9;
— «ризик», долучено 6.3.1, 17.2, вилучено 9.2.4, 13.2.1, А.1;
— «споживач», долучено 4.3.1, вилучено 4.3.2, 7.2.9;
— «стороння струмопровідна частина», долучено 8.2.7;
— «умовна познака», вилучено 17.9.
— долучено додаток НА (Перелік національних стандартів, гармонізованих із міжнародними нормативними документами, на які є посилання в цьому стандарті).
Копії нормативних документів, на які є посилання в цьому стандарті, можна отримати в Національному фонді нормативних документів.
ПЕРЕДМОВА до EN 60204-1
Цей стандарт установлює вимоги та рекомендації до електрообладнання промислових машин і механізмів, що забезпечують:
— безпеку персоналу і майна;
— узгодженість реакцій на керівний вплив;
— легкість обслуговування.
Докладніше про області застосування цього стандарту викладено в додатку F.
Рисунок 1 має посприяти в розумінні зв'язків між різними елементами промислової машини та допоміжного обладнання. На рисунку 1 зображено структурну схему типової машини, а також представлені різні елементи електрообладнання, про які йдеться в цьому стандарті. Числами в дужках указані розділи і підрозділи цього стандарту. Маємо на увазі, що на рисунку 1 представлено сукупність елементів, що розглядають разом, що охоплює засоби безпеки, оснастку, допоміжне обладнання, програмне забезпечення і документацію, складові промислової машини, і що одна або кілька працюючих разом машин, з певним рівнем керування і контролю, щонайменше являють собою виробничий комплекс або систему.  ДСТУ EN 60204-1:2015НАЦІОНАЛЬНИЙ СТАНДАРТ УКРАЇНИ
БЕЗПЕЧНІСТЬ МАШИН ЕЛЕКТРООБЛАДНАННЯ МАШИН
Частина 1. Загальні вимоги
БЕЗОПАСНОСТЬ МАШИН
ЭЛЕКТРООБОРУДОВАНИЕ МАШИН
Часть 1. Общие требования
SAFETY OF MACHINERY
ELECTRICAL EQUIPMENT OF MACHINES
Part 1. General requirements
Чинний від 2017-01-01
1 СФЕРА ЗАСТОСУВАННЯ
Цей стандарт поширюється на електричне, електронне і електронне програмоване обладнання та системи машин, які не призначені для ручного переміщення під час їхньої роботи, а також на групу машин, що узгоджено працюють разом.
Примітка 1. Цей стандарт є стандартом з безпеки, і його вимоги не можуть обмежувати або стримувати технічне просування.
Примітка 2. У цьому стандарті термін «електричний» використовують стосовно електрики, електроніки та електронного програмування (тобто «електричне обладнання» стосується електричного, електронного та електронно-програмованого обладнання).
Примітка 3. У цьому стандарті термін «персонал» відноситься до будь-якої особи або групи осіб, підготовлених і призначених споживачем або його представником (представниками) з питань експлуатації та технічного обслуговування.
Електрообладнання, на яке поширюється цей стандарт, охоплює все електрообладнання машини, починаючи з точки підключення його до джерела живлення (див. 5.1).
Примітка 4. Вимоги до монтажу електроживлення будівель — згідно з серією ІЕС 60364.
Цей стандарт поширюється на електрообладнання та його частини, що працюють від мережі змінного струму за номінальної напруги живлення не більше ніж 1000 В або постійного струму не більше ніж 1500 В та номінальної частоти не більше ніж 200 Гц.
Примітка 5. Для вищих значень напруги див. ІЕС 60204-11.
Цей стандарт не охоплює всіх вимог (наприклад, щодо захисту, блокування або керування), які необхідні та встановлюються іншими стандартами і технічними документами, що призначені не тільки для захисту персоналу від небезпеки ураження електричним струмом, а й від інших небезпек. До кожного типу машин повинні бути встановлені вимоги, яких потрібно дотримуватися, щоб забезпечити належну безпеку.
До цього стандарту спеціально внесено, але не є обмеженням, електрообладнання машин, визначення яких наведено в 3.35.
Примітка б. У додатку С перераховані приклади машин, на електрообладнання яких можуть поширюватися вимоги цього стандарту.
Видання офіційне
Спеціальні та додаткові вимоги, що не містяться в цьому стандарті, можуть пред'являтися д о електрообладнання машин, які:
— використовують на відкритому повітрі (тобто поза будинками або іншими захисними спорудами);
— використовують, підготовляють або виробляють легкозаймисті речовини {наприклад, фарбу або тирсу);
— застосовують у вибухонебезпечних і/або легкозаймистих середовищах;
— створюють особливі ризики під час виготовлення та використовування деяких матеріалів;
— призначені для використання в шахтах;
— належать до швейних машин, вузлів і систем;
Примітка 7. Для швейних машин див. EN 60204-31.
— належать до підіймальних механізмів.
Примітка 8. Для підіймальних механізмів див. EN 60204-32.
У цьому стандарті не розглядають силові кола, в яких електроенергію використовують як робочий інструмент.
2 НОРМАТИВНІ ПОСИЛАННЯ
У наведених нижче нормативних документах зазначено положення, які через посилання в цьому тексті становлять положення цього стандарту. У разі датованих посилань застосовують тільки наведені видання. У разі недатованих посилань треба користуватись останнім виданням наведених документів (разом зі змінами).
ІЕС 60034-1 Rotating electrical machines — Part 1: Rating and performance
IEC 60034-5 Rotating electrical machines — Part 5: Degrees of protection provided by the integral design of rotating electrical machines (IP code) — Classification
IEC 60034-11 Rotating electrical machines — Part 11: Thermal protection
IEC 60072-1 Dimensions and output series for rotating electrical machines — Part 1: Frame numbers 56 to 400 and flange numbers 55 to 1080
IEC 60072-2 Dimensions and output series for rotating electrical machines — Part 2: Frame numbers 355 to 1000 and flange numbers 1180 to 2360
IEC 60073:2002 Basic and safety principles for man-machine interface, marking and identification — Coding principles for indicators and actuators
IEC 60309-1:1999 Plugs, socket-outlets, and couplers for industrial purposes — Part 1: General requirements
IEC 60364-4-41:2005 Low-voltage electrical installations — Part 4-41: Protection for safety — Protection against electric shock
IEC 60364-4-43:2001 Electrical installations of buildings — Part 4-43: Protection for safety — Protection against overcurrent
IEC 60364-5-52:2001 Electrical installations of buildings — Part 5-52: Selection and erection of electrical equipment — Wiring systems
IEC 60364-5-53:2002 Electrical installations of buildings — Part 5-53: Selection and erection of electrical equipment — Isolation, switching and control
IEC 60364-5-54:2002 Electrical installations of buildings — Part 5-54: Selection and erection of electrical equipment — Earthing arrangements, protective conductors and protective bonding conductors
IEC 60364-6-61:2001 Electrical installations of buildings — Part 6-61: Verification — Initial verification
IEC 60417-DB:2002 Graphical symbols for use on equipment
IEC 60439-1:1999 Low-voltage switchgear and controlgearassemblies — Part 1: Type-tested and partially type-tested assemblies
IEC 60445:1999 Basic and safety principles for man-machine interface, marking and identification — Identification of equipment terminals and of terminations of certain designated conductors, including general rules for an alphanumeric system
IEC 60446:1999 Basic and safety principles for man-machine interface, marking and identification — Identification of conductors by colours or numerals
ІЕС 60447:2004 Basic and safety principles for man-machine interface, marking and identification — M af-machine interface (MMI) —Actuating principles
IEC 60529:1999 Degrees of protection provided by enclosures (IP Code) Amendment 1 (2001)
IEC 60617-DB:2001 Graphical symbols for diagrams
IEC 60621-3:1979 Electrical installations for outdoor sites under heavy conditions (including openers! mines and quarries) — Part 3: General requirements for equipment and ancillaries
IEC 60664-1:1992 Insulation co-ordination for equipment within low-voltage systems — Part 1: Principles, requirements and tests
IEC 60947-1:2004 Low-voltage switchgear and controlgear — Part 1: General rules IEC 60947-2:2003 Low-voltage switchgear and controlgear— Part 2: Circuit-breakers IEC 60947-3:1999 Low-voltage switchgear and controlgear— Part 3: Switches, disconnectors, switch-di sconnectors, and fuse combination units
IEC 60947-5-1:2003 Low-voltage switchgear and controlgear — Part 5-1: Control circuit devices and switching elements — Electromechanical control circuit devices
IEC 60947-7-1:2002 Low-voltage switchgear and controlgear — Part 7-1: Ancillary equipment — Terminal blocks for copper conductors
IEC 61082-1:1991 Preparation of documents used in electrotechnology — Part 1: General requirements IEC 61082-2:1993 Preparation of documents used in electrotechnology — Part 2: Function — oriented diagrams
IEC 61082-3:1993 Preparation of documents used in electrotechnology — Part 3: Connection diagrams, tables and lists
IEC 61082-4:1996 Preparation of documents used in electrotechnology — Part 4: Location and installation documents
IEC 61140:2001 Protection against electric shock — Common aspects for installation and equipment IEC 61310 (all parts) Safety of machinery— Indication, marking and actuation IEC 61346 (all parts) Industrial systems, installations and equipment and industrial products — Structuring principles and reference designations
IEC 61557-3:1997 Electrical safety in low voltage distribution systems up to 1000 V a.c. and 1500 V d.c. — Equipment for testing, measuring or monitoring of protective measures — Part 3: Loop impedance
IEC 61558-1:1997 Safety of power transformers, power supply units and similar — Part 1: General requirements and tests Amendment 1 (1998)
IEC 61558-2-6 Safety of power transformers, power supply units and similar — Part 2-6: Particular requirements for safety isolating transformers for general use
IEC 61984:2001 Connectors — Safety requirements and tests
IEC 62023:2000 Structuring of technical information and documentation
IEC 62027:2000 Preparation of parts lists
IEC 62061:2005 Safety of machinery — Functional safety of safety-related electrical, electronic and programmable electronic control systems
IEC 62079:2001 Preparation of instructions — Structuring, content and presentation ISO 7000:2004 Graphical symbols for use on equipment — Index and synopsis ISO 12100-1:2003 Safety of machinery — Basic concepts, general principles for design — Part 1: Basic terminology, methodology
ISO 12100-2:2003 Safety of machinery — Basic concepts, general principles for design — Part 2: Technical principles
ISO 13849-1:2006 Safety of machinery — Safety-related parts of control systems — Part 1: General principles for design
ISO 13849-2:2003 Safety of machinery — Safety-related parts of control systems — Part 2: Validation ISO 13850:2006 Safety of machinery — Emergency stop — Principles for design.
НАЦІОНАЛЬНЕ ПОЯСНЕННЯ
IEC 60034-1 Машини електричні обертові. Частина 1. Номінальні і робочі характеристики ІЕС 60034-5 Машини електричні обертові. Частина 5. Ступені захисту, забезпечувані цілісною конструкцією обертових електричних машин (IP код). Класифікація
ІЕС 60034-11 Машини електричні обертові. Частина 11. Тепловий захист ІЕС 60072-1 Розміри і потужність обертових електричних машин. Частина 1. Номери габаритів від 56 до 400 і номери фланців від 55 до 1080
ІЕС 60072-2 Розміри і потужність обертових електричних машин. Частина 2. Номери габаритів від 355 до 1000 і номери фланців від 1180 до 2360
ІЕС 60073:2002 Основні принципи та правила з безпеки щодо інтерфейсу «людина—машина», маркування та позначення. Принципи кодування індикаторів та органів керування
ІЕС 60309-1:1999 Вилки, розетки та з’єднувачі промислової призначеності. Частина 1. Загальні вимоги
ІЕС 60364-4-41:2005 Низьковольтні електричні установки будинків. Частина 4-41. Захист безпеки. Захист від поразки електричним струмом
ІЕС 60364-4-43:2001 Електричні установки будинків. Частина 4-43. Захист безпеки. Захист від перевантаження струмом
ІЕС 60364-5-52:2001 Електричні установки будинків. Частина 5-52. Вибір і монтаж електрообладнання. Системи проводки
ІЕС 60364-5-53:2002 Електричні установки будинків. Частина 5-53. Вибір і монтаж електрообладнання, Ізоляція, комутація і керування
ІЕС 60364-5-54:2002 Електричні установки будинків. Частина 5-54. Вибір і монтаж електрообладнання. Уземлювальні пристрої, захисні перемички і захисні еквіпотенціальні перемички ІЕС 60364-6-61:2001 Електричні установки будинків. Частина 6-61. Перевіряння. Початкове перевіряння
ІЕС 60417-DB:2002 Графічні символи для використання в обладнанні
ІЕС 60439-1:1999 Устатковання комплектних розподільчих пристроїв низьковольтне. Частина 1. Устатковання, що пройшло випробування типу повністю чи частково
ІЕС 60445:1999 Основні положення та правила безпеки щодо інтерфейсу «людина-машина», маркування та позначення. Позначення виводів обладнання та кінців провідників, охоплюючи основні правила для буквено-цифрової системи
ІЕС 60446:1999 Основні положення та правила безпеки щодо інтерфейсу «людина-машина», маркування та позначення. Позначення провідників кольором та цифрами
ІЕС 60447:2004 Основні положення та правила безпеки щодо інтерфейсу «людина-машина», маркування та позначення. Інтерфейс «людина-машина». Виконавчі принципи
ІЕС 60529:1999 Ступені захисту, забезпечувані оболонками (Код IP). Зміна 1 (2001)
ІЕС 60617-DB:2001 Графічні символи для схем
ІЕС 60621-3:1979 Електричні пристрої для установлення на відкритому повітрі під дією важких зовнішніх умов (охоплюючи шахти відкритої розробки і кар'єри). Частина 3. Основні вимоги для обладнання і приладдя
ІЕС 60664-1:1992 Узгодження ізоляції для обладнання, що його вмикають у низьковольтні системи. Частина 1. Принципи, вимоги і випробовування
ІЕС 60947-1:2004 Комутаційна апаратура та апаратура керування низьковольтна. Частина 1. Загальні правила
ІЕС 60947-2:2003 Комутаційна апаратура та апаратура керування низьковольтна. Частина 2. Автоматичні вимикачі
ІЕС 60947-3:1999 Комутаційна апаратура та апаратура керування низьковольтна. Частина 3. Вимикачі, роз’єднувачі, вимикачі-роз’єднувачі й плавкі запобіжники, що об’єднуються в блоки ІЕС 60947-5-1:2003 Пристрої комплектні розподільчі низьковольтні. Частина 5-1. Пристрої розподільчих кіл і перемикальні елементи. Електромеханічні пристрої розподільчих кіл
ІЕС 60947-7-1:2002 Пристрої комплектні розподільчі низьковольтні. Частина 7-1. Допоміжне обладнання. Клемні колодки для мідних провідників
ІЕС 61082-1:1991 Підготовка документів, що використовують в електротехніці. Частина 1. Загальні вимоги
ІЕС 61082-2:1993 Підготування документів, що використовують в електротехніці. Частина 2. Функціонально-орієнтовані схеми
I EC 61082-3:1993 Підготування документів, що використовують в електротехніці. Частина 3. Схеми під’єднання, таблиці та переліки
ІЕС 61082-4:1996 Підготування документів, що використовують в електротехніці. Частина 4. Документація з установлення та розміщення
ІЕС 61140:2001 Захист від ураження електричним струмом. Загальні аспекти щодо установок та обладнання
ІЕС 61310 {усі частини) Безпечність машин. Позначення, маркування та приведення в дію ІЕС 61346 (усі частини) Виробничі системи, установки та обладнання і промислові вироби. Структурні принципи та додаткові дані
ІЕС 61557-3:1997 Електробезпечність низьковольтних розподільчих систем напругою до 1000 В змінного струму та 1500 В постійного струму. Обладнання для випробування, вимірювання або контролю заходів шодо безпеки. Частина 3. Повний електричний опір
ІЕС 61558-1:1997 Безпечність силових трансформаторів, силових блоків живлення, реакторів й аналогічних пристроїв. Частина 1. Загальні технічні вимоги та випробування
ІЕС 61558-2-6 Безпечність силових трансформаторів, силових блоків живлення й аналогічних пристроїв. Частина 2-6. Спеціальні вимоги до безпечних розділових трансформаторів загального призначення
ІЕС 61984:2001 З'єднувачі. Вимоги безпечності та випробування ІЕС 62023:2000 Структуризація технічної інформації і документації ІЕС 62027:2000 Складання переліку деталей
ІЕС 62061:2005 Безпечність машин. Функціональна безпека електричних, електронних і програмованих електронних систем контролю, пов'язаних із безпекою
ІЕС 62079:2001 Підготування інструкцій. Структура, зміст та подання ISO 7000:2004 Графічні символи, що їх використовують на устаткованні. Покажчик та огляд ISO 12100-1:2003 Безпечність машин. Основні поняття, загальні принципи проектування. Частина 1. Основна термінологія, методологія
ISO 12100-2:2003 Безпечність машин. Основні поняття, загальні принципи, проектування. Частина 2. Технічні принципи
ISO 13849-1:2006 Безпечність машин. Деталі систем керування, пов’язані з убезпеченням. Частина 1. Загальні принципи проектування
ISO 13849-2:2003 Безпечність машин. Деталі систем керування, пов'язані з убезпеченням. Частина 2. Перевіряння
ISO 13850:2006 Безпечність машин. Аварійна зупинка. Принципи проектування,
З ТЕРМІНИ ТА ВИЗНАЧЕННЯ ПОНЯТЬ
У цьому стандарті вжито такі терміни та визначення позначених ними понять.
3.1 орган керування (actuator)
Частина пристрою, до якої докладають зовнішнє силове зусилля.
Примітка 1. Орган керування може мати форму ручки, кнопки, ролика, плунжера тощо.
Примітка 2. Деякі засоби керування не вимагають зовнішнього силового зусилля для приведення в дію, а вимагають тільки певної дії.
Примітка 3. Див. також 3.34
3.2 температура навколишнього середовища (ambient temperature)
Температура повітря або іншого середовища в тому місці, де треба використовувати обладнання
3.3 огорожа (barrier)
Елемент, що забезпечує захист від прямого контакту в будь-якому можливому напрямку доступу
3.4 кабельний лоток (лоток для прокладання кабелю) (cable tray)
Опорна конструкція кабелю, що складається з неперервної основи з піднятими краями і без покриття.
Примітка. Кабельний лоток може бути перфорованим і неперфорованим [IEV 826-15-08]
3.5 кабелелідтримувальна конструкція (cable trunking system)
Набір закритих оболонок, що містять основу зі знімною кришкою, призначених для повного захисту ізольованих проводів, кабелів, шнурів і для розміщення іншого електрообладнання
3.6 узгоджений (одночасний) (сопсиггепі)
Дієвий у взаємозв’язку; термін використовують для опису ситуації, коли два або кілька пристроїв керування, що діють одночасно {але необов’язково синхронно)
3.7 кабелепровід {conduit)
Закритий елемент кабельної конструкції круглого або будь-якого поперечного перерізу, призначений для прокладання ізольованих проводів і/або кабелів в електричних установках, який дає змогу робити їхню прокладку або заміну.
Примітка. Бажано, щоб кабелепроводи були закриті настільки, щоб ізольовані проводи і/або кабелі можна було тільки протягати в них, але не вставляти збоку
[IEV 826-06-03]
3.8 коло керування (машини) (control circuit [of a machine))
Коло, використовуване для керування, охоплюючи моніторинг машини і електрообладнання
3.9 пристрій керування (control device)
Пристрій, під'єднаний до кола керування і використовуваний для керування роботою машини (наприклад, датчик положення, ручний перемикач керування, реле, контактор, електромагнітний клапан)
3.10 апаратура керування {controlgear)
Комутувальні пристрої та їх комбінація із відповідним обладнанням керування, вимірювання, захисту і регулювання, а також групи таких пристроїв і обладнання з відповідними взаємозв’язками, арматурою, оболонками та тримальними конструкціями, що призначені в основному для керування електрообладнанням
[IEV 441-11-03, модифікований]
3.11 контрольоване зупинення (controlled stop)
Зупинення руху машини приводом машини, у разі зберігання її живлення від джерел електроенергії під час зупинення
3.12 прямий контакт (direct contact)
Контакт людей або домашніх тварин чи худоби з частинами, що перебувають під напругою
[IEV 826-12-03]
3.13 безпосереднє розмикання (контактного елемента) (direct opening action (of a contact element))
Роз’єднання контактів як безпосередній результат дії виконавчого механізму органа керування на перемикач через непружні елементи (наприклад, без застосування пружин)
[К.2.2 ІЕС 60947-5-1]
3.14 короб (duct)
Закритий жолоб, розроблений спеціально для розміщення та захисту електричних проводів, кабелів і електричних шин.
Примітка. Кабелепроводи (див. 3.7), кабелепідтримувальні конструкції (див. 3.5) та канали під підлогою є модифікаціями коробів
3.15 електрична робоча зона (electrical operating area)
Приміщення або обмежена зона для розміщення електрообладнання, доступ до яких можливий для кваліфікованих або проінструктованих осіб за допомогою відчинення дверей або переміщення огорож без використовування ключа чи інструмента, і які чітко позначені відповідними застережними знаками
3.16 електронне обладнання (electronic equipment)
Частина електричного обладнання, що містить кола, які складаються в основному з електронних пристроїв і компонентів
3.17 пристрій аварійного зупинення (emergency stop device)
Керований вручну пристрій керування, застосовуваний для виконання функції аварійного зупинення
[3.2 ISO 13850].
Примітка. Див. додаток Е
3.18 пристрій аварійного вимикання (emergency switching off device)
Керований вручну пристрій керування, застосовуваний для вимикання електричної енергії або частини всього обладнання у випадках, коли виникає ризик ураження електричним струмом або є інший ризик електричного походження.
Примітка. Див. додаток Е
3.19 закрита електрична робоча зона (enclosed electrical operating area)
Приміщення або обмежена зона для розміщення електрообладнання, доступ до якої можли-вілйдля кваліфікованих або проінструктованих осіб за допомогою відчинення дверей або переміщенні огорож із використовуванням ключа або інструмента, і які чітко позначені відповідними застережними знаками
3.20 оболонка {enclosure)
Елемент, що забезпечує захист обладнання від визначених зовнішніх впливів і в будь-якому напрямку, а також захист від прямих контактів.
Примітка. Треба звернути увагу на визначення, взяте з IEV, що вимагає таких роз'яснень відповідно до цього стандарту: а) Оболонки забезпечують захист осіб або домашніх тварин чи худоби від доступу до небезпечних частин, в) Огорожі, фасонні отвори або будь-які інші засоби, що стосуються оболонки чи обладнання у середині оболонки, призначені для запобігання або обмеження доступу для спеціального випробувального приладдя, розглядають як частину оболонки, крім випадків, коли їх можна зняти без використовування ключа або інструмента, с) Оболонка може бути у вигляді:
— шафи або ящика, встановленого на машині або окремо від машини;
— відсіку, що утворює закритий простір і є частиною конструкції машини
3.21 обладнання (equipment)
Матеріал, пристрій, прилади, приладдя, арматура, апарати тощо, використовувані як частини електрообладнання машини або в поєднанні з нею
3.22 еквіпотенціальне з’єднання (equipotential bonding)
Забезпечення електричного з’єднання між струмопровідними частинами, призначене для до-ся гнення еквіпотенціальності [IEV 195-1-10]
3.23 незахищена струмопровідна частика (exposed conductive part)
Провідна частина електрообладнання, до якої можна торкнутися і яка в звичайному стані не пе ребуває під напругою, але яка може опинитися під напругою в разі несправності [IEV 826-12-10, модифікований]
3.24 стороння струмопровідна частина {extraneous conductive part)
Провідна частина, яка не входить до складу електричного пристрою і перебуває зазвичай під потенціалом землі
[IEV 826-12-11, модифікований]
3.25 відмова (пошкодження) (failure)
Припинення здатності будь-якого об’єкта виконувати потрібну функцію.
Примітка 1. Після відмови об'єкт перебуває в несправному стані.
Примітка 2. иВідмова» є подією, на відміну від «несправності», що є станам.
Примітка 3. Це визначення поняття «відмова» не застосовують до пристроїв, що складаються тільки з програмного забезпечення.
[IEV 191-04-01]
Примітка 4. На практиці терміни «несправність» і «відмова» часто використовують як синоніми
3.26 несправність (fault)
Стан об'єкта, що характеризується втратою здатності виконувати необхідну функцію. У це
поняття не входить непрацездатність, спричинена профілактичним обслуговуванням або іншими
заздалегідь передбаченими заходами чи через відсутність зовнішніх ресурсів.
Примітка 1. Несправність часто є наслідком відмови об'єкта, але може існувати і без попередньої відмови.
Примітка 2. В англійській мові термін «несправність» і його визначення є ідентичними з тими, що наведені в IEV 191-05-01
3.27 функціональне з’єднання (functional bonding)
Еквіпотенціальне з’єднання, яке необхідне для забезпечення функціонування електрообладнання належним чином
3.28 небезпека (hazard)
Потенційне джерело фізичної травми або шкоди здоров’ю.
Примітка 1, Термін «небезпека» може бути кваліфіковано для того, щоб визначити його походження (наприклад, механічна небезпека, електрична небезпека) або джерело потенційної шкоди (наприклад, небезпека ураження електричним струмом, небезпеки отримання порізу, токсичного ураження і пожежної небезпеки).
Примітка 2, Небезпека передбачена в цьому визначенні:
— як безперервно присутня під час передбаченого використання машини (наприклад, пересування небезпечних рухомих елементів, електрична дуга під час зварювання, незручна робоча поза, робочий шум, висока температура):
— або що виникає несподівано (наприклад: вибух, небезпека від дроблення як наслідок ненавмисного/несподіваного пу/су, викид як наслідок брухту, падіння як наслідок прискорення/уповільнення)
[3.6 ISO 12100-1 модифікований)
3.29 непрямий контакт (indirect contact)
Контакт людей або домашніх тварин чи худоби з незахищеними струмопровідними частинам и, що можуть опинитися під напругою в умовах несправності
[IEV 826-12-04, модифікований]
3.30 індукційна силова електропостачальна система (inductive power supply system)
Силова система індукційного передавання електричної енергії, що складається з силового
перетворювача і приєднаного до нього напрямного проводу, вздовж якого один або більше безконтактний датчик(и) і пов'язаний безконтактний датчик перетворювача(-ів) може переміщатися без будь-якого гальванічного або механічного контакту, для того щоб передавати електричну енергію, наприклад, до пересувної машини.
Примітка. Напрямний провід і безконтактний датчик є аналогами первинної та вторинної обмоток трансформатора відповідно.
Національна примітка
Під індукційною силовою електропостачальною системою розуміють силову систему індукційного передавання електричної енергії, що складається з вхідного частотного перетворювача та приєднаного до нього напрямного проводу, вздовж якого можуть пересуватися один або кілька струмоприймачів із приєднаним до кожного з них вихідним частотним перетворювачем, без будь-якого гальванічного або механічного контакту, для передавання електричної енергії, наприклад, до пересувної машини.
Примітка 1. Напрямний провід і струмоприймач електричної енергії є подібними до первинної та вторинної обмоток -трансформатора відповідно.
Примітка 2. Вхідний частотний перетворювач перетворює живильну напругу змінного струму з частотою мережі або напругу від джерела живлення постійного струму в напругу змінного струму високої частоти (кГц), яку прикладають до контуру напрямного проводу.
Примітка 3. Магнітне поле високої частоти, що утворюється контуром напрямного проводу, сприймається рухоми-м(и) приймачем(-ами) електричної енергії
3.31 проінструктована особа (з електротехніки) ((electrically) instructed person)
Особа, достатньо проінформована або яка перебуває під наглядом кваліфікованої щодо електротехніки особи, що дає їй можливість передбачати ризик і уникнути небезпеки з боку електрообладнання
[IEV 826-18-02 модифікований]
3.32 блокувальний пристрій (блокування) (для захисту від небезпек) (interlock (for safeguarding))
Пристосування, яке об’єднує огорожу(-і) чи пристрій(-ої) із системою керування та/або із системою живлення машини або її частиною
3.33 піднапругова частина (live part)
Провід або струмопровідна частина, яка перебуває під напругою в нормальних умовах експлуатації, охоплюючи нейтральний провід, але, за угодою, не є проводом PEN.
Примітка. Цей термін не обумовлює в обов’язковому порядку наявність ризику ураження електричним струмом
3.34 привід машини (machine actuator)
Силовий механізм, використовуваний для здійснення руху машини
3.35 машинне обладнання, машина (machinery (machine))
Комплекс взаємопов’язаних частин або компонентів, принаймні один з яких рухається з відповідними приводами машини, силові кола та кола керування, з’єднані разом для конкретного застосування, зокрема для перероблення, оброблення, переміщення або упакування матеріалу.
Термін «машинне обладнання» також охоплює групу машин, які розташовані й керуються таким чином, щоб виконувати спільну функцію.
Примітка. Термін «компонент» використаний тут у загальному сенсі й не стосується тільки електричних компонентів
[3.1 ISO 12100-1, модифікований]
3.36 маркування (marking)
Знаки або написи, призначені в першу чергу, для ідентифікування обладнання, компонентів і/або пристроїв, які повинні охоплювати певні їх характеристики
3.37 нейтральний провід (символ N) {neutral conductor N)
Провід, який з’єднаний із нейтральною точкою мережі електроживлення та має здатність для передавання електроенергії
[IEV 826-14-07, модифікований]
3.38 перепона (перешкода) {obstacle)
Елемент, що перешкоджає ненавмисному прямому контакту, але не перешкоджає прямому контакту за допомогою обміркованих дій
3.39 надструм (overcurrent)
Струм, що перевищує номінальне значення. Для проводів номінальним значенням струму є їхня струмовідна спроможність
[IEV 826-11-14, модифікований]
3.40 перевантаження (коло) (overload (of a circuit))
Відношення час/струм в колі, в якому перевищено допустиме максимальне навантаження кола, коли коло не перебуває в умовах несправності
Примітка. Не потрібно використовувати термін «перевантаження» як синонім терміна «надструм»
3.41 штепсельний рознім {plug-socket combination)
Елемент і відповідний спряжений із ним елемент, використовувані як закінчення проводів та призначені для поєднання чи роз’єднання двох або більше проводів.
Примітка. Прикладами штепсельного розніму можуть бути:
— з'єднувачі, що відповідають вимогам ІЕС 619S4;
— вилка та розетка, відгалужувач кабелів або прилади для з'єднання згідно з ІЕС 60309-1;
— вилка та розетка згідно з ІЕС 60834-1 або прилади для з’єднання згідно з ІЕС 60320-1
3.42 силове коло (power circuit)
Коло, яке передає живлення від мережі живлення до елементів обладнання, що виконують виробничі операції, і до трансформаторів, що живлять коло керування
3.43 захисне з’єднання (protective bonding)
Еквіпотенціальне з’єднання для захисту від ураження електричним струмом.
Примітка. Заходи щодо захисту від ураження електричним струмом можуть також знизити ризик виникнення пожежі або опіків
3.44 коло захисту (protective bonding circuit)
Захисні проводи і струмопровідні частини, що з'єднані разом, щоб забезпечити захист від ураження електричним струмом у разі пошкодження ізоляції
3.45 захисний провід (protective conductor)
Провід, потрібний для захисного з’єднання як захід щодо захисту від ураження електричним струмом для електричного з’єднання з деякими із таких частин:
— незахищеними струмопровідними частинами;
— сторонніми струмопровідними частинами;
— основним уземлювальним контактним затискачем (РЕ)
[IEV 826-13-22, модифікований]
3.46 резервування (redundancy)
Використовування більше ніж одного пристрою або системи, або частини пристрою, або системи для забезпечення у разі невиконання функцій одним із них, виконання цих функцій іншим
3.47 умовна познака (reference designation)
Особливий код, який слугує для Ідентифікування елемента в документації та на обладнанні
3.48 ризик (risk)
Поєднання ймовірності виникнення шкоди (тобто фізичної травми або ушкодження здоров’я) і тяжкості цієї шкоди
[3.11 ISO 12100-1 модифікований]
3.49 засіб безпеки (safeguard)
Захисний пристрій або огорожа, використовувана для захисту осіб від небезпеки
3.50 захист від небезпек (safeguarding)
Заходи щодо безпеки з використанням запобіжних пристроїв для захисту осіб від небезпек, які не можуть бути обгрунтовано вимкнені, або від ризиків, які не можуть бути достатньою мірою зменшені по суті безпечними конструктивними заходами
[3.20 ISO 12100-1]
3.51 робоча площадка (servicing level)
Площадка, на якій, як правило, перебувають особи під час роботи або обслуговування електрообладнання
3.52 струм короткого замикання {short-circuit current)
Надструм у результаті короткого замикання через несправність або неправильне під’єднання в електричному колі
[IEV 441-11-07]
3.53 кваліфікована особа (з електротехніки) ((electrically) skilled person)
Особа з відповідною професійною підготовкою, освітою і досвідом, що дають змогу їй передбачати ризик і уникати небезпек, які можуть бути спричинені електрикою
[IEV 826-09-01, модифікований]
3.54 постачальник (supplier)
Суб'єкт (наприклад виробник, підрядник, монтажник і складальник), що постачає обладнання або надає послуги, пов’язані з машиною.
Примітка. Організація споживача може також діяти як постачальник до себе
3.55 комутувальний пристрій (switching device)
Пристрій, призначений для подавання і/або переривання подавання струму в одне або кілька електричних кіл
[IEV 441-14-01, модифікований].
Примітка. Комутувальний пристрій може виконувати одну або обидві ці функції
3.56 неконтрольоване зупинення (uncontrolled stop)
Зупинення руху машини за допомогою припинення подавання електроенергії до приводів машини.
Примітка. Це визначення не має на увазі конкретного стану інших (наприклад, неелектричних) зупинок пристроїв, наприклад, механічні або гідравлічні гальма, які виходять за сферу застосування цього стандарту
3.57 споживач (user)
Суб’єкт, що використовує машину і пов’язане з нею електрообладнання.
4 ЗАГАЛЬНІ ВИМОГИ
4.1 Загальні положення
Цей стандарт поширюється на електрообладнання, використовуване для широкого ряду машин різноманітної призначеності й груп машин, що працюють спільно й узгоджено.
Ризики, пов’язані з небезпекою, що стосується електрообладнання, треба оцінювати як частину загального оцінювання ризику всієї машини. Це дасть змогу установити допустимий рівень ризику і необхідні заходи щодо захисту людей, що можуть піддаватися цій небезпеці, зберігаючи в той самий час прийнятні робочі характеристики машини й обладнання.
Небезпеки, не обмежені переліком видів небезпек, можуть охоплювати:
— відмови або несправності електрообладнання, внаслідок яких можливі ураження електричним струмом або загоряння;
— відмови або несправності в колах керування (або їхніх елементах і в пристроях, пов'язаних із цими колами), що призводять до порушення роботи машини;
— порушення або перерви в роботі джерела живлення, а також відмови чи несправності в силових колах, що призводять до порушення роботи машини;
— порушення безперервності в колах, які мають ковзні або обертові контакти, що призводять до порушення функції безпечності;
— електричні порушення (наприклад, електромагнітні, електростатичні, радіозавади) від зовнішніх джерел або ті, що генеруються в самій машині;
10
— вивільнення накопиченої енергії (електричної або механічної), які призводять, наприклад, до ураження електричним струмом або неконтрольованих рухів, що становлять небезпеку;
— температура поверхні, яка може призвести до травми.
Заходи убезпечення є поєднанням усіх заходів, прийнятих на етапі розробляння, і заходів, що їх повинен забезпечувати споживач.
Процес проектування та розроблення повинен ідентифікувати небезпеки та ризики, що пов’язані з ними. Якщо небезпека не може бути вилучена та/або ризики не можуть бути достатньою мірою зменшені, за своєю суттю, безпечними конструктивними заходами, то повинні бути передбачені захисні заходи (наприклад, захист від небезпек) для зниження ризику. Повинні бути передбачені додаткові засоби (наприклад, створення стереотипів у підсвідомості), де необхідне подальше зменшення ризику. Крім того, необхідні робочі процедури, які знижують ризик.
Використовування опитувальних форм, наведених у додатку В, рекомендовано для полегшення розробляння угоди між споживачем і постачальником(-ами) за основними і додатковими вимогами споживача, що стосуються електрообладнання. Ці додаткові вимоги необхідні для того, щоб:
— забезпечити додаткові властивості, що залежать від типу машини (або групи машин) і її застосовування;
— полегшити обслуговування і ремонт; і
— підвищити надійність і зручність роботи.
4.2 Вибирання обладнання
4.2.1 Загальні положення
Електричні компоненти і пристрої повинні;
— бути придатні для використання за призначеністю; і
— відповідати вимогам відповідних стандартів ІЕС, де такі є; і
— бути застосовними відповідно до інструкцій постачальника.
4.2.2 Електрообладнання, що відповідає вимогам стандартів серїїІЕС 60439
Електрообладнання машини повинно відповідати вимогам щодо безпеки, визначеним рівнем
ризиків. Враховуючи тип машини, її призначенність та електрообладнання, конструктор може підбирати окремі частини електрообладнання для машини відповідно до вимог ІЕС 60439-1 і, за необхідності, відповідно до вимог інших відповідних частин стандартів серії ІЕС 60439 (див. додаток F).
4.3 Електроживлення
4.3.1 Загальні положення
Електрообладнання треба розробляти так, щоб воно відповідало умовам електроживлення;
— відповідно до 4.3.2 або 4.3.3, або
— за узгодженням зі споживачем (див. додаток В), або
— відповідно до вказівок постачальника, у разі застосовування спеціальних джерел електроживлення, таких як бортовий генератор.
4.3.2 Живлення змінним струмом
Напруга Стале значення напруги — 0,9 ... 1,1 номінальної напруги.
Частота 0,99 ... 1,01 номінальної частоти безперервно;
0,98 ... 1,02 короткочасно.
Гармоніки Гармонійні спотворення не перевищують 10 % наявного значення на
пруги між фазними проводами для суми від 2-ї до 5-ї гармоніки. Додатково припустимо гармонійне спотворення 2 % наявного значення напруги між фазними проводами для суми від 6-ї до 30-ї гармоніки.
Несиметрія напруги Напруга складової зворотної послідовності та напруга складової нульової послідовності в трифазній мережі не повинні перевищувати 2 % напруги прямої послідовності.
Переривання напруги Живлення не повинно перериватися або напруга не повинна падати до
нуля протягом часу більше ніж 3 мс у будь-який із моментів періоду живлення. Між двома послідовними перериваннями повинен бути інтер-
Провали напруги Провали напруги не повинні перевищувати 20 % від максимального значення напруги живлення протягом більше ніж одного періоду. Інтервал між двома послідовними провалами напруги повинен перевищувати 1 с.
4.3.3 Живлення постійним струмом
Від батарей:
Напруга 0,85 ... 1,15 номінальної напруги;
0,7 ... 1,2 номінальної напруги під час використовування на транспортних засобах, що працюють від акумулятора.
Переривання напруги Від перетворювачів: Напруга
Переривання напруги
Не більше ніж 5 мс.
0,9 ... 1,1 номінальної напруги.
Не більше ніж 20 мс. Інтервал між послідовними перериваннями повинен перевищувати 1 с.
Примітка. Цей відхил від настанови ІЕС Guide 106 необхідний для забезпечення нормальної роботи електронного об
ладнання.
Пульсація (від піка до піка)
Не більше ніж 15 % номінальної напруги.
4.3.4 Спеціальні системи живлення
Для спеціальних систем живлення, таких як бортові генератори, обмеження 4.3.2 і 4.3.3 можуть бути перевищені за умови, що обладнання розраховано на нормальну роботу в таких умовах.
4.4 Навколишнє середовище та умови експлуатації
4.4.1 Загальні положення
Електрообладнання повинно бути придатне для використовування у навколишньому середовищі й умовах експлуатації за призначеністю. Вимоги, що зазначені в 4.4.2—4.4.8, рекомендовано до умов навколишнього середовища та умов експлуатації більшості машин, охоплених цим стандартом. Рекомендовано, за особливих умов, укладання спеціальної угоди між постачальником і споживачем за необхідності (див. 4.1), (див. додаток В).
4.4.2 Електромагнітна сумісність (EMC)
Обладнання не повинне створювати електромагнітні завади, рівень яких перевищує регламентоване значення для передбачених місць його використовування. Крім того, обладнання повинне мати відповідний рівень несприйнятливості до електромагнітних завад, що забезпечує правильне функціювання в умовах навколишнього середовища, у якому його використовують.
Примітка 1. У стандартах з EMC для конкретних видів продукції ІЕС 61000-6-1 або ІЕС 61000-6-2 та ІЕС 61000-6-3, або ІЕС 61000-6-4 та в базових стандартах CISPR наведені вимоги з EMC до норм випромінювання і несприйнятливості до електромагнітних завад.
Примітка 2. ІЕС 61000-5-2 дає керівні принципи для уземлення і кабелів електричних та електронних систем з метою забезпечення вимог електромагнітної сумісності (EMC), Якщо існують стандарти для конкретних видів продукції (наприклад, ІЕС 61496-1, ІЕС 61800-3 та ІЕС 60947-5-2), то вони мають перевагу над базовими стандартами.
Заходи щодо обмеження збурення електромагнітних завад, тобто кондуктивних і випромінюваних завад, містять таке:
— фільтрування живлення;
— екранування кабелю;
— оболонки, що призначені для зведення до мінімуму радіочастотного (RF) випромінювання;
— засоби притлумлення радіочастотного (RF) випромінювання.
Заходи щодо несприйнятливості обладнання від кондуктивних та випромінюваних РЧ завад містять таке:
— розроблення функціонального з’єднання, з урахуванням наступного:
— з’єднання чутливих електричних кіл із шасі. Таке з'єднання потрібно маркувати або позначати символом відповідно до ІЕС 60417-5020 (DB:2002-10):
— з’єднання шасі із землею (РЕ), використовуючи провід із низьким радіочастотним (RF) імпендансом j максимально коротким, наскільки це практично можливо; .
— з’єднання чутливого до завад електрообладнання або кіл, безпосередньо з колами РЕ або до функціонального уземлювального проводу (FE) (див. рисунок 2), щоб звести до мінімуму загальне порушення режиму. Цей останній контактний затискач має бути маркований або позначений символом відповідно до ІЕС 60417-5018 (DB:2002-10):
— відділення чутливих кіл від джерела завад;
— оболонки, що мінімізують наведення радіочастотного (RF) випромінювання;
— зниження електромагнітних завад під час монтування проводки:
— застосуванням скручування проводів, що дає змогу знизити виникнення сплесків завад;
— підтриманням відповідних відстаней між проводами кіл, що випромінюють завади, і проводами кіл, чутливих до електромагнітних завад;
— застосуванням орієнтації кабельних пересічень під кутом 90° під час електромонтування;
— прокладанням проводів якомога ближче до площини уземлення;
— застосуванням електростатичних екранів і/або екрануванням опліткою з низьким рівнем радіочастотного (RF) імпендансу.
4.4.3 Температура навколишнього середовища
Електрообладнання повинно нормально працювати за заданої температури навколишнього середовища. Мінімальною вимогою для всього електрообладнання є нормальна робота його за температури повітря в межах від +5 °С до +40 °С. За дуже високої температури навколишнього середовища (наприклад, в умовах жаркого клімату, на сталеливарних заводах, на паперових фабриках) за низьких температур може з’явитися необхідність додаткових вимог (див. додаток В),
4.4.4 Вологість
Електрообладнання повинно нормально працювати, коли відносна вологість не перевищує 50% за максимальної температури +40°С. Вищу відносну вологість можна допускати за нижчої температури (наприклад, 90 % за температури + 20 °С).
Заходи щодо усунення шкідливих впливів конденсації необхідно передбачити на етапі конструювання обладнання або, у разі необхідності, треба вжити відповідних додаткових заходів (наприклад, застосувати вбудовані обігрівачі або кондиціонери повітря, дренажні отвори).
4.4.5 Висота над рівнем моря
Електрообладнання повинно нормально працювати на висоті до 1000 м над рівнем моря.
4.4.6 Забруднення
Електрообладнання повинно бути належним чином захищено від проникнення твердих тіл або рідин (див. 11.3).
Електрообладнання повинно бути належним чином захищено від забруднень (наприклад, пилу, кислот, агресивних газів, солей), що можуть бути наявними у навколишньому середовищі, в яке електрообладнання повинно бути встановлено (див. додаток В).
4.4.7 Іонізувальне і неіонізувальне випромінювання
Коли обладнання піддається впливу випромінювання (наприклад мікрохвильових, лазерних ультрафіолетових і рентгенівських променів), то щоб уникнути порушень у роботі обладнання або швидкого руйнування ізоляції, необхідно вжити додаткових заходів. Рекомендовано спеціальну угоду між постачальником і споживачем (див. додаток В).
4.4.8 Вібрація, удари та поштовхи
Небажаного ефекту від вібрації, ударів і поштовхів (охоплюючи ті, що створюються машиною і пов'язаним із нею обладнанням, і ті, що створюються навколишнім середовищем) необхідно уни-кати за допомогою відповідно підібраного обладнання, установлення його поза машиною або застосовування антивібраційного монтажу. Рекомендовано спеціальну угоду між постачальником і споживачем (див. додаток В).
4.5 Транспортування та зберігання
Електрообладнання повинно бути розроблено, або має бути вжито відповідних запобіжних заходів щодо захисту, щоб протистояти транспортуванню і зберіганню за температур у діапазоні від мінус 25 °С до + 55 °С і протягом коротких періодів, і за температури до + 70 °С, що не переви-щує 24 год. Потрібно передбачити відповідні заходи, щоб запобігти пошкодженню від впливу вопоги, вібрацій і ударів. Рекомендовано спеціальну угоду між постачальником і споживачем (див. додаток В).
Примітка. Електрообладнання, чутливе до низьких температур, містить кабелі з ізоляцією PVC.
4.6 Запобіжні заходи під час транспортно-вантажних операцій
Важке й громіздке електрообладнання, що підлягає від’єднанню від машини на період транспортування або незалежне від неї, має бути оснащене відповідними засобами для підіймання краном або подібними механізмами.
4.7 Установлення
Електрообладнання потрібно встановлювати і використовувати відповідно до інструкцій постачальника. 5 ПІД’ЄДНАННЯ КОНТАКТНИХ ЗАТИСКАЧІВ ЖИВИЛЬНОГО ПРОВОДУ ТА ПРИСТРОЇВ ДЛЯ РОЗ’ЄДНАННЯ І ВИМИКАННЯ
5.1 Під'єднання контактних затискачів живильного проводу
Рекомендовано там, де це можливо, приєднання електрообладнання машини до єдиного джерела електроживлення. Якщо для деяких частин обладнання (наприклад, електронне обладнання, яке працює за іншої напруги) необхідно використовувати іншу живильну напругу, то це живлення бажано, по можливості, одержувати від пристроїв (таких як трансформатори, перетворювачі), що є частиною електричного обладнання машини. Для великих машинних комплексів, що складаються з кількох, розташованих на великій відстані одна від однієї машин, які працюють спільно в узгодженому режимі, можуть знадобитися кілька джерел електроживлення залежно від розташування місць приєднання (див. 5.3.1).
За винятком випадків, коли машина оснащена рознімним контактним з’єднанням для під'єднання електроживлення (див. 5.3.2 е), проводи, що йдуть від джерела живлення, рекомендовано приєднувати безпосередньо до вхідних контактних затискачів вимикального пристрою.
Якщо застосовують нейтральний провід, то він повинен бути чітко позначений у технічній документації на машину, такій, як принципова схема та схема з'єднань, а також для нейтрального проводу повинен бути передбачений окремий ізольований контактний затискач, маркований N відповідно до 16.1 (див. також додаток В).
У електрообладнанні не повинно бути з’єднань між нейтральним проводом і колом захисту, а також не можна використовувати загальний контактний затискач PEN,
Виняток: дозволено з’єднання між нейтральним проводом і контактним затискачем РЕ у точці під’єднання кіл електроживлення машини для систем живлення із уземленням TN-C.
Усі контактні затискачі для під’єднання електроживлення до машини повинні бути чітко позначені відповідно до ІЕС 60445 та 16.1. Для ідентифікування контактного затискача зовнішнього захисного проводу див. 5.2.
Для надання інструкцій щодо обслуговування див. 17.8.
5.2 Контактний затискач для під’єднання до зовнішньої захисної узємлювальної системи
Для кожної системи електропостачання на машині в безпосередній близькості від місця під’єднання фазних проводів повинен бути встановлений контактний затискач для приєднання машини до зовнішньої захисної узємлювальної системи або для під’єднання зовнішнього захисного проводу залежно від типу розподільчої системи електропостачання.
Контактний затискач повинен мати такі розміри, щоб до нього можливо було під’єднати мідний зовнішній захисний провід із площею поперечного перерізу за таблицею 1.
Таблиця 1 — Мінімальна площа поперечного перерізу мідного зовнішнього захисного проводу
|
Площа поперечного перерізу фазних проводів, |
Мінімальна площа поперечного перерізу |
|
що живлять обладнання S, мм2 |
мідного зовнішнього захисного проводу SP, мм2 |
|
S < 16 |
S |
|
16<S< 35 |
16 |
|
S > 35 |
S/2 |
Якщо зовнішній захисний провід виконано не з міді, то розміри контактного затискача повинні бути вибрані відповідно (див. також 8.2.2).
На кожній точці введення електроживлення контактний затискач для під’єднання зовнішнього захисного проводу повинен бути маркований або позначений буквами РЕ (див. ІЕС 60445).
5.3 Пристрій вимикання (ізолювання) живлення
5.3.1 Загальні положення
Пристрій вимикання електроживлення повинен бути передбачений:
— для кожного підведення джерела живлення до машин(и);
Примітка. Підведення живлення може бути здійснено прямим підключенням або через живильну систему. Живильна система може включати проводи, шинопроводи, збірки ковзних контактів, гнучкі кабельні системи або індукційні силові системи живлення.
— для кожного бортового джерела електроживлення.
Пристрій вимикання повинен, у разі необхідності, вимикати (ізолювати) електрообладнання машини від електроживлення (наприклад, для уникання робіт на машині, зокрема її електрообладнання).
Коли встановлено два або більше пристроїв вимикання живлення, необхідна наявність захисного блокування, що забезпечує їхнє правильне функціонування в небезпечних умовах, у разі пошкодження машини або порушення виробничого процесу.
5.3.2 Типи
Типи пристроїв вимикання електроживлення бувають такі:
a) вимикач-роз’єднувач із плавкими запобіжниками або без них відповідно до вимог ІЕС 50947-3 із категорією використовування АС-23В або DC-23B;
b) роз'єднувач із плавкими запобіжниками або без них відповідно до вимог ІЕС 60947-3, оснащений допоміжним контактом, що спричинює в усіх випадках розмикання кола навантаження комугувальними пристроями до розмикання основних контактів роз'єднувача;
c) вимикач, придатний для операцій вимикання, відповідно до вимог ІЕС 60947-2;
d) будь-який інший комутувальний пристрій, що відповідає вимогам стандарту ІЕС до продукції на такий пристрій і одночасно вимогам до ізолювання ІЕС 60947-1, а також категорії застосування, що визначена стандартом до продукції щодо перемикання електродвигунів під навантаженням або інших індуктивних навантажень;
e) штепсельний рознім для гнучкого кабелю живлення.
5.3.3 Вимоги
Коли пристрій вимикання живлення є одним із типів, що зазначено в 5.3.2 а)—d), то він повинен задовольняти такі вимоги:
— вимикати електрообладнання від живлення і мати тільки одне положення OFF (вимкнено), і одне положення ON марковано як «О» та «І» (символи ІЕС 60417-5008 (DB:2002-10) та ІЕС 60417-5007 (DB:2002-10), див. 10.2.2);
— мати помітний контактний зазор або індикатор положення, який може показувати положення OFF (вимкнено) тільки у випадку, якщо всі контакти в дійсності відкриті і вимоги щодо функції роз’єднання мають бути задоволені;
— мати зовнішній орган керування (наприклад, рукоятку), (виняток: для комутаційного пристрою із силовим приводом не потрібна наявність органу керування поза оболонкою, якщо він має інщі засоби для від’єднання). Якщо зовнішній засіб керування не використовують для виконання аварійних операцій, то рекомендовано застосовувати ЧОРНИЙ і СІРИЙ кольори для його фарбування (див. 10.7.4 і 10.8.4);
— мати засоби, що дозволяють його заблокувати в положенні OFF (вимкнено) (наприклад, за допомогою висячих замків). Коли так заблоковано, дистанційного і місцевого замикання треба уникати;
— від’єднувати усі піднапругові проводи від кола електроживлення. Однак для систем живлення із уземленням типу TN нейтральний провід може або не може бути від’єднаний, за винятком країн, де від’єднання нейтрального проводу (у разі використання) є обов’язковим;
— мати достатню розривальну потужність, що дозволяє переривати струм найпотужнішого електродвигуна у разі його заклинення, разом зі струмами всіх інших електродвигунів та/або навантажень за їхньої нормальної роботи. Розрахункова розривальна потужність може бути зменшена у разі врахування часу дії факторів.
Коли пристрій вимикання живлення являє собою штепсельний рознім, він повинен відповідати таким вимогам:
— мати достатню можливість щодо вимикання або бути зблокованим комутувальним пристроєм, що дозволяє перервати струм найпотужнішого електродвигуна у разі його заклинення, разом зі струмами усіх інших електродвигунів та/або навантажень за їхньої нормальної роботи. Розрахункова розривальна потужність може бути зменшена у разі врахування різних чинників. Якщо блокується комутувальний пристрій, який має електричне керування (наприклад контактор), то він повинен мати відповідну категорію застосування;
— відповідати 13.4.5 а)—f).
Примітка. Під час вибирання типорозмірів вилок, розеток, кабельних і приладових з'єднувачів відповідно до ІЕС 60309-1 потрібно враховувати згадані вище вимоги.
Коли пристрій вимикання живлення являє собою штепсельний рознім, повинен бути передбачений комутувальний пристрій відповідної категорії застосування для вмикання і вимикання машини. Це може бути досягнуто використанням зблокованого комутувального пристрою, який зазначений вище.
5.3.4 Засоби керування
Засоби керування (наприклад, рукоятка) пристрою вимикання електроживлення повинні бути легкодоступні й розташовані на висоті від 0,6 м до 1,9 м над рівнем робочої площадки. Рекомендований верхній рівень до 1,7 м.
Примітка. Настанову щодо експлуатування наведено в ІЕС 61310-3.
5.3.5 Особливі кола
Не потрібно роз’єднувати за допомогою пристроїв, що вимикають живлення, такі кола;
— кола освітлення, потрібні для освітлення під час обслуговування або ремонту;
— вилку і штепсельні розетки для під’єднання винятково для ремонту інструменту для обслуговування, або обладнання (наприклад, ручних дрилів, випробувального обладнання);
— кола захисту від зниження напруги, що використовують тільки для автоматичного вимикання у разі появи відмови живлення;
— кола, що живлять обладнання, які для належного функціонування не від'єднують від живлення (наприклад, вимірювальні пристрої контролювання температури, виробничі нагрівальні пристрої та пристрої для зберігання програми);
— кола керування блокуванням.
Рекомендовано такі кола забезпечувати власними вимикальними пристроями.
Якщо ці кола не від’єднуються від живлення роз'єднувальним пристроєм, то:
— необхідно розташовувати постійний застережний знак(и) відповідно до вимог 16.1 у безпосередній близькості від пристрою вимикання живлення;
— в інструкцію щодо обслуговування необхідно увести відповідну вказівку, а також виконати одну або кілька із зазначених вимог:
— розташувати постійний застережний знак відповідно до 16.1 поблизу від кожного особливого кола; або
— розташувати особливі кола окремо від Інших кіл; або
— ідентифікувати проводи за кольором, як рекомендовано у 13.2.4.
5.4 Вимикальні пристрої для запобігання непередбаченому пуску
Для запобігання непередбаченому пуску (наприклад там, де може виникнути небезпека в результаті раптового повторного пуску машини або її частини під час проведення технічного обслуговування) повинні бути передбачені вимикальні пристрої.
Такі пристрої мають бути зручні для цілеспрямованого використання й розміщені в легкодоступному місці, а їх позначення — дозволяти легко ідентифікувати виконувані функції та цілі (наприклад, за допомогою довговічного маркування відповідно до 16.1, якщо це необхідно).
Примітка 1, Цей стандарт не розглядає всіх умов для запобігання непередбаченому пуску. Див. ISO 14118 (EN 1037).
Необхідно вжити заходів, що запобігають ненавмисному та/або помилковому вмиканню таких пристроїв із контролера або з інших місць керування (див. також 5.6).
Примітка 2. Додаткову інформацію про місце розташування і вмикання пристроїв, таких як ті, що використовують для запобігання непередбаченому пуску, подано в EN 60447.
Функції ізолювання можуть забезпечити такі пристрої:
— пристрої, що зазначені в 5.3.2;
— роз'єднувачі, знімні запобіжники або знімні перемички, якщо вони розміщуються в закритій електричній робочій зоні (див. 3.19).
Якщо ці пристрої не виконують функцію ізолювання (наприклад, призначені для вимикання кола керування), їх потрібно застосовувати тільки в таких випадках:
— інспектування;
— регулювання;
— роботи з електрообладнанням, де:
— відсутня небезпека ураження електричним струмом (див. розділ 6) або опіків;
— вимикальний засіб не може бути виведений з ладу в процесі роботи;
— обсяг робіт незначний (наприклад, заміна вставних пристроїв без порушення існуючої
електропроводки).
Примітка 3. У разі вибирання пристрою потрібно враховувати, наприклад, Інформацію, отриману від оцінювання ризику, наведену з урахуванням намірів використовувати пристрій. Наприклад, використання роз’єднувачів, запобіжників або висувних перемичок, розташованих у закритих електричних робочих зонах, може бути недоречним для використання засобів для чищення (див. 17.2 Ь), 12)).
5.5 Пристрої для вимикання електрообладнання
Необхідно передбачити пристрої вимикання (ізолювання) електрообладнання для забезпечення можливості виконання робіт, для яких необхідно вимикання та ізолювання від живильної напруги. Пристрої для вимикання можуть бути:
— відповідними і придатними для призначеного використовування;
— зручно розташованими;
— легко ідентифікованими щодо частини (частин) або кола (кіл) обладнання, для яких їх призначено (наприклад, у разі необхідності, за допомогою стійкого маркування згідно з 16.1).
Щоб уникнути випадків ненавмисного та/або помилкового замкнення пристрою, необхідно вжити відповідних запобіжних заходів у частині контролю або розташування (див. також 5.6).
Пристрої вимикання електроживлення (див. 5.3) можуть у деяких випадках виконувати таку функцію. Однак, коли необхідно працювати на будь-якій частині електрообладнання машини або на одній з машин, що живляться від загальної шини, колекторній щітці або індукційній силовій системі живлення, необхідно передбачити пристрій для вимикання на кожній машині і на його частині, яка потребує індивідуального ізолювання.
Як доповнення до вказаних вище вимикальних пристроїв для виконання функцій ізолювання можуть бути застосовані такі пристрої:
— пристрій, описаний у 5.3.2;
— роз’єднувачі, знімні запобіжники-вставки або перемички тільки тоді, коли вони встановлені в електричній робочій зоні (див. 3.15) і відповідну інформацію надано з електрообладнанням (див. 17.2, Ь), 9) та Ь), 12)).
Примітка. Якщо забезпечується захист від ураження електричним струмом відповідно до 6.2.2 с), то для використання знімних запобіжників-встааок або перемичок повинні бути призначені кваліфіковані або проінструктовані особи.
5.6 Захист від недозволених, ненавмисних і/або помилкових з’єднань
Пристрої, описані в 5.4 та 5.5, які розміщені за межами закритої електричної робочої зони, повинні бути обладнані засобами, щоб захистити їх у положенні OFF (вимкнено), (наприклад, навісним замком, ключем у пастці блокування). У разі закріплення таким чином дистанційне, а також місцеві п^репід'єднання повинні бути попереджені.
Інші заходи щодо захисту від неприпустимих включень (наприклад, попереджувальні знаки згідно з 16.1) можуть бути передбачені там, де є роз'єднувачі, що не мають засобів замкнення (наприклад, знімні запобіжники-вставки, знімні перемички).
Однак, коли штепсельний рознім відповідно до 5.3.2 е), розташований таким чином, що він м сже перебувати під безпосереднім наглядом особи, що виконує роботу, то засоби замкнення у вимкненому стані не потрібні.
6 ЗАХИСТ ВІД УРАЖЕННЯ ЕЛЕКТРИЧНИМ СТРУМОМ
6.1 Загальні положення
Електрообладнання повинно забезпечувати захист осіб від ураження електричним струмом у разі:
— прямого контакту (див. 6.2 і 6.4);
— непрямого контакту (див. 6.3 і 6.4).
Цей захист потрібно здійснювати, вживаючи заходів, що наведені в 6.2, 6.3 і для PELV у 6.4, що рекомендовано обрати згідно з ІЕС 60364-4-41. Якщо ці рекомендовані заходи не можуть бути застосовані, наприклад, через фізичні або експлуатаційні умови, то вживають інших рекомендованих заходів згідно з ІЕС 60364-4-41.
6.2 Захист від прямого контакту
6.2.1 Загальні положення
Для кожного кола або частини електрообладнання вживають заходів, де це доречно, або із 6.2,2, або із 6.2.3, або із 6.2.4.
Виняток: якщо такі заходи не придатні, то можна вжити інших заходів для захисту від прямого контакту (наприклад, за допомогою огорож, розміщених поза досяжністю, використовуючи перегони, застосовуючи будівельні або монтажні прийоми, які перешкоджають доступу), як визначено в ІЕС 60364-4-41 (див. 6.2.5 та 6.2.6).
Якщо обладнання розташовано в місцях, відкритих для всіх осіб, зокрема дітей, то вживають заходів відповідно до 6.2.2 з мінімальним ступенем захисту від прямого контакту, відповідного ІР4Х або IPXXD (див. ІЕС 60529), або 6.2.3.
6.2.2 Захист оболонками
Піднапругові частини повинні бути розміщені усередині оболонок, які задовольняють відповідні вимоги розділів 4, 11 114 та забезпечують захист від прямого контакту не менше ніж ІР2Х або ІРХХВ (див. ІЕС 60529).
Якщо верхня частина оболонки легкодоступна, мінімальний ступінь захисту від прямого контакту, забезпечуваний нею, повинен бути ІР4Х або IPXXD.
Відкривання оболонки (дверцят, кришки, панелі тощо) повинно бути можливим тільки в одному із таких випадків:
a) для доступу необхідно використовувати ключ або інструмент. Для закритих електричних робочих зон див. ІЕС 60364-4-41 або ІЕС 60439-1 відповідно.
Примітка 1. Використання ключа або інструмента призначено для отримання доступу для кваліфікованих чи проінструктованих осіб (див. 17.2 Ь) 12».
Усі піднапругові частини, до яких можна доторкнутися у разі установлення або регулювання, призначені для виконання таких операцій на ввімкненому обладнанні, повинні мати захист від прямого контакту не менше ніж ІР2Х або ІРХХВ. Усі інші піднапругові частини, що розташовані на внутрішній поверхні дверцят, повинні бути захищені від прямого контакту не менше ніж ІР1Х або ІРХХА;
b) у разі від’єднання підналругових частин, що перебувають усередині оболонки, перед тим як оболонка може бути відкрита.
Таке від’єднання може бути виконане за допомогою блокування дверей із роз’єднувачем (наприклад, із пристроєм вимикання живлення) так, щоб дверцята можна було відчинити тільки тоді, коли роз’єднувач незамкнутий, і так, щоб роз’єднувач можна було замкнути, якщо дверцята зачинені.
Виняток: спеціальний пристрій або Інструмент, як запропоновано постачальником, може бути використаний, щоб забезпечити блокування, за умови, якщо:
— можливо в будь-який час, доки знято блокування, відкрити пристрій вимикання і блокувати пристрій вимикання в положення OFF (вимкнено) або інші запобігання несанкціонованому закритті Пристрою вимикання;
— після зачинення дверцят блокування автоматично відновлюється;
— усі піднапругові частини, торкання яких можливе за повторного вмикання або за налаштування пристроїв, що перебувають під напругою, повинні бути захищені від прямого контакту щонайменше ІР2Х або ІРХХВ, інші піднапругові частини розташовані на внутрішній поверхні дверцят, стру-мопровідні частини повинні бути захищені від прямого контакту не менше ніж ІР1Х або ІРХХА;
— відповідну інформація надано разом з електрообладнанням (див. 17.2 Ь), 9) і Ь) 12)).
Примітка 2. Застосування спеціальних пристроїв або інструменту визначено тільки для кваліфікованих або проінструктованих осіб (див. 17.2, Ь), 12)).
Мають бути передбачені засоби для обмеження доступу кваліфікованих або проінструктованих осіб до піднапругових частин у той час, коли відсутнє блокування дверцят роз'єднувачем (див. 17.2 Ь), 12)).
Усі частини, які залишаються під напругою, після вимкнення роз’єднувача(-ів) (див. 5.3.5), повинні мати захист від прямого контакту не менше ніж ІР2Х або ІРХХВ (див. ІЕС 60529). Такі части неповинні бути марковані застережними знаками відповідно до 16.2.1 (див. також 13,2.4 для іден-ти фікації проводів кольором).
Винятком з цих вимог стосовно маркування є;
— частини, які можуть бути піднапругові через з’єднання з блокувальними колами, виділяють кольором ізоляції згідно з 13.2.4 як потенційно піднапругові частини;
— контактні затискачі живлення пристрою вимикання живлення, якщо останній змонтовано в окремій оболонці;
с) відкриття без використання ключа й інструмента і без від’єднання піднапругових частин від на пруги дозволено тільки тоді, якщо всі піднапругові частини мають захист від прямого контакту не менше ніж ІР2Х або ІРХХВ (див. ІЕС 60529). Якщо захист від прямого контакту забезпечується огорожами, то для їхнього знімання треба застосувати інструмент для їх демонтажу, або усі піднапругові частини повинні бути автоматично від'єднані під час демонтування.
Примітка 3. Якщо захист від прямого контакту реалізовано відповідно до 6.2.2 с) і небезпека може виникати за ручної дії керування на пристрій (наприклад, на ручне замикання контактора або реле), то таке приведення в дію треба запобігати за допомогою огорожі чи перепон, коли потрібно застосування інструменту для їхнього усунення.
5.2.3 Захист піднапругових частин за допомогою ізоляції
Піднапругові частини, що захищені ізоляцією, повинні бути повністю покриті ізоляцією, яку може бути видалено тільки руйнуванням. Така ізоляція повинна бути спроможною витримувати механічні, хімічні, електричні й теплові навантаження, що можуть виникати в нормальних умовах експлуатування.
Примітка. Фарби, глазурі, лаки й інші подібні матеріали вважають непридатними для захисту від ураження електричним струмом за нормальних умов експлуатування.
6.2.4 Захист від залишкових напруг
Піднапругові частини, що мають залишкову напругу більше ніж 60 В, після вимикання живлення мають бути розряджені до напруги 60 В або нижче протягом 5 с після вимикання живлення за умови, що цей темп розряду не порушує нормальне функціювання обладнання. Ця вимога не поширюється на елементи, що мають залишковий заряд не більше ніж 60 мкКл (цС). Якщо зазначений темп розряду буде впливати на нормальне функціонування обладнання, необхідно на помітному місці оболонки, що закриває електричні ємності, або поруч із нею розмістити чіткі застережні написи, знаки про небезпеку, що привертають увагу до небезпеки й указують витримку часу до того, як оболонка може бути відкрита.
У разі вимикання вилки або подібного пристрою, коли оголюються проводи (наприклад, контактні штирі), час розряду не повинен перевищувати 1 с, інакше зазначені проводи повинні бути захищені від прямого контакту не менше ніж ІР2Х або ІРХХВ. Якщо час розряду менше ніж 1 с і захист не менше ніж ІР2Х або ІРХХВ не можуть бути забезпечені (наприклад, у разі застосовування знімних колекторних комутувальних щіток, колекторних пластин або вузла з кільцями ковзання див. 12.7.4), необхідно встановлювати додаткові комутувальні пристрої або відповідні попереджувальні прилади згідно з 16.1.
6.2.5 Захист огорожами
Захист за допомогою огорож застосовують відповідно до 412.2 ІЕС 60364-4-41.
6.2.6 Захист за допомогою розміщення за межами досяжності або захист перепонами Для захисту за допомогою розміщення за межами досяжності застосовують 412.4 ІЕС 60364-4-41.
Д ля захисту перепонами застосовують 412.3 ІЕС 60364-4-41.
Для набору колекторних щіток або набору колекторних пластин зі ступенем захисту не менше ніж ІР2Х див. 12.7.1.
6.3 Захист від непрямого контакту
6.3.1 Загальні положення
Захист від непрямого контакту (3.29) призначено для запобігання небезпечній ситуації у випадку пошкодження ізоляції між піднапруговими частинами та незахищеними піднапруговими частинами.
Для кожного кола або частини електрообладнання необхідно вживати не менше одного із заходів відповідно до 6.3.2 і 6.3.3:
— заходи щодо запобігання дотиканню до небезпечної напруги (6.3.2); або
— автоматичного вимикання електроживлення до того, як контакт із напругою стане небезпечним (див. 6.3.3).
Примітка 1, Ризик виникнення шкідливого фізіологічного впливу від дотикання до небезпечної напруги залежить від її величини і тривалості можливого контакту.
Примітка 2. Для класів обладнання та заходів щодо захисту див. ІЕС 61140.
6.3.2 Запобігання дотиканню до небезпечної напруги
6.3.2.1 Загальні положення
До заходів щодо запобігання дотиканню до небезпечної напруги належать такі:
— застосовування обладнання класу II або еквівалентної ізоляції;
— електричне розділення.
6.3.2.2 Захист застосовування обладнанням класу II або еквівалентної ізоляції
Ці заходи спрямовані на запобігання випадків дотикання небезпечної напруги на доступних частинах увнаслідок пошкодження основної ізоляції.
Захист забезпечують такими засобами:
— класу II електричними пристроями або апаратами (подвійна ізоляція, посилена або еквівалентна ізоляція відповідно до ІЕС 61140);
— комутаційною апаратурою і апаратурою керування, що мас загальну ізоляцію відповідно до ІЕС 60439-1;
— додатковою або посиленою ізоляцією відповідно до 413.2 ІЕС 60364-4-41.
6.3.2.3 Захист електричним розділенням
Електричне розділення окремого кола призначено для запобігання виникненню небезпечної напруги через контакт із незахищеними струмопровідними частинами, які можуть бути під небезпечною напругою через пошкодження основної ізоляції в піднапругових частинах цього кола.
Для цього типу захисту застосовують вимоги 413.5 ІЕС 60364-4-41.
6.3.3 Захист за допомогою автоматичного вимкнення електричного живлення
Цей захід забезпечує від’єднання одного або більше фазових проводів за автоматичної роботі захисного пристрою у разі пошкодження. Це від’єднання повинно відбуватися за обмежений час, щоб обмежити тривалість дотикання до небезпечної напруги до часу, протягом якого контакт із напругою стане небезпечним. Значення часу від’єднання наведено в додатку А.
Цей захід вимагає узгодження між:
— типом живлення і системою уземлення;
— значеннями опорів різних елементів захисного з’єднання системи;
— характеристиками захисних пристроїв, що контролюють пошкодження ізоляції. Автоматичне вимкнення живлення будь-якого кола у разі пошкодженні ізоляції передбачає
усунення небезпечної ситуації, яка виникає в разі дотикання до небезпечної напруги.
Цей захисний захід охоплює:
— захисне з’єднання незахищених струмопровідних частин (див. 8.2.3);
— а також:
a) застосування захисних пристроїв від надструму для автоматичного вимкнення живлення у випадку пошкодження ізоляції в системах живлення з уземленням типу TN, або
b) застосування пристрою захисту диференційного струму для автоматичного вимкнення живильної мережі у разі виявлення пошкодження ізоляції від піднапругової частини до незахищених стр^мопровідних частин або землі в системах живлення з уземленням типу ТТ, або
c) контроль ізоляції чи пристрою контролю струму витоку для автоматичного вимкнення систем живлення з уземленням типу IT. Якщо використовують контроль замикання на землю, то спочатку подається сигнал тривоги візуальний або звуковий у разі першої несправності ізоляції від пі лнапругової частини до незахищених струмопровідних частин або землі. Пристрій повинен ініціювати сигнал про несправність на весь час її існування.
Примітка. У великих машинах застосовують локальні системи контролю пошкодження уземлення, що полегшує об-сл угівування.
Якщо застосування автоматичного системного відключення відповідно до а) і відключення протягом часу відповідно до А.1 не гарантує захищеність, то додаткове уземлення повинно забезпечувати відповідність вимогам відповідно до А.З.
6.4 Захист за допомогою PELV (Protective Extra-Low Voltage)
6.4.1 Загальні вимоги
Застосовування PELV (Безпечна наднизька напруга) забезпечує захист людей від ураження електричним струмом у разі непрямого контакту й обмеженою площею прямого контакту (див. 8.2.5).
PELV кола повинні задовольняти всі перелічені нижче умови:
a) номінальна напруга не повинна перевищувати:
— 25 В ефективного значення змінного струму або 60 В постійного струму, вільного від пуль-са ції, якщо обладнання використовують у сухому місці й не передбачено великої площі контакту тіла людини з пїднапруговими частинами;
— 6 В ефективного значення змінного струму або 15 В постійного струму, вільного від пульсації у всіх інших випадках;
Примітка. «Вільний від пульсацій» означає, що для синусоїдальної пульсувальної напруги пульсації не повинні перевищувати більше ніж 10 % ефективного значення.
b) одна сторона кола або одна точка джерела живлення кола повинні бути з’єднані з колом захисту;
c) піднапругові частини кіл PELV повинні бути електрично ізольовані від інших піднапругових кіл. Електрична ізоляція повинна бути не меншою, ніж потрібно між первинною і вторинною обмотками безпечного ізолювального трансформатора (див. ІЕС 61558-1 і ІЕС 61558-2-6);
d) проводи кожного кола PELV повинні бути фізично відділені від інших проводів, що належать до іншої частини кола. Коли цю вимогу не можна виконати, необхідно застосовувати стан ізоляції відповідно до 13.1.3;
e) вилки і штепсельні розетки для кіл PELV повинні задовольняти такі вимоги:
1) вилки не можуть бути вставлені у штепсельні розетки іншої системи напруги;
2) штепсельні розетки не можна з’єднувати з вилками іншої системи напруги.
6.4.2 Джерела для PELV
Джерелом PELV повинен бути один із перерахованих нижче:
— безпечний ізолювальний (розділювальний) трансформатор згідно з ІЕС 61558-1 та ІЕС 61558-2-6;
— джерело струму, що забезпечує рівень безпеки, еквівалентний рівню безпеки розділюваль-ного трансформатора (наприклад, мотор-генератор із обмоткою, що забезпечує еквівалентне ізолювання);
— електрохімічне джерело (наприклад, батарея) або інше джерело, що не залежить від кіл високої напруги (наприклад, дизель-генератор);
— електронне силове живлення, що задовольняє відповідні стандарти, у яких зазначені заходи, які гарантують, що у разі появи внутрішніх несправностей вихідна напруга на контактних затискачах не може перевищити значення, зазначене в 6.4.1.
7 ЗАХИСТ ОБЛАДНАННЯ
7.1 Загальні положення
У цьому підрозділі перелічені заходи щодо захисту обладнання від впливу:
— надструму внаслідок короткого замикання;
— перевантаження та/або втрати охолодження двигунами;
— відхилів від нормальної температури;
— зникнення або зниження напруги живлення;
— перевищення швидкості машини або її частини;
— пошкодження уземлення з перевищенням струмів витоку;
— неправильного чергування фаз;
— перенапруги, спричиненої грозовими розрядами або комутаційними сплесками.
7.2 Захист від надструму
7.2.1 Загальні положення
Захист від надструму повинен передбачати, як зазначено нижче, якщо струм у колах машини може перевищити номінальні значення струму або максимально допустиме розрахункове навантаження в проводах, при цьому вибирають одне з номінальних значень. Номінальні значення повинні бути обрані згідно з 7.2.10.
7.2.2 Живильні проводи
Якщо немає особливих вказівок споживача, постачальник електрообладнання не повинен відповідати за постачання пристроїв захисту від надструму для живильних проводів електрообладнання (див. додаток В).
Постачальник електрообладнання зобов'язаний зазначити на схемі електричних з’єднань дані, що необхідні для вибирання пристрою захисту від надструму (див. 7.2.10 і 17.4).
7.2.3 Силові кола
Пристрої для виявлення і переривання надструму, вибрані відповідно до 7.2.10, повинні бути застосовані для кожного піднапругового проводу.
Під час роз’єднання піднапругових проводів не потрібно роз’єднувати наведені нижче такі проводи:
— нейтральний провід у силових колах змінного струму;
— уземлений провід у силових колах постійного струму;
— силовий провід у колі постійного струму, під’єднаний до незахищених струмопровідних частин рухомих машин.
Якщо площа поперечного перерізу нейтрального проводу дорівнює або еквівалентна фазним проводам, то немає необхідності застосовувати захист від надструму і пристрій від’єднання у нейтральному проводі. Для нейтрального проводу з площею поперечного перерізу меншою, ніж у відповідних фазних проводів, треба вживати заходів, що розглянуті детально в 524 ІЕС 60364-5-52.
У системах живлення із уземленням типу IT рекомендовано не застосовувати нейтральний провід. Але якщо нейтральний провід застосовують, необхідно вжити заходів, що зазначені в 431.2.2 ІЕС 60364-4-43.
7.2.4 Кола керування
Проводи кіл керування, що їх приєднують безпосередньо до живильної напруги і кіл живлення трансформаторів, схеми керування повинні бути захищені від надструму відповідно до 7.2.3.
Проводи кіл керування, які живляться від трансформатора або від джерела постійного струму, повинні бути захищені від надструму (див. також 9.4.3.1):
— у колах керування, з’єднаних із колами захисту, потрібна установка захисного пристрою від надструму тільки в комутований провід;
— у колах керування, не з'єднаних з колами захисту:
— якщо поперечний переріз усіх проводів кіл керування однаковий, то допускають установку захисного пристрою від надструму тільки в комутований провід; і
— якщо під час монтування різних відгалужень застосовані проводи різного поперечного перерізу, потрібно установлювати захисні пристрої від надструму на всіх проводах, що живлять відгалуження.
7.2.5 Штепсельні розетки і пов’язані з ними проводи
Для штепсельних розеток загального призначення, що їх використовують насамперед для жив-ленія допоміжного обладнання, потрібно передбачати захист від надструму. Захисні пристрої від ніздтруму мають бути встановлені в неуземлених піднапругових проводах усіх кіл, які живлять такі штепсельні розетки.
7.2.6 Кола освітлення
Усі неуземлені проводи кіл, що живлять освітлення, повинні бути захищені від впливу коротких замикань за допомогою пристроїв від надструму, незалежних від захисних пристроїв інших кіл.
7.2.7 Трансформатори
Трансформатори повинні бути захищені від надструму відповідно до інструкцій виробника. Такий захист повинен (див. також 7.2.10):
— унеможливлювати помилкове вимкнення трансформатора у разі пускових кидків струму на магнічування;
— унеможливлювати підвищення температури обмоток, що виникають унаслідок короткого замикання на контактних затискачах вторинних обмоток, понад дозволеного значення для даного класу ізоляції трансформатора.
Вибирання типу і налаштування захисного пристрою від надструму повинно бути зроблено відповідно до рекомендацій постачальника трансформатора.
7.2.8 Розміщення пристроїв захисту від надструму
Пристрої захисту від надструму потрібно підключати в тій точці, де відбувається зниження площі поперечного перерізу захисного проводу або інша зміна, що знижує навантажувальні характеристики проводів, при цьому повинні бути враховані такі умови:
— допустимий струм проводів дорівнює щонайменше значенням струму навантаження;
— довжина проводу між точкою зниження навантажувальної здатності і місцем з'єднання з пристроями захисту від надструму не більше ніж 3 м;
— провід утановлено так, щоб знижувати можливість виникнення короткого замикання, наприклад, захист оболонкою або коробом.
7.2.9 Пристрій захисту від надструму
Номінальна спроможність вимикання (розривна потужність) повинна дорівнювати щонайменше струму короткого замикання, очікуваного в точці установки. Там, де струм короткого замикання, що протікає через пристрій захисту від надструму, може містити додаткові струми, крім струму джерела живлення (наприклад, від двигунів, від конденсаторів, що корегують коефіцієнт потужності конденсаторів), ці струми також повинно бути враховано.
Розривна потужність пристрою може бути меншою, якщо з боку джерела живлення встановлено інший захисний пристрій (наприклад, захисний пристрій від надструму для проводів живлення (див. 7.2.2), що має необхідну розривну потужність і встановлюється з боку живлення, У цьому випадку характеристики двох пристроїв повинні бути узгоджені так, щоб енергія (fit), що виділяється послідовно в цих двох пристроях, не перевищувала ту, що витримують без пошкодження пристрої захисту від надструму на стороні навантаження і проводи, що захищаються цим пристроєм (див. додаток А ІЕС 60947-2).
Примітка. Застосовування такої погодженої дії пристроїв захисту від надструму може спричинити спрацьовування обох пристроїв захисту від надструму.
Коли використовують запобіжники як пристрої захисту від надструму, повинні бути використані такі типи, які легкодоступні та прийняті в країні споживача, або повинні бути вжиті заходи щодо постачання запасних частин.
7.2.10 Номінальний струм і настроювання пристроїв захисту від надструму
Номінальний струм для запобіжників або настроювання струму інших пристроїв захисту від надструму повинні бути обрані якнайменшими, але з відповідними очікуваними значеннями надструму (наприклад, у разі пуску електродвигуна або під час вмикання трансформатора). Коли вибирають такі захисні пристрої, повинна бути приділена увага до захисту комутувальних пристроїв проти пошкодження від надструму (наприклад, заварювання контактів комутувальних пристроїв).
Номінальний струм або настроювання пристроїв захисту від надструму визначаються не тільки припустимим навантаженням за струмом у захищуваних цими пристроями проводах відповідно до
12.4, D.2, але й максимально можливим часом переривання t відповідно до D.3, враховуючи необхідність в узгодженні з іншими електричними пристроями захищеного кола.
7.3 Захист електродвигунів від перегрівання
7.3.1 Загальні положення
Усі двигуни, потужність яких перевищує 0,5 кВт, повинні бути захищені від перегрівання.
Винятки:
У випадках, коли автоматичне вимкнення двигуна є небажаним (наприклад, у насосах пожежного гасіння), захисний пристрій має давати сигнал тривоги, що здатний спричинити відповідні дії оператора.
Захист двигунів від перегрівання може досягатися за допомогою:
— захисту від перевантаження (7.3.2);
Примітка 1. Пристрої захисту від перевантаження виявляють співвідношення часу і струму (Pt) у колі, що перевищують допустиме повне номінальне навантаження кола, та ініціюють відповідне керування.
— захисту від перевищення температури (7.3.3); або
Примітка 2. Пристрої захисту виявляють перевищення температури та ініціюють відповідне керування.
— захисту обмеженням струму (7.3.4).
Автоматичному повторному пуску двигуна після спрацьовування захисту від перегрівання потрібно запобігати, якщо він може призвести до виникнення небезпечної ситуації або пошкодження машини, або порушення виробничого процесу.
7.3.2 Захист від перевантаження
Для забезпечення захисту від перевантаження датчики навантаження повинні бути встановлені в кожен піднапруговий провід, за винятком нейтрального проводу. Однак, якщо датчик навантаження двигуна не використовують для захисту від перевантаження кабелю (див. також D.2), число датчиків навантаження може бути знижено за погодженням зі споживачем (див. також додаток В), Для однофазних двигунів або двигунів із живленням постійного струму допускають установлення тільки одного датчика на одному неуземленому піднапруговому проводі.
Коли захист від перевантажень досягається вимиканням, комутувальний пристрій повинен від'єднати всі піднапругові проводи. Для захисту від перевантаження немає необхідності у від’єднанні нейтрального проводу.
Якщо двигуни зі спеціальним режимом роботи змушені часто запускатися або гальмувати (наприклад, у разі швидких переміщень, гальмувань, реверсу, адаптивного свердлення), може бути важко забезпечити захист від перевантаження, за якого стала часу пристрою захисту є порівнюваною зі сталою часу захисної обмотки. У таких випадках рекомендовано застосовувати відповідні апарати захисту, які розроблені для двигунів зі спеціальним режимом роботи, або захисту від перевищення температури (див. 7.3.3).
Для двигунів, які не можуть бути перевантажені (наприклад, гальмівні, приводні, які додатково захищені за допомогою механічних засобів, або через їх відповідні розміри), захист від перевантаження не потрібен.
7.3.3 Тепловий захист
Рекомендовано використовувати двигуни з тепловим захистом (див. ІЕС 60034-11), якщо умови охолодження можуть бути погіршені (наприклад, відкладення пилу). Захист від перевищення температури не для всіх типів двигунів може забезпечувати захист до загальмованого ротора або втрати фази, через що може виникнути потреба в додаткових заходах захисту.
Тепловий захист рекомендовано також для двигунів, які не можуть бути перевантажені (наприклад, гальмівні, приводні, які додатково захищені за допомогою механічних пристроїв захисту від перевантажень, або через їх відповідні розміри), однак може зумовлювати перегрівання (наприклад, за рахунок втрати охолодження).
7.3.4 Захист струмообмеженням
Коли захист трифазних двигунів від перегрівання досягається обмеженням струму, кількість поточних пристроїв обмеження може бути зменшена від 3 до 2 (див. 7.3.2). Для однофазних дви-гунів змінного струму або двигунів постійного струму джерела живлення допускають обмеження струму тільки в одному неуземленому піднапруговому проводі.
7.4 Захист у разі відхилення від нормальної температури
Кола з нагріванням резисторів або інші кола, які здатні досягти або можуть спричинити відхилення від нормальної температури {наприклад, обумовлені короткочасним приростом або втратою охолоджувального середовища), що може призвести до небезпечної ситуації, повинні бути осна-щені чутливим елементом, що зумовлює негайну реакцію органів керування.
7.5 Захист у разі переривання живлення або зниження напруги і подальшого їх відновлення
Якщо переривання живлення або зниження напруги може призвести до небезпечної ситуації, завдати шкоди машині або порушення виробничого процесу, то необхідно забезпечити захист від зниження напруги, наприклад, вимкнення машини за певного рівня напруги.
Якщо машини спроможна нетривалий час працювати у разі переривання або зниження напруги, то може бути передбачений захист від зниження напруги із затримкою неспрацьовування. Робота пристрою зниження напруги не повинна порушувати роботу будь-якого керування зупинення машини,
У разі відновлення напруги або у разі перемикання вхідного живлення автоматичний або нео-чікуваний повторний пуск машини має бути унеможливлено, якщо такий повторний пуск може стати причиною створення небезпечної ситуації.
Якщо зниження напруги або переривання живлення впливає тільки на частину машини або групи машин, що працюють узгоджено, то пристрій захисту від зниження напруги повинен спричинити відповідне керування для забезпечення узгодженості.
7.6 Захист електродвигуна від перевищення швидкості
Захист від перевищення швидкості має бути передбачено тоді, коли таке перевищення може стати причиною створення небезпечної ситуації, з урахуванням заходів відповідно до 9.3.2. За-хи ст від перевищення швидкості має спричинити відповідні необхідні сигнали керування і запобігати автоматичному повторному пуску.
Захист від перевищення швидкості має працювати так, щоб не перевищувати допустиму межу механічної швидкості двигуна або його навантаження.
Примітка. Цей захист може вміщувати, наприклад, відцентровий вимикач або контрольний пристрій, що обмежує швидкість.
7.7 Захист від пошкодження уземлення (контролювання струму витоку)
На додаток до запобігання захисту від надструму для автоматичного вимкнення, описаного в 6.3, захист від пошкодження уземлення (контролювання струму витоку) можна використовувати для зменшення пошкодження обладнання у випадках, коли струм, у разі несправності уземлення, менше ніж значення струму настроювання захисту від надструму.
Настроювання пристроїв має бути якомога нижчим, щоб забезпечувати нормальну роботу обладнання.
7.8 Захист від неправильного чергування фаз
Якщо порушення послідовності чергування фаз наруги живлення може призвести до небезпечної ситуації або до пошкодження машини, то має бути передбачено захист.
Примітка. Умови експлуатації, які можуть призвести до перекосу фаз, охоплюють:
— заміну одного джерела живлення машини на інше;
— під'єднання пересувної машини до зовнішнього джерела живлення.
7.9 Захист від перенапруги, що виникає у разі грозових розрядів і комутаційних сплесків
Захисні пристрої можуть бути призначені для захисту від впливу перенапруги, що спричинена грозовими розрядами або комутаційними сплесками.
За умови, що:
— пристрої для притлумлення перенапруги, що спричинена грозовими розрядами, повинні бути приєднані до вхідних контактних затискачів пристрою вимкнення живлення;
— пристрої для притлумлення перенапруги, що спричинена комутаційними сплесками, повинні бути приєднані до контактних затискачів усього обладнання, що вимагають такого захисту.
8 ЕКВІПОТЕНЦІАЛЬНЕ З’ЄДНАННЯ
8.1 Загальні положення
Цей розділ містить вимоги до захисного і функціонального з'єднання.
На рисунку 2 проілюстровано таку концепцію.
Захисне з'єднання є основою для забезпечення захисту від несправності для того, щоб захистити людей від ураження електричним струмом за непрямого контакту (див. 6.3.3 і 8.2).
Застосування функціонального з’єднання (див. 8.3) дає змогу мінімізувати:
— наслідки від пошкодження ізоляції, які можуть зумовлювати порушення у керуванні машиною;
— наслідки від впливу електромагнітних завад на чутливе електрообладнання, які можуть призвести до порушень у керуванні машиною.
Зазвичай функціональне з’єднання досягається за допомогою приєднання до кола захисту, але коли рівень електромагнітних завад на колі захисту не є достатньо низьким для забезпечення належного функціонування електрообладнання, тоді може знадобитися підключення кола функ-ці снального з'єднання до окремого функціонального уземлювального проводу (див. рисунок 2).
8.2 Коло захисту
8.2.1 Загальні положення
Коло захисту складається з:
— РЕ контактного затискача(-ів) (див. 5.2);
— захисних проводів в обладнанні машини, зокрема ковзних контактів, якщо вони є частиною кола;
— незахищених струмопровідних частин і провідних частин конструкції електрообладнання;
— сторонніх струмопровідних частин, які формують конструкцію машини.
Усі частини кола захисту повинні бути спроектовані так, щоб вони могли протистояти найвищим тепловим і механічним навантаженням, які можуть бути спричинені струмами замикання на землю, що можуть протікати в тій частині кола захисту.
Якщо провідність структурних частин електрообладнання або машини менша, ніж у найменшого захисного проводу, під’єднаного до незахищених струмопровідних частин, то повинно бути передбачено додатково уземлювальний провід. Цей уземлювальний провід повинен мати площу полеречного перерізу не менше ніж половини від відповідного захисного проводу,
Якщо використовують систему живлення з уземленням типу IT та конструктивні частини машини є частиною кола захисту, то повинен бути передбачений пристрій контролю струмів витоку. Див. 6.3.3 с).
СтрумопровіднІ конструктивні частини обладнання відповідно до 6.3.2.2 можна не від'єднувати до кола захисту. Якщо все обладнання відповідає 6.3.2.2, то під’єднання сторонніх струмопровідних частин машини до кола захисту не потрібно.
Незахищені СтрумопровіднІ частини електрообладнання відповідно до 6.3.2.3 не повинні бути під’єднані до кола захисту
8.2.2 Захисні проводи
Захисні проводи треба маркувати відповідно до 13.2.2.
Рекомендовано застосовувати мідні проводи. Якщо застосовують провід з іншого матеріалу, його опір на одиницю довжини не повинен бути більшим, ніж у відповідного мідного проводу, а площа поперечного перерізу не менша ніж 16 мм2.
Площу поперечного перерізу захисних проводів треба визначати відповідно до вимог:
— 543 ІЕС 60364-5-54; або
— 7.4.3.1.7 ІЕС 60439-1 відповідно.
Ця вимога виконується в більшості випадків, якщо відношення площі поперечного перерізу фазних проводів, пов’язаних з цією частиною обладнання, до площі поперечного перерізу відповідного захисного проводу відповідає таблиці 1 (див. 5.2).
Необхідно також врахувати вимоги 8.2.8.
8.2.3 Безперервність кола захисту
Усі незахищені СтрумопровіднІ частини повинні бути приєднані до кола захисту відповідно до 8.2.1.
Виняток: див. 8.2.5.
Якщо будь-яку частину вилучають через будь-яку причину (наприклад, для поточного обслуговування), то коло захисту інших частин не повинно бути перервано.
З'єднання в точці захисту повинно бути спроектовано так, щоб їх струмопровідна спроможність не порушувалася під впливом механічних, хімічних і електрохімічних чинників. Якщо оболонки та проводи виконано з алюмінію або алюмінієвих сплавів, варто звернути особливу увагу на проблеми електролітичної корозії.
Металеві гнучкі або жорсткі короби і металеві оболонки кабелю не можна використовувати як захисний провід. Однак зазначені короби та металева оболонка всіх єднальних кабелів (наприклад, армований кабель у свинцевій оболонці) повинні бути з’єднані з колом захисту.
Якщо електрообладнання монтують на кришках, дверях або платах, має бути гарантована безперервність кола захисту, і при цьому рекомендовано використовувати захисні проводи відповідно до 8.2.2. У протилежному випадку треба застосовувати кріплення у вигляді петель або ковзних контактів, які розроблені так, щоб їх опір був малим (див. 18.2.2, випробування 1).
Безперервність захисного проводу в кабелях, що незахищені від пошкодження (наприклад, гнучкі, підвісні кабелі), має бути забезпечена відповідними заходами (наприклад, контролем).
Вимоги до безперервності захисного проводу, у якому використано колекторні щітки й пласти ни, кільця ковзання, див. у 12.7.2.
8.2.4 Вилучення комутувальних пристроїв з кола захисту
Коло захисту не повинне містити комутувальних пристроїв або пристроїв захисту від надструму (наприклад, вимикачі, запобіжники).
Коло захисту не повинно мати можливості для установлення засобів роз'єднання.
Виняток: У каналах для випробування або вимірювання обладнання, що розташовано в закритій електричній робочій зоні, доступ до якої неможливий без використання інструменту.
Якщо безперервність кіл захисту залежить від застосування знімних струмових колекторів або штепсельних рознімів, то необхідно забезпечувати розмикання інших контактів раніше, розмикання контакту в колі захисту. Ця вимога стосується також і рознімів замінних або висунутих замінних блоків (див. також 13.4.5).
8.2.5 Частини, що не потребують під’єднаний до кола захисту
Деякі незахищені струмопровідні частини не потребують під’єднання до кола захисту, якщо вони встановлені так, що не можуть спричинити небезпеку, тому що:
— їх не можна торкнутися на великій площі або охопити рукою, вони мають малі розміри (приблизно менше ніж 50 мм х 50 мм); або
— вони розташовані так, що малоймовірний контакт із піднапруговими частинами або пошкодження ізоляції.
Зазначені вимоги поширюються на малі деталі, такі як ґвинти, заклепки, вказівні таблички, і на деталі, які розташовані всередині оболонки незалежно від їхніх розмірів (наприклад, електромагнітні контактори або реле, механічні частини приладів) (див. також 410.3.3.5 ІЕС 60364-4-41).
8.2.6 Захисний провід, що з’єднує точки
Приєднання усіх захисних проводів потрібно здійснювати відповідно до 13.1.1. Захисний провід, що з’єднує точки, не повинен виконувати інші функції І не повинен бути використовуваний, наприклад, для закріплення або з’єднання приладів або частин.
Кожен захисний провід, що з’єднує точки, повинен бути маркований або позначений символом відповідно до ІЕС 60417-5019 (DB:2002-10):
або літерами РЕ, використання графічного символу переважне, або з використанням поєднання кольорів ЗЕЛЕНОГО-І-ЖОВТОГО, або будь-якого поєднання з них.
8.2.7 Пересувні машини
На пересувних машинах з бортовими джерелами живлення захисні проводи і струмопровідні частини конструкції електрообладнання та інші сторонні струмопровідні частини конструкції машини повинні бути з’єднані з контактним затискачем захисного з'єднання для забезпечення захисту від ураження електричним струмом. У місцях для під’єднання таких машин до зовнішніх джерел живлення контактний затискач захисного з’єднання повинен мати точку з’єднання для зовнішнього захисного проводу.
Примітка. Коли джерело електричної енергії встановлено стаціонарно на пересувних або рухливих частинах облад-нання і коли немає потреби під'єднання до зовнішнього живлення (наприклад, коли на борту зарядний пристрій не під'єдна-ний], тоді немає необхідності під'єднати таке обладнання до аовнішного захисного проводу.
8.2.8 Додаткові вимоги до захисного з’єднання для електрообладнання, у якого струми витоку перевищують 10 мА змінного або постійного струму
Примітка 1. Струмами витоку відповідно до IEV 442-01-24 називають «струми, що протікають між під напру гоаими части нами, що перебувають під напругою, і землею в результаті пошкодження ізоляції». Цей струм може містити ємнісну складову, що виникає в результаті навмисного використання конденсаторів.
Примітка 2. Більшість електроприводів для регулювання швидкості відповідно до вимог частин ІЕС 61800 мають струни витоку на землю, що перевищують 3,5 мА змінного струму. Струми, що випробувані методами вимірювання відповідно до ІЕС 61800-5-1, визначають як струми витоку на землю для електроприводів.
Коли електрообладнання має струми витоку {наприклад, регульовані електроприводи або обладнання інформаційних технологій), що перевищують 10 мА змінного або постійного струму, за будь-якого вхідного живлення, повинно бути задоволено одне або більше з наступних умов для су міщення кіл захисту:
a) захисний провід повинен мати по всій довжині площу поперечного перерізу не менше ніж 10 мм2 для мідної жили або 16 мм2 для алюмінієвої;
b) якщо захисний провід має площу поперечного перерізу менше ніж 10 мм2 для мідної жили або 16 мм2 для алюмінієвої, повинен бути прокладений другий захисний провід із не меншою площею поперечного перерізу ніж 10 мм2 для мідної жили або 16 мм2 для алюмінієвої між точками, до- яких виконуються вимоги щодо площі поперечного перерізу захисного проводу;
Примітка З, Для забезпечення виконання цієї вимоги необхідно на електрообладнанні мати окремий контактний затискач для другого захисного проводу.
c) автоматичне вимкнення живлення у разі втрати безперервності захисного проводу
У разі дублювання захисних проводів потрібно враховувати вимоги 4.4.2 в частині запобігання порушень, що пов’язані з електромагнітними завадами.
Крім того, попереджувальна табличка має бути встановлена на контактному затискачі РЕ, а в разі необхідності — на монтажній панелі електрообладнання. Потрібно надавати інформацію споживачу щодо струмів витоку і мінімальної площі поперечного перерізу зовнішнього захисного проводу відповідно до вимог 17.2 Ь) 1).
8.3 Функціональне з’єднання
Захист від помилкового спрацьовування в результаті пошкодження ізоляції може бути досягнуто за допомогою під’єднання до загального проводу відповідно до 9.4.3.1.
Функціональне з’єднання рекомендовано, щоб уникнути помилкового спрацьовування від електромагнітних завад, див. 4.4.2.
8.4 Заходи щодо обмеження впливів надмірних струмів витоку
Ефекти від впливу високих струмів витоку мають бути обмежені за допомогою під’єднання обладнання, яке має такі струми, через живильний трансформатор, що має роздільні обмотки. Коло захисту має бути з’єднано з незахищеними струмопровідними частинами обладнання і, крім того, до вторинної обмотки трансформатора. Захисний провід(-оди), прокладені між обладнанням і вторинними обмотками трансформатора, повинні відповідати одному або кільком із вимог, описаних у 8.2.8.
9 КОЛА І ФУНКЦІЇ КЕРУВАННЯ
9.1 Кола керування
9.1.1 Живлення кіл керування
Якщо кола керування живляться від мережі змінного струму, обов'язковим є використання трансформаторів для живлення кіл керування. Ці трансформатори повинні мати роздільні обмот-км Якщо застосовують кілька трансформаторів, то рекомендовано їх з'єднувати таким чином, щоб н апруга у вторинних обмотках збігалася в фазі.
Якщо кола керування постійного струму отримують живлення від мережі змінного струму, що має з’єднання з колом захисту (див. 8.2.1), то вони повинні живитися через окрему обмотку трансформатора кола керування змінного струму або через інший трансформатор кола керування.
Примітка. Цим вимогам, відповідно до ІЕС 61558-2-17, відповідають комутаційні модулі, що монтовані на трансфор-мaтopax з роздільними обмотками.
Якщо машини оснащені тільки одним пусковим пристроєм двигуна і/або щонайбільше двома пристроями керування (наприклад, пристрій блокування, пульт керування «Пуск/Стоп»), то використання трансформаторів може бути необов’язковим.
9.1.2 Напруга кіл керування
Номінальна величина напруги керування повинна забезпечувати нормальну роботу кіл керування. Номінальна напруга не повинна перевищувати 277 В, якщо живлення здійснюється від трансформатора.
9.1.3 Захист
У колах керування має бути передбачено захист від надструму відповідно до 7.2.4 і 7.2.10.
9.2 Функції керування
Примітка 1. Інформацію щодо аспектів керування, пов'язаних із безпекою, наведено в ISO 13849-1, ISO 13849-2 та I EC 62061.
Примітка 2. У цьому підрозділі не визначено вимог до обладнання, що виконує функції керування. Приклади таких ви мог наведено у розділі 10.
9.2.1 Функції пуску
Функції пуску повинні здійснюватися під час подавання енергії у відповідне коло (див, 9.2.5.2).
9.2.2 Функції зупинення
Існують такі три категорії функції зупинення:
— зупинка категорії 0: зупинка внаслідок негайного припинення подавання енергії до приводу машини (тобто неконтрольована зупинка — див. 3.56);
— зупинка категорії 1: контрольована зупинка (див. 3.11), коли подавання енергії до приводу машини проводиться аж до його повної зупинки і припиняється, коли зупинка відбулася;
— зупинка категорії 2: контрольована зупинка, коли енергія увесь час підводиться до приводу машини.
9.2.3 Робочі режими
Кожна машина може мати один або кілька робочих режимів залежно від типу машини або її застосування. Якщо вибір режиму роботи може призвести до виникнення небезпечних ситуацій, такий режим повинен бути вимкнений відповідним засобом (наприклад, перемикачем, що замикається на ключ, кодом доступу).
Вибір робочого режиму не повинен призводити до спрацьовування машини. Для цього має знадобитися окрема дія керуванням пуску.
Для кожного конкретного режиму роботи відповідні функції безпеки і/або захисні заходи мають бути реалізовані.
Має бути передбачена індикація вибраного режиму роботи (наприклад, положення перемикача режимів, надане світловою індикацією, індикацією на візуальному дисплеї).
9.2.4 Призупинення дії захисту та/або заходів захисту
Якщо необхідно призупинити дію захисних функцій та/або заходів захисту (наприклад, для регулювання або обслуговування), захист повинен бути забезпечений:
— забороною керування в інших режимах роботи; та
— іншими відповідними заходами (див. 4.11.9 ISO 12100-2:2003), які можуть містити, наприклад, одне або більше з наведених нижче:
— виконання руху поштовховим пристроєм або аналогічним пристроєм керування;
— застосуванням переносного пульта керування, що обладнаний пристроєм аварійної зупинки, за необхідності, із дозвільним пристроєм. Якщо застосовують переносний пульт керування, рух може бути тільки з цього пульта керування;
— застосуванням дистанційного (безпровідного) пульта керування, що обладнаний пристроєм аварійної зупинки відповідно до 9.2.7.3, за необхідності, із дозвільним пристроєм. Якщо засгосовують дистанційний пульт керування, рух може бути тільки з цього пульта керування;
— обмеженням швидкості руху або потужності;
— обмеженням діапазону руху.
9.2.5 Робота
9.2.5.1 Загальні положення
Мають бути передбачені необхідні функції безпеки і/або захисні заходи {наприклад, блокування (див. 9.3) для безпечної роботи машини).
Необхідно вжити заходів щодо обмеження руху машини в ненавмисному або непередбаченому русі машини після будь-якої зупинки (наприклад, втрати охолодження, несправність в електроживленні, у разі заміни батареї, втрати сигналів дистанційного керування).
За наявності на машині кількох пультів керування потрібно вжити заходів щодо запобігання створенню небезпечної ситуації у разі подавання команд із різних пультів керування.
9.2.5.2 Пуск
Пуск має бути можливим тільки тоді, коли всі відповідні функції безпеки і/або засоби безпеки наявні й працездатні, за винятком випадків, описаних у 9.2.4.
На тих машинах {наприклад, пересувних), де функції безпеки і/або засоби безпеки не можуть бути застосовані для визначених операцій, ручне керування такими операціями має здійснюватися «поштовховим способом» разом із відповідними дозвільними пристроями.
Повинно бути застосовано відповідне блокування, що забезпечує правильну послідовність пуску.
У машинах із застосовуванням більше ніж одного пульта керування, що здійснює пуск, необхідно, щоб кожний пульт мав окремий пристрій ручного керування пуском.
Для вмикання пуску необхідно, щоб:
— усі необхідні умови для роботи машини повинні бути виконані; та
— усі пристрої керування пуском повинні перебувати у звільненому {вимкненому) стані; тоді
— усі пристрої керування пуском повинні діяти узгоджено (див. 3.6).
9.2.5.3 Зупинення
Зупинка категорії 0, і/або зупинка категорії 1, і/або зупинка категорії 2 повинні бути забезпечені відповідно до оцінки ступеня ризику і функційних вимог до машини (див. 4.1).
Примітка. Пристрої вимикання живлення (див. 5.3) застосовують у разі використання зупинки категорії 0.
Функції зупинення повинні переважати над функціями пуску (див. 9.2.5.2).
За необхідності, можуть бути передбачені засоби для від'єднання захисних пристроїв і блокувань. Якщо такі захисні пристрої або блокування спричинюють зупинення машини, може виникнути необхідність передавання сигналу про це в логічну схему системи керування. Скидання функції зупинення не повинно спричинити небезпечну ситуацію.
Якщо керування машиною здійснюють більше ніж з одного пульта керування, команди на зупинення машини потрібно виконувати у разі їх активізації із будь-якого з пультів, якщо це обґрунтовано за оцінкою можливого ризику для машини.
9.2.5.4 Аварійне керування (аварійне зупинення, аварійне вимикання)
9.2.5.4.1 Загальні положення
У цьому стандарті наведено вимоги до аварійного зупинення і до аварійного вимикання як функції аварійного керування, наведеного в додатку Е, де обидва, відповідно до цього стандарту, здійснює єдиною дією оператор.
Стосовно функцій аварійного зупинення (див. 10.7) або аварійного вимикання (див. 10.8), орган керування повинен припиняти дію наступної команди і підтримуватися до моменту скасування. Скасування повинно здійснюватися ручним впливом у тому місці, де раніше команда була активована. Скасування не повинно зумовлювати самопуск машини, а повинно тільки дозволяти подавання команди на пуск.
Повинно бути вимкнено пуск машини, доки всі команди аварійного зупинення не будуть зняті. Це саме і для аварійного вимикання, доки не зняті всі команди на аварійне вимикання.
Примітка. Аварійне зупинення і аварійне вимикання є додатковими заходами стосовно первинних засобів щодо зниження ризику небезпек (наприклад, захоплення, потрапляння в пастку, ураження електричним струмом або опіку) на машині (див. ISO 12100 (усі частини)).
9.2.5.4.2 Аварійне зупинення
Принципи проектування обладнання для аварійного зупинення, охоплюючи функціональні аспекти, наведено в ISO 13850.
Аварійне зупинення повинно функціонувати або як категорія зупинки 0, або як категорія зупинки 1 (див. 9.2.2). Вибір категорії аварійної зупинки залежить від результатів оцінювання ризиків на машині.
На додаток до вимог щодо зупинення (див. 9.2.5.3), функція аварійного зупинення має такі вимоги:
— мають бути скасовані всі інші функції і дії в усіх режимах;
— живлення на приводи машини, що може призвести до небезпечної(-их) ситуації(-й), має бути вимкнено негайно (зупинка категорії 0) або його треба контролювати так, щоб зупинити небезпечний рух настільки швидко, наскільки це можливо (зупинка категорії 1), щоб не створювати інших небезпек;
— повернення у вихідне положення не повинно спричинити повторного пуску.
9.2.5.4.3 Аварійне вимикання
Питання функціонування в режимі аварійного вимикання наведено у 536.4 ІЕС 60364-5-53.
Аварійне вимикання треба застосовувати там, де:
— захист від прямого контакту (наприклад, із колекторними щітками й пластинами, вузлами кільц ковзання, апаратура керування в електричних робочих зонах) досягається тільки за допомогою розташування небезпечних пристроїв поза зоною досяжності або за допомогою використовування перепон (див. 6.2.6); або
— можливі інші небезпеки чи пошкодження від дії електрики.
Аварійне вимикання здійснюється за допомогою від'єднання відповідних електромеханічних пристроїв, здійснення зупинки категорії 0, приводів машини, під’єднаних до вхідного живлення. Коли на машині не може бути реалізована зупинка категорії 0, може бути необхідним застосування інших видів захисту, наприклад, захист від прямого контакту, тоді аварійне вимикання не є необхідним.
9.2.5.5 Контроль виконання команд
Будь-який рух або дія машини чи її частин, що можуть спричинити виникнення небезпечної ситуації, треба контролювати за допомогою, наприклад, обмежувача ходу, виявлення перевищення швидкості двигуна, виявлення механічного перевантаження або пристроїв, що запобігають зіткненню.
Примітка. На деяких машинах, що керовані вручну, оператори мають можливість здійснювати контроль.
9.2.6 Різні функції керування
9.2.6.1 Керування утримувальної дії
Керування утримувальної дії вимагає безперервного приведення в дію пристрою(-їв) керування для виконання операції.
Примітка 1. Керування утримувальної дії може бути досягнуто за допомогою пристроїв керування двома руками.
9.2.6.2 Керування двома руками
Відповідно до ISO 13851 визначено три типи керування двома руками, вибір яких визначають оцінкою ризику. Вони повинні мати такі ознаки:
Тип І: Цей тип потребує:
— наявності двох пристроїв керування та одночасного впливу на них двома руками;
— безперервного одночасного впливу протягом небезпечної ситуації;
— припинення роботи машини у разі звільнення одного або обох пристроїв керування, якщо небезпечна ситуація все ще зберігається.
Пристрій керування двома руками типу І не призначено для реалізації керування небезпечною операцією.
Тип II: Це керування за типом І, що потребує звільнення обох пристроїв керування, перед тим як робота машини може відновитися.
Тип III: Це керування за типом II, що потребує узгодженого приведення в дію пристроїв керування таким чином:
— необхідно впливати на пристрої керування протягом обмеженого часового інтервалу, що не перевищує 0,5 с;
— коли відведений інтервал часу вичерпано, обидва пристрої керування повинні бути звільнені пгеред тим, як машина може бути знову запущена в роботу.
9.2.6.3 Дозвільне керування
Дозвільне керування (див. також 10.9) здійснюють через ручне керування функцією блокування, якщо:
a) в одному положенні дозволено роботу машини у разі подавання на неї додаткової команди на пуск, і
b) в іншому положенні воно:
— зумовлює функцію зупинення руху відповідно до 9.2.5.3, і
— запобігає вмиканню машини в роботу.
Дозвільне керування має бути влаштовано так, щоб мінімізувати можливість його обходу, наприклад, вимогою щодо від’єднання пристрою дозвільного керування перед пуском машини в роботу Має бути вилучена можливість скасування функції дозвільного керування без застосування спеціальних засобів.
9.2.6.4 Комбіноване керування пуском і зупиненням
Натискні кнопки й аналогічні пристрої керування, які в разі їх використовування позмінно лускають і зупиняють рух, треба застосовувати тільки для функцій, унаслідок яких не може виникнути небезпечної ситуації.
9.2.7 Безпровідне керування
9.2.7.1 Завальні положення
У цьому підпункті розглянуто функціональні вимоги до системи керування, що містять без-провідну техніку (наприклад, радіо, інфрачервоне випромінювання) для передавання команд і сигналів між системою керування машиною та дистанційним пультом керування оператора(-ів).
Примітка. Використовування деяких зазначених технічних рішень у системі керування може дозволити реалізувати керування за допомогою каналів цифрового зв'язку там, де як засоби зв’язку використовують спеціальні кабелі (наприклад, коаксіальні, виті пари, оптичні).
Необхідно передбачити засоби для легкого вимкнення дистанційного пульта керування оператора від силового живлення (див. також 9.2.7.3).
Мають бути передбачені засоби (наприклад, вимикач, що замикається ключем, код доступу), що запобігають недозволеному використовуванню дистанційного пульта керування оператора.
Кожний дистанційний пульт керування оператора повинен мати чітку індикацію тієї машини (машин), якою керують із цього пульта керування.
9.2.7.2 Обмеження в системі керування
Потрібно вжити заходів, щоб команди з керування забезпечували:
— вплив тільки на визначену машину;
— вплив тільки на визначені функції.
Необхідно вжити заходів, що перешкоджають реагуванню машини на будь-які сигнали, крім сигналів, що надходять Із призначеного для цієї машини пульта(-ів) керування оператора.
У разі необхідності потрібно вжити заходів для того, щоб машиною можна було керувати тільки від пультів, розташованих у кількох, заздалегідь установлених місцях або зонах.
9.2.7.3 Зупинення
Безпровідний пульт керування має бути оснащено окремими й чітко ідентифікованими засобами для виконання функції зупинення машини або всіх її рухів, що можуть спричинити небезпечну ситуацію. Виконавчі засоби, що здійснюють функцію зупинення, не можна позначати або маркувати як пристрій аварійного зупинення (див. 10.7).
Машина з безпровідним пультом керування має бути обладнана засобами автоматичного зупинення і запобігання потенційно небезпечним операціям у таких ситуаціях:
— коли отримано сигнал для зупинення;
— коли виявлена несправність у безпровідній системі керування;
— коли команда (що містить повідомлення про нормальну працездатність лінії зв’язку) не може бути визначена в період попередньої затримки перед виконанням (див. додаток В), за винятком, коли машина виконує заздалегідь запрограмоване завдання, отримавши його за межами дії пульта керування оператора, де небезпечні ситуації уникнемо.
9.2.7.4 Використовування більше одного безпровідного пульта керування оператора
Якщо машина має більше ніж один безпровідний пульт керування оператора, зокрема один
або кілька безпровідних пультів, потрібно вживати заходів, які гарантують, що тільки один пульт керування може бути дієвим у цей час. Індикація, що вказує, який безпровідний пульт керування використовують, має бути розташована в локальній зоні, яка визначена оцінкою ступеня ризику д.ля машини.
Виняток: команда «зупинення» має бути реалізована з будь-яких пультів, якщо це продиктовано оцінкою ступеня ризику машини.
9.2.7.5 Пульти керування з живленням від батарей
Зміна напруги батареї не повинна стати причиною виникнення небезпечної ситуації. Якщо один або кілька потенційно небезпечних рухів керуються з безпровідного пульта керування оператора з живленням від батареї, оператор повинен одержувати чітке попередження, коли напруга батареї вийде за встановлені межі. При цьому використовуваний безпровідний пульт керування повинен функціонувати досить довго, що дозволяє перевести машину в безпечний стан.
9.3 Захисні блокування
9.3.1 Повторне вмикання або повторне повернення у вихідне положення засобів безпеки
Повторне вмикання або повернення у вихідне положення блокування засобів безпеки не повинно спричинювати поновлення руху або роботи машини, якщо це може стати причиною небезпечної ситуації.
Примітка. Вимоги щодо блокування огорож із функціями пуску (керовані огорожі) наведено в 5.3.2.5 ISO 12100-2.
9.3.2 Вихід за робочі межі
Якщо межа робочого діапазону (наприклад, швидкість, тиск, перебіг) може призвести до небезпечної ситуації, то необхідно застосувати засоби, коли задана(-і) межа(-і) перевищена(-і) для реалізації відповідних функцій керування.
9.3.3 Здійснення допоміжних функцій
Належне виконання допоміжних функцій потрібно контролювати відповідними пристроями (наприклад, датчиком тиску).
Якщо припинення роботи пристрою або двигуна, призначених для виконання допоміжної функції (наприклад, змащення, охолодження, видалення стружки), може спричинити небезпечну ситуацію або стати причиною пошкодження машини чи порушення виробничого процесу, необхідно застосовувати відповідні блокування.
9.3.4 Взаємні блокування між різними процесами і для зустрічних рухів
Усі контактори, реле й інші пристрої керування, що керують частинами машини і можуть стати причиною для створення небезпечної ситуації, якщо спрацюють одночасно (наприклад ті, що спричиняють зустрічний рух), мають бути заблоковані для запобігання неправильним діям.
Реверсивні контактори (наприклад ті, що керують напрямком обертання двигуна) повинні взаємно блокуватись так, щоб під час нормального експлуатування в момент перемикання не відбувалося коротке замикання.
Якщо для безпеки або для забезпечення нормальної роботи необхідно пов'язати між собою деякі функції, таке узгодження має забезпечуватись відповідним взаємним блокуванням. Для груп машин, що працюють спільно, узгоджено і які мають більше одного керувального контролера, має бути забезпечувана узгоджена робота всіх контролерів.
Якщо відмова приводу механічного гальма може призвести до гальмування приводу, на який подано енергію, і це може призвести до створення небезпечної ситуації, необхідно застосовувати блокування, що вимикає привід машини.
9.3.5 Гальмування реверсуванням струму
Якщо застосовують гальмування електродвигуна противмиканням, необхідно вжити ефективних заходів для запобігання пуску двигуна в протилежному напрямку після закінчення процесу гальмування, якщо таке реверсування може спричинити створення небезпечної ситуації, або пошко-дження машини, або порушення виробничих процесів. Застосовування для цієї мети пристрою, що працює винятково залежно від часу, не дозволено.
Кола керування треба будувати так, щоб під час повороту вала двигуна, наприклад рукою, не виникало небезпечної ситуації.
9.4 Функції керування у разі відмови
9.4.1 Загальні вимоги
Якщо відмови або збурення в електрообладнанні можуть стати причиною небезпечної ситуації або пошкодження машини чи порушення виробничих процесів, треба вживати відповідних за-ходів для зведення до мінімуму можливості виникнення таких відмов або збурення. Характер необхідних заходів і ступені їх застосовування, індивідуально або в поєднанні, залежить від рівня ризику, пов’язаного з їх застосовуванням (див. 4.1).
Електричні кола керування мають відповідати рівню безпеки, що визначають за результатами оцінювання ризиків на машині. Застосовують вимоги ІЕС 62061, ISO 13849-1 та/або ISO 13849-2.
Заходи щодо зниження небезпеки охоплюють, але не обмежуються наведеними нижче:
— захисні пристрої на машині (наприклад, зблоковані огорожі, роз’єднувальні пристрої);
— захисне блокування в електричному колі;
— використовування випробувальних схем і елементів (див. 9.4.2.1);
— надання часткового або повного резервування (див. 9.4.2.2) або різноманітних технічних рішень (див. 9.4.2.3);
— проведення функціональних випробовувань (див. 9.4.2.4).
Якщо збереження пам’яті залежить, наприклад, від живильної батареї, мають бути вжиті заходи щодо вилучення потрапляння в небезпечну ситуацію у разі пошкодження або замінення батареї.
Мають бути вжиті заходи щодо вилучення несанкціонованого або випадкового допуску до внесення змін у пам’ять, наприклад, використанням ключів, кодів допуску або інструменту.
9.4.2 Заходи щодо зниження ступеня ризику в разі відмови
9.4.2.1 Використовування випробувальних схем і елементів
ЦІ заходи охоплюють такі засоби, але не обмежуються ними:
— з’єднання кіл керування з колом захисту для забезпечення працездатності (див. 9.4.3.1 і рисунок 2);
— під'єднання пристроїв керування відповідно до 9.4.3.1;
— зупинення у разі вимикання енергії (див. 9.2.2);
— вимикання усіх кіл керування проводів керованого пристрою (див. 9.4.3.1);
— застосовування комутувальних пристроїв, що мають безпосереднє розмикання (див. ІЕС 60947-5-1);
— прийняття конструктивних рішень для зменшення можливості відмов, що спричинюють небажані дії.
9.4.2.2 Забезпечення часткового або повного резервування
У разі застосовування часткового або повного резервування стає можливим зведення до мінімуму можливості того, що одна відмова в електричній схемі може стати причиною для створення небезпечної ситуації. Резервування діє під час нормальної роботи (так зване пряме резервування) або проектують спеціальні схеми із захисними функціями (так званого непрямого резервування) тільки там, де оперативну функцію не виконують.
Якщо використане непряме резервування, що не функціонує під час нормальної роботи, потрібно вживати відповідних заходів, які гарантують, що такі кола керування завжди є працездатними в потрібний момент
9.4.2.3 Використовування різноманітності технічних рішень
Використовування кіл керування з різними принципами роботи або застосовування різних типів пристроїв може зменшити можливість небезпеки внаслідок несправності і/або відмов. Так, наприклад:
— поєднання нормально відкритих і нормально закритих контактів, що керуються блокувальними огорожами;
— застосовування різних типів елементів у колах керування;
— поєднання електромеханічного та електронного обладнання в резервованих конфігураціях.
Поєднання електричних і неелектричних систем (наприклад механічних, гідравлічних, пневма-т ^ічних), які можуть виконувати надлишкову функцію і забезпечувати різноманітність.
9.4.2.4 Проведення функціональних випробовувань
Функціональне випробовування може виконуватися автоматично за допомогою системи керу-в ання або вручну оглядом, або випробувань у разі пуску і за заданих інтервалів, або поєднання залежно від обставин (див. також 17.2 і 18.6).
9.4.3 Захист від помилкових комутаційних операцій унаслідок пошкодження уземлення, переривань напруги і втрати безперервності кола
9.4.3.1 Пошкодження уземлення
Пошкодження уземлення будь-якого кола керування не повинно спричиняти жодних ненавмис-нмх пусків, створювати потенційно небезпечних рухів або запобігати зупиненню машини.
Методи, що відповідають цим вимогам, але не обмежуються таким:
Метод а) Кола керування, що живляться від трансформаторів керування:
1) У разі уземлення живлення кіл керування загальний провід, приєднаний до кола захисту в точці живлення. Усі контакти, електромеханічні апарати та подібні елементи, які призначені для роботи електромагнітного або іншого пристрою (наприклад, реле, світлові індикатори), розташовують між однією стороною комутувального проводу живлення кіл керування і одним контактним затискачем обмотки або пристрою. Інший контактний затискач обмотки або пристрою (переважно треба мати однакове маркування) треба з’єднати безпосередньо із загальним проводом живлення кіл керування, що не містить комутувальних елементів (див. рисунок 3).
Виняток: контакти пристроїв захисту можуть бути з’єднані між загальним проводом і котушками, якщо:
— кола розмикаються автоматично у разі несправності уземлення, або
— з’єднання є досить коротким (наприклад, у межах оболонки), так щоб несправність уземлення була малоймовірна (наприклад, для реле перевантаження).
2) Кола керування, які живляться від трансформатора керування і які не з'єднані з колом захисту, що має те саме розташування, як зазначено на рисунку 3, повинні бути забезпечені пристроєм, який автоматично перериває це коло у разі наявності несправності уземлення (див. також 7.2.4).
Метод b) Кола керування, що живляться від трансформатора керування з виведеною середньою точкою обмотки, з’єднаної з колом захисту згідно з рисунком 4, обладнують захисними пристроями від надструму, що мають комутувальні елементи у всіх проводів живлення кіл керування.
Примітка 1. У разі наявності однієї несправності уземлення кіл керування може залишитися 50 % напруги на обмотку реле. У результаті утримання реле з’являється ймовірність неможливості зупинення машини.
Примітка 2. Котушки або пристрої можуть вимикатися як із однієї сторони, так і з обох сторін.
Метод с) Якщо кола керування не живляться від трансформатора керування І, або:
1) безпосередньо під’єднані між фазними проводами уземленого джерела живлення, або
2) безпосередньо під’єднані між фазними проводами чи між фазним проводом і нейтральним проводом живлення, який не уземлений або уземлений через високий імпенданс.
Багатополюсні вимикачі керування, які вимикають усі піднапругові проводи, що використовують для ПУСКУ або ЗУПИНКИ тих функцій машини, які можуть спричинити небезпечну ситуацію або пошкодження машини внаслідок випадкового вимикання або відмови зупинки, або у випадку с) 2), мають бути передбачені пристрої, що автоматично перериває коло у разі несправності уземлення.
9.4.3.2 Переривання напруги
Потрібно застосовувати вимоги, описані в 7.5.
Якщо в системі керування використовують пристрій(-ої) пам’яті, має бути забезпечено належне функціонування в разі відмови в електропостачанні (наприклад, за допомогою енергонезалежної пам'яті), щоб запобігти втраті пам’яті, яка може призвести до небезпечної ситуації.
9.4.3.3 Втрата безперервності кола
Якщо втрата безперервності кіл керування, пов’язаних із безпекою залежно від ковзних контактів, може призвести до небезпечної ситуації, необхідно вжити відповідних заходів (наприклад, дублювання ковзних контактів). 
1 0 ЗОВНІШНІЙ ЗВ’ЯЗОК ОПЕРАТОРА З ПРИСТРОЯМИ КЕРУВАННЯ, ВСТАНОВЛЕНИМИ НА МАШИНІ
10.1 Загальні положення
10.1.1 Загальні вимоги до пристроїв
Цей пункт містить вимоги до пристроїв, які монтують із зовнішньої сторони або частково за межами оболонки керування.
По можливості, ці прилади треба вибирати, монтувати, позначати або маркувати відповідно до частин ІЕС 61310.
Можливість випадкового спрацьовування пристроїв має бути зведена до мінімуму, наприклад, розміщення пристрою відповідної конструкції, із забезпеченням додаткових захисних заходів. Особливу увагу має бути надано вибору, організації, програмуванню і використанню оперативних пристроїв уведення, таких як сенсорні екрани, панелі та клавіатури для керування машини в небезпечних режимах роботи. Див. ІЕС 60447.
10.1.2 Розміщення та монтування
По можливості, пристрої керування, встановлені на машині, повинні бути:
— легкодоступні для обслуговування і ремонту;
— змонтовані так, щоб мінімізувати можливість пошкодження через операції завантаження матеріалу.
Органи керування пристрою керування, що урухомлюються руками, мають бути вибрані й установлені так, щоб:
— вони були розташовані на висоті не менше ніж 0,6 м над рівнем робочої площадки і були легкодоступні за нормального робочого положення оператора;
— у процесі керування ними оператор не опинився в небезпечній ситуації.
Органи керування пристрою керування, що урухомлюються ногами, мають бути вибрані й установлені так, щоб:
— бути легкодоступними для оператора в його звичайному робочому положенні;
— не створювати небезпечних ситуацій для оператора під час керування.
10.1.3 Захист
Ступінь захисту {див. ІЕС 60529) разом з іншими відповідними заходами має забезпечити захист від:
— впливу агресивних рідин, пари або газів, що наявні в навколишньому середовищі або використовувані в машині;
— потрапляння забруднювальних речовин (наприклад стружки, пилу, частинок речовини).
Крім того, прилади в пристроях керування повинні мати мінімальний ступінь захисту від прямого контакту IPXXD (див. ІЕС 60529).
10.1.4 Датчики положення
Датчики положення (наприклад, кінцеві вимикачі, безконтактні вимикачі) мають бути встановлені так, щоб їх не можна було пошкодити у разі перебігу.
Датчики положення в колах із функціями керування, пов’язані з безпекою, мають призводити до безпосереднього розмикання (див. ІЕС 60947-5-1) або забезпечувати таку саму надійність (див. 9.4.2).
Примітка. Функція керування, пов'язана з безпекою, призначена для підтримування безпечного стану машини або для запобігання небезпечній ситуації, що виникає в машині.
10.1.5 Переносні та підвісні пульти керування
Переносні та підвісні пульти керування і їхні пристрої керування потрібно вибирати й монтувати так, щоб звести до мінімуму можливість виникнення непередбачених дій у машині через удари, поштовхи і вібрацію (наприклад, у разі падіння пульта керування або удару об огорожу) (див. також 4.4.8).
10.2 Кнопкові вимикачі
10.2.1 Кольори
Колір органів керування, виконаних у вигляді натискних кнопок, повинен відповідати кольоровому коду відповідно до таблиці 2 (див. також 9.2 та додаток В).
Кольори для ПУСК/ВМИКАННЯ органів керування повинні бути БІЛИЙ, СІРИЙ, ЧОРНИЙ або ЗЕЛЕНИЙ, але переважно БІЛИЙ. ЧЕРВОНИЙ колір не можна використовувати.
ЧЕРВОНИЙ колір потрібно використовувати для аварійного зупинення та аварійного вимикання^ органів керування.
Кольори для органів керування СТОП/ВИМИКАННЯ повинні бути ЧОРНИЙ, СІРИЙ або БІЛИЙ, апє переважно ЧОРНИЙ. ЗЕЛЕНИЙ колір не можна використовувати. ЧЕРВОНИЙ колір також дозволено, але його не рекомендовано використовувати поруч з аварійними органами керування.
БІЛИЙ, СІРИЙ або ЧОРНИЙ є переважними кольорами для кнопкових вимикачів органів керування, що виконують позмінно функції ПУСК/ВМИКАННЯ та СТОП/ВИМИКАННЯ кнопкових вимикачів. Кольори ЧЕРВОНИЙ, ЖОВТИЙ або ЗЕЛЕНИЙ не можна використовувати {див. також 9.2.6).
БІЛИЙ, СІРИЙ або ЧОРНИЙ є переважними кольорами для кнопкових вимикачів органів керування, що забезпечують роботу, коли вони натиснуті й припиняють роботу, коли вони відпущені (налриклад, поштовховий режим). Кольори ЧЕРВОНИЙ, ЖОВТИЙ або ЗЕЛЕНИЙ не можна використовувати.
Для кнопкового вимикача з поверненням треба використовувати колір БЛАКИТНИЙ, БІЛИЙ, СІРИЙ або ЧОРНИЙ. Якщо вони також діють як кнопки СТОП/ВИМИКАННЯ, то є переважними БІЛИЙ, СІРИЙ або ЧОРНИЙ та особливо ЧОРНИЙ колір. ЗЕЛЕНИЙ не можна використовувати.
Якщо кольори БІЛИЙ, СІРИЙ або ЧОРНИЙ, які використовують для різних функцій (наприклад, БІЛИЙ для ПУСК/ВМИКАННЯ, а також для СТОП/ВИМИКАННЯ органів керування), то для іден-тифікації органів керування кнопкових вимикачів потрібно використовуватиі додаткові засобами кодування (наприклад форми, положення, символи).
Таблиця 2 — Код кольорів органів керування кнопкових вимикачів і їхнє значення
|
Колір |
Значення |
Пояснення |
Приклади застосування |
|
Червоний |
Аварійний |
Діє у випадку небезпечної або аварійної ситуації |
Аварійне зупинення Ініціювання аварійної функції (див. також 10.2.1) |
|
Жовтий |
Ненормальний |
Діє у випадку ненормального стану |
Втручання для усунення ненормального стану.
Втручання для поновлення перерваного автоматичного циклу |
|
Блакитний |
Обов’язковий |
Діє у випадку, що вимагає обов'язкового втручання |
Функція повернення |
|
Зелений |
Нормальний |
Діє під час нормальних умов |
Див. 10.2.1 |
|
Білий |
Не мають конкретного встановленого значення |
Для ініціації загальних функцій, за винятком аварійного зупинення |
ПУСК/ВМИКАННЯ (переважно) СТОП/ВИМИКАННЯ |
|
Сірий |
ПУСК/ВМИКАННЯ
СТОП/ВИМИКАННЯ |
|
Чорний |
ПУСК/ВМИКАННЯ
СТОП/ВИМИКАННЯ
(переважно) |
10.2.2 Маркування
На додаток до функціональної ідентифікації, як описано в 16.3, рекомендовано маркувати кнопкові вимикачі поблизу або переважно безпосередньо на органах керування згідно із символами, наведеними в таблиці 3.
Таблиця 3 — Символи для кнопкових вимикачів
|
ПУСК або ВМИКАННЯ |
СТОП або ВИМИКАННЯ |
Кнопкові вимикачі, що діють почергово як кнопки ПУСК або СТОП і як кнопки ВМИКАННЯ або ВИМИКАННЯ |
Кнопкові вимикачі, що діють -як кнопки ПУСК або ВМИКАННЯ НЯ під час натискання і як кнопки СТОП або ВИМИКАННЯ під час відтискання (тобто, що утримують вплив) |
|
ІЕС 60417-5007 (DB:2002-10) |
ІЕС 60417-500В (DB:2002-10)
|
ІЕС 60417-5010 (DB:2002-10)
|
ІЕС 60417-5011 (DB:2002-10)
|
 |
 |
 |
 |
10.3 Світлові індикатори і дисплеї
10.3.1 Загальні положення
Світлові індикатори і дисплеї слугують для надання таких видів інформації:
— індикація: щоб привернути увагу оператора або повідомити, що визначене завдання повинно бути виконано. Для цього режиму зазвичай використовують кольори ЧЕРВОНИЙ, ЖОВТИЙ, БЛАКИТНИЙ та ЗЕЛЕНИЙ; для блимальних індикаторів та екранів див.10.3.3;
— підтвердження: для підтвердження команди або стану або для підтвердження завершення зміни або перехідного періоду. У цьому випадку зазвичай використовують БЛАКИТНИЙ і БІЛИЙ кольори, але в окремих випадках можна використовувати і ЗЕЛЕНИЙ колір.
Світлові індикатори та дисплеї необхідно вибрати та встановити так, щоб вони були видимими оператору в нормальному положенні (див. також ІЕС 61310-1).
Кола світлового індикатора, що використовують для аварійної сигналізації, повинні бути оснащені зручностями для перевіряння працездатності цієї сигналізації. 10.3.2 Кольори
Якщо інше не погоджено між постачальником і споживачем (див. додаток В), світлові індикатори повинні відповідати кольоровому коду щодо умов роботи (стану) машини відповідно до таблиці 4.
Таблиця 4 — Кольори для світлових індикаторів та їхнє значення залежно від стану машини
|
Колір |
Значення |
Пояснення |
Дії оператора |
|
Червоний |
Аварійний |
Небезпечні умови |
Негайна дія для ліквідації небезпечної умови (наприклад, вимикання живлення машини, будучи готовим до небезпечної умови, та залишатися осторонь від машини) |
|
Жовтий |
Ненормальний |
Ненормальний стан. Насувається критичний стан |
Моніторинг та/або втручання (наприклад, відновленням бажаної функції) |
|
Блакитний |
Обов’язковий |
Індикація стану, що вимагає вживання заходів оператором |
Обов’язкова дія |
|
Зелений |
Нормальний |
Нормальний стан |
Необов’язково |
|
Колір |
Значення |
Пояснення |
Дії оператора |
|
Білий |
Нейтральний |
Інші умови можуть бути використані, коли є сумніви щодо застосування червоного, жовтого, зеленого, блакитного |
Спостереження |
Потрібно, щоб кольори індикаційних пристроїв на машинах мали відповідні кольори в такому порядку зверху вниз: ЧЕРВОНИЙ, ЖОВТИЙ, БЛАКИТНИЙ, ЗЕЛЕНИЙ та БІЛИЙ.
10.3.3 Миготлива сигналізація і дисплеї
Для отримання додаткової інформації або відмінності й особливості, щоб дати додатковий акцент, миготлива сигналізація, і вогні, і дисплеї можуть бути надані для таких цілей:
— привернути увагу;
— вимагати негайних дій;
— вказати на невідповідність між командою і фактичним станом;
— вказати на зміни в процесі (миготить протягом перехідного процесу).
Рекомендовано найвищу частоту миготливої сигналізації цих вогнів або дисплея використо-
ву вати для найпріоритетнішої інформації (див. ІЕС 60073, рекомендовано для частоти миготіння та відношення імпульс/пауза).
Коли миготливу сигналізацію або дисплеї використовують для забезпечення вищого пріоритету інформації, має бути також забезпечено пристроями звукової тривожної сигналізації.
10.4 Натискні кнопки з підсвічуванням
Натискні кнопки з підсвічуванням повинні мати певний колір відповідно до таблиць 2 і 4. Якщо є труднощі у присвоєнні відповідного кольору, то варто використовувати БІЛИЙ. ЧЕРВОНИЙ колір органу керування аварійного зупинення не повинен залежати від освітлення його світлом.
10.5 Поворотні пристрої керування
Пристрої, що мають поворотні елементи, такі як потенціометри і перемикачі вибору режиму, повинні бути встановлені так, щоб вимикати обертання нерухомої частини. Одного тертя не буде вважатися достатнім.
10.6 Пускові пристрої
Органи керування, використовувані для виконання функції пуску або переміщення деталей машин (наприклад, контактні штирі, движки, тяги), повинні бути сконструйовані й установлені так, щоб звести до мінімуму випадкове спрацьовування. Органи керування з грибоподібним штовхачем може бути використано для керування двома руками (див. також ISO 13851).
10.7 Пристрої аварійного зупинення
10.7.1 Розташування пристроїв аварійного зупинення
Пристрої аварійного зупинення повинні бути легкодоступні.
Пристрої аварійного зупинення повинні бути розташовані на кожному оперативному пульті керування та в інших місцях, де може знадобитися здійснення аварійного зупинення (виняток: див. 9.2.7.3).
Можуть бути обставини, коли плутанина може виникнути між активними і неактивними пристроями аварійного зупинення, що спричинені вимиканням оперативного пульта керування. У таких випадках має бути передбачено засіб (наприклад, інформація про використання), щоб звести до мінімуму плутанину.
10.7.2 Типи пристроїв аварійного зупинення
Пристрої аварійного зупинення охоплюють такі типи:
— кнопковий вимикач зі штовхачем грибоподібної форми або у вигляді долонньої клавіші;
— вимикач, керований тягучим тросом;
— педальний вимикач без механічного захисного пристрою.
Пристрої повинні призводити до безпосереднього розмикання (див. ІЕС 60947-5-1, додаток К).
10.7.3 Колір органів керування
Органи керування пристроїв аварійного зупинення повинні бути ЧЕРВОНОГО кольору. Якщо безпосередньо навколо органу керування існує поверхня, то ця поверхня повинна мати ЖОВТИЙ колір. Див. також ISO 13850.
10.7.4 Локальне керування пристроєм вимикання живлення для здійснення аварійного зупинення
Локальне керування пристроєм вимикання живлення може працювати для виконання функції аварійного зупинення, коли:
— це легкодоступно для оператора; і
— це належить до типу, описаного в 5.3.2 а), Ь), с) або d).
Якщо передбачено таке використання пристрою вимикання живлення, то його колір повинен задовольняти вимогам згідно з 10.7.3.
10.8 Пристрої аварійного вимикання
10.8.1 Розташування пристрою аварійного вимикання
Пристрої аварійного вимикання повинні бути розташовані так, як це необхідно в кожному конкретному випадку. Зазвичай такі пристрої розташовують окремо від оперативного пульта керування. Якщо необхідно забезпечити пульт керування пристроєм аварійного зупинення і пристроєм, що вимикає аварійну ситуацію, то мають бути передбачені засоби, щоб уникнути плутанини між цими пристроями.
Примітка. Це може бути досягнуто, наприклад, застосуванням руйнованої скляної оболонки для пристрою аварійного виникання,
10.8.2 Типи пристроїв аварійного вимикання
Пристрої аварійного вимикання охоплюють такі типи:
— кнопковий вимикач з органом керування грибоподібної форми або у вигляді долонньої клавіші;
— вимикач, керований тягучим тросом.
Пристрої повинні мати безпосереднє розмикання (див. ІЕС 60947-5-1, додаток К).
Кнопковий вимикач може бути розташовано в руйнованій скляній оболонці.
10.8.3 Колір органів керування
Органи керування пристроїв аварійного вимикання повинні мати ЧЕРВОНИЙ колір. Якщо існує поверхня безпосередньо навколо органу керування, то ця поверхня повинна мати ЖОВТИЙ колір.
Якщо може виникнути плутанина між аварійним зупиненням та аварійним вимиканням, то на пристрої повинні бути передбачені засоби, щоб мінімізувати плутанину.
10.8.4 Локальне керування пристроєм вимикання живлення, що здійснює аварійне вимикання
Якщо пристрій вимикання живлення у разі аварійного вимикання повинен працювати локально, то він повинен бути легкодоступним і відповідати вимогам до кольору згідно з 10.8.3.
10.9 Дозвільний пристрій
Коли дозвільний пристрій надано як частину системи, то вона повинна сигналізувати про сприятливе керування так, щоб операція здійснювалась тільки в одному положенні. У будь-якому іншому положенні операція повинна бути зупинена або відвернена.
Дозвільні пристрої повинні бути обрані й установлені так, щоб мінімізувати можливість їх пошкодження.
Дозвільні пристрої повинні бути обрані такі, що мають наступні особливості:
— розроблені відповідно до принципів ергономіки;
— для двопозиційного типу:
— позиція 1: вимкнено-функція перемикача (орган керування не працює);
— позиція 2: функція розблокування (орган керування працює);
— для трипозиційного типу:
— позиція 1: вимкнено-функція перемикача (орган керування не працює);
— позиція 2: функція розблокування (орган керування працює у середній позиції);
— позиція 3: вимкнено-функція {орган керування працює після проходження середньої позиції);
— у разі повернення з позиції 3 в позицію 2 функція розблокування не повинна бути реалізована.
Примітка. Дозвільну функцію описано в 9.2.6.3.
11 АПАРАТУРА КЕРУВАННЯ: РОЗМІЩЕННЯ, МОНТУВАННЯ І ЗАХИСНІ ОБОЛОНКИ
11.1 Загальні вимоги
Усю апаратуру керування потрібно розміщати й монтувати так, щоб полегшувати:
— доступ і обслуговування;
— захист від зовнішніх впливів або від впливу умов, у яких вона повинна працювати;
— роботу й обслуговування машини і пов'язаного з нею обладнання,
11.2 Розміщення і монтування
11.2.1 Доступ та обслуговування
Усі елементи апаратури керування повинні бути розташовані й орієнтовані так, щоб їх можна було ідентифікувати без їх переміщення або зняття проводки. Для елементів, які вимагають контролю для правильної роботи або які можуть бути замінені, ці дії повинні бути без демонтажу іншого обладнання або частин машини (за винятком відчинення дверей, зняття кришки, огорож або перепон). Контактні затискачі, які не є частиною апаратури керування як компоненти і пристрої, також повинні відповідати цим вимогам.
Уся апаратура керування повинна бути встановлена так, щоб забезпечити роботу та обслуговування з фронтальної сторони. Якщо для регулювання, обслуговування і замінення пристрою необхідний спеціальний інструмент, він повинен бути наданий. Якщо для обслуговування або регулювання необхідно регулярний доступ до відповідних пристроїв, то вони повинні бути розташовані на висоті від 0,4 до 2,0 м над рівнем робочої площадки. Контактні затискачі рекомендовано розташовувати на висоті 0,2 м над рівнем робочої площадки, так щоб проводи та кабелі могли бути легко з’єднані з ними.
Ніякі пристрої, крім пристроїв для індикації, вимірювання й охолодження, не можна монтувати на дверях і знімних кришках оболонок. Якщо пристрої керування з’єднані через штепсельний з’єднувач, їх об’єднання повинно бути чітко розпізнано за типом (формою), маркуванням або за умовним позначенням, окремо або в поєднанні (див. 13.4.5).
Пристрої зі штекерами, з якими маніпулюють у разі виконання нормальної роботи, не повинні бути взаємозамінними з іншими рознімними з’єднаннями там, де невиконання цієї вимоги може призвести до порушення функціонування.
Штепсельні розніми, з якими маніпулюють у разі виконання нормальної роботи, треба розташовувати і монтувати так, щоб до них був вільний доступ.
Контрольні точки для під’єднання до випробувального обладнання, якщо вони передбачені, повинні бути:
— змонтовані так, щоб до них було забезпечено вільний доступ;
— чітко позначені відповідно до технічної документації (див. 17.3);
— належним чином ізольовані;
— розташовані на достатній відстані між собою.
11.2.2 Фізичний розподіл або групування
Неелектричні елементи та пристрої, що не пов’язані безпосередньо з електрообладнанням, не можна розміщувати всередині оболонок, що містять апаратуру керування. Такі пристрої, як електромагнітний клапан, повинні бути відокремлені від іншого електрообладнання (наприклад, в окремий відсік).
Пристрої керування, розташовані в одному місці та під’єднані до напруги живлення або як до напруги живлення, так і до напруги керування, повинні бути згруповані окремо від тих, що під'єднані тільки до напруги керування.
Контактні затискачі потрібно розділяти на групи для:
— силових кіл;
— пов’язаних кіл керування;
— інших кіл керування, що живляться від зовнішніх джерел (наприклад, для блокування).
Групи контактних затискачів можуть бути монтовані поруч за умови, що кожну групу можна
легко розпізнати (наприклад, маркуванням, за допомогою різних розмірів, застосовуванням огорож або кольорів).
Під час розміщення пристроїв (охоплюючи з’єднання між ними) зазори і шляхи витоку, що зазначені для них постачальником, потрібно підтримувати з урахуванням зовнішніх впливів або умов навколишнього середовища.
11.2.3 Вплив нагрівання
Теплогенерувальні компоненти (наприклад, радіатори, електричні резистори) повинні бути розташовані так, щоб температура кожного компонента в безпосередній близькості залишалася в межах допустимого рівня.
11.3 Ступені захисту
Захист апаратури керування від потрапляння сторонніх твердих предметів і рідин повинен бути достатнім з урахуванням зовнішніх впливів, за яких машина призначена для роботи (тобто розта-шуаання й умов навколишнього середовища), і повинен бути достатнім для захисту від пилу, охолоджувальної рідини і стружки.
Примітка 1. Вимоги щодо захисту від ураження електричним струмом наведено в розділі 6.
Примітка 2. Ступінь захисту від проникнення води визначено в ІЕС 60529. Додаткові заходи можуть бути необхідні для захисту від інших рідин.
Оболонки апаратури керування повинні забезпечувати ступінь захисту не менше ніж (Р22 (див. ІЕС 60529).
Винятки:
а) коли електричну робочу зону використовують як захисну оболонку для забезпечення відповідного ступеня захисту від потрапляння твердих предметів і рідин;
в) коли застосовують рухомі колектори зі щітками і наборами колекторних пластин, до яких не можна застосувати ступінь захисту ІР22, необхідно вживати заходів відповідно до 6.2.5.
Примітка 3. Нижче наведено деякі приклади застосовування ступенів захисту, які зазвичай забезпечуються їхніми оболонками:
— оболонка, яка вентилюється та містить тільки пускові опори двигуна та інше великогабаритне обладнання ІР10
— оболонка, яка вентилюється та містить інше обладнання /Р32
— оболонка, яку використовують у загальній промисловості ІР32,
ІР43 і ІР54
— оболонка, яка використовується в місцях очищення струменем води низького тиску (зі шланга) ІР55
— оболонка, яка захищає від тонкої пилюки ІР65
— оболонка, яка містить вузли з кільцями ковзання ІР2Х
Залежно від умов у місці установлення може бути доцільним застосовувати й інший ступінь захисту.
11.4 Оболонки, двері та отвори
Оболонки повинні бути сконструйовані з використовуванням матеріалів, спроможних протистояти механічним, електричним і тепловим навантаженням, а також впливу вологості, що можуть бути наявні в нормальних умовах експлуатування.
Запори, використовувані для закріплення дверей І кришок, повинні бути захоплювального типу. Вікна, що забезпечують огляд змонтованих усередині Індикаторних пристроїв, повинні бути з матеріалів, спроможних протистояти механічним навантаженням і хімічним впливам (наприклад, із тривкого скла, полікарбонатного листа завтовшки 3 мм).
Рекомендовано, щоб двері в оболонках були не ширше ніж 0,9 м і мали вертикальні петлі, переважно знімного типу, із кутом відчинення дверей не менше ніж 95°.
Стики або ущільнення дверей ковпаків, кришок і оболонок повинні протистояти хімічному впливу агресивних рідин, пари або газів, застосовуваних у машині. Засоби для зберігання ступеня захисту оболонки, які застосовують на дверях, ковпаках, кришках, що потрібно відчиняти або переміщати під час експлуатування або ремонтування, повинні:
— бути надійно прикріплені до дверей/кришки або до оболонки;
— не псуватися внаслідок руху або переміщення дверей чи кришки і не порушувати через це ступінь захисту.
Якщо отвори в оболонці передбачені (наприклад, для доступу до кабелю), зокрема ті, що вед уть до підлоги, фундаменту або до інших частин машини, вони повинні зачинятись конструктивно у такий спосіб, що гарантує ступінь захисту, необхідний для цього обладнання. Отвори для кабель-них. вводів повинні легко відчинятися на місці. В основі оболонки усередині машини можуть бути передбачені необхідні отвори для того, щоб волога, яка сконденсується, могла витікати назовні.
Не повинно бути отворів, що з’єднують оболонку в якій установлено електрообладнання, із єдностями, що містять охолоджувальні рідини, мастильні або гідравлічні рідини, або отворів, через які може проникнути олива, інші рідини або пил. Ці вимоги не висувають до електричних пристроїв, що спеціально створені для роботи в оливі (наприклад, електромагнітних муфт), і електрообладнання, у якому використовують охолоджувальну рідину.
Якщо в оболонці є отвори для монтажних цілей, потрібно подбати про те, щоб після монтування ці отвори не погіршували необхідний захист.
Обладнання, у якому за нормальних умов роботи або у разі відхилу від нормальних умов роботи температура поверхні може досягати рівня достатнього, щоб спричинити ризик загоряння або дпя шкідливого впливу на матеріал оболонки, повинно:
— бути розміщено усередині оболонки, що буде протистояти без ризику загоряння або шкідливого впливу таким температурам, що можуть виникнути; І
— бути змонтовано та розміщено на достатній відстані від суміжного обладнання так, щоб забезпечити безпечне розсіювання тепла (див. також 11.2,3); або
— бути в іншому випадку екрановано матеріалом, що може протистояти можливому загорянню або шкідливому впливу тепла, що його випромінює обладнання.
Примітка. За необхідності, можливе нанесення попереджувальних знаків відповідно до 16.2.2.
11.5 Доступ до апаратури керування
Дверцята в проходах для доступу в електричну робочу зону повинні;
— бути завширшки не менше ніж 0,7 м і заввишки не менше ніж 2,1 м;
— відчинятися назовні;
— мати засіб (наприклад, аварійні болти) для екстреного відчинення зсередини без ключа або інструменту.
Оболонки, в яких особа може повністю розміститися, повинні бути обладнані засобами для екстреного виходу, наприклад, аварійні болти на внутрішніх дверцях. Оболонки, призначені для такого доступу, наприклад, для перезапуску, регулювання або технічного обслуговування, повинні мати проходи завширшки не менше ніж 0,7 м і заввишки не менше ніж 2,1 м.
Прохід повинен бути завширшки не менше ніж 1,0 м, якщо:
— обладнання перебуває під напругою під час доступу; і
— струмопровідні частини не захищені,
вільна ширина повинна бути не менше ніж 1,0 м. Якщо обладнання розміщено на обох сторонах проходу, його вільна ширина повинна бути не менше ніж 1,5 м.
Примітка. Розміри проходів визначено стандартами серії ISO 14122.
12 ПРОВОДИ І КАБЕЛІ
12.1 Загальні вимоги
Проводи і кабелі повинні бути обрані так, щоб вони відповідали робочим умовам (наприклад, напрузі, струмові, захисту від ураження електричним струмом, сумісній прокладці кабелів) та зовнішнім впливам (наприклад, температурі навколишнього середовища, наявності води або агресивних речовин, механічним навантаженням (зокрема навантаженням під час прокладання), небезпеці загоряння), які можуть бути наявні.
Примітка. Додаткову інформацію наведено в CENELEC HD 516 S2.
Ці вимоги не поширюються на внутрішній електромонтаж вузлів і підвузлів, а також на пристрої, які виготовлені і випробувані згідно з відповідними стандартами ІЕС (наприклад, ІЕС 60439-1).
12.2 Проводи
Як правило, жила проводу повинна бути мідною. Якщо використовують алюмінієвий провід, то переріз повинен бути не менше ніж 16 мм2.
Щоб забезпечити достатню механічну міцність, переріз проводу не повинен бути менший, ніж подано в таблиці 5. Однак проводи меншого перерізу або інших конструкцій, ніж подано в таблиці 5, можуть бути використані в обладнанні, за умови достатньої механічної міцності та належного* функціонування, що досягається за допомогою інших засобів.
Примітка. Класифікацію проводів наведено в таблиці D.4.
Таблиця 5 — Мінімальні перерізи мідних проводів
|
Розташування |
Використання |
Типи проводу і кабелю |
|
Одножильний |
|
Багатожильний |
|
|
Гнучкий клас 5 або 6 |
Жорсткий клас 1 або клас 2 |
Дві жили в екрані |
Дві жили без екрана |
Три або більше жил в екрані або без екрана |
|
Проводка гоза оболонкою (захист) |
Силові кола (фіксований монтаж) |
1,0 |
1.5 |
0,75 |
0,75 |
0,75 |
|
|
Силові кола, що піддані до частих рухів |
1,0 |
— |
0,75 |
0,75 |
0,75 |
|
|
Кола керування |
1,0 |
1,0 |
0,2 |
0,5 |
0,2 |
|
|
Проводи для передавання даних |
— |
— |
— |
— |
0,03 |
|
Проводка
всередині
оболонки1) |
Силові кола (нерухомий монтаж) |
0,75 |
0,75 |
0,75 |
0,75 |
0,75 |
|
|
Кола керування |
0,2 |
0,2 |
0,2 |
0,2 |
0,2 |
|
|
Проводи для передавання даних |
— |
— |
— |
— |
0,08 |
Примітка. Усі перерізи в мм2,
1)За винятком спеціальних вимог до окремих стандартів, див. також 12.1.
Проводи класу 1 і класу 2 призначені в першу чергу для використання для жорстких з'єднань між нерухомими частинами.
Усі проводи, які схильні до частих рухів {наприклад, один рух за годину роботи машини), повинні мати гнучкі жили класу 5 або класу 6.
12.3 Ізоляція
Ізоляція може бути таких типів (але не обмежується ними):
— полівінілхлорид (PVC);
— гума натуральна або синтетична;
— силіконова гума (SiR);
— мінерали;
— поліетилен із поперечними волокнами (XLPE);
— етилено-пропіленова суміш (EPR).
Якщо ізоляція проводів і кабелів (наприклад, PVC) може створити небезпеку через поширення вогню або виділення токсичного чи агресивного газу, то рекомендовано проконсультуватися з постачальником кабелю. Потрібно звернути особливу увагу на цілісність кіл, що виконують функції безпеки.
Ізоляція кабелів і проводів, що їх використовують, повинна витримати випробувальну напругу:
— не менше ніж 2000 В змінного струму тривалістю 5 хв для кабелів, що працюють із напру-гою більше ніж 50 В змінного струму або 120 В постійного струму, або
— не менше ніж 500 В змінного струму тривалістю 5 хв для кіл PELV {див. ІЕС 60364-4-41, обладнання класу III).
Механічна міцність і товщина ізоляції повинні бути такі, щоб ізоляція не була пошкоджена в процесі експлуатування або під час прокладання, особливо для кабелів, що протягаються в коробах.
12.4 Струмопровідна спроможність у нормальних умовах експлуатування
Струмопровідна спроможність для проводів і кабелів залежить від кількох чинників, наприклад матеріалу ізоляції, числа проводів у кабелі, конструкції оболонки, методів прокладання, групування та температури навколишнього середовища.
Примітка 1. Детальну інформацію та додаткові вказівки можна знайти в ІЕС 60364-5-52 та в деяких національних стан-да ртак або її вказує виробник.
Один із типових прикладів зі струмопровідної спроможності для проводів з PVC ізоляцією, що їх прокладають між оболонками та окремими частинами обладнання у режимі, що установився, наведено в таблиці 6.
Примітка 2. Для спеціального застосування, коли необхідно коригувати розміри кабелю залежно від співвідношення мс« тривалістю циклу навантаження і термічної постійної кабелю (наприклад, у режимах роботи з інерційними масами або в коріткочасних режимах роботи), під час постачання потрібне узгодження з виробником кабелю.
Таблиця 6 — Приклади струмопровідної спроможності (Iz) для мідного проводу з PVC ізоляцією або кабелю в усталеному режимі за температури навколишнього середовища + 40 °С для різних способів прокладання
|
|
Спосіб прокладання (див. 0.1.2) |
|
В1 |
В2 |
С |
Е |
|
Площа поперечного перерізу, мм2 |
Струмопровідна спроможність Iz гдля трифазних кіл, А |
|
0,75 |
8,6 |
8,5 |
9,8 |
10,4 |
|
1,0 |
10,3 |
10,1 |
11,7 |
12,4 |
|
1,5 |
13,5 |
13,1 |
15,2 |
16,1 |
|
2,5 |
18,3 |
17,4 |
21 |
22 |
|
4 |
24 |
23 |
28 |
ЗО |
|
6 |
31 |
ЗО |
36 |
37 |
|
10 |
44 |
40 |
50 |
52 |
|
16 |
59 |
54 |
66 |
70 |
|
25 |
77 |
70 |
84 |
88 |
|
35 |
96 |
86 |
104 |
110 |
|
50 |
117 |
103 |
125 |
133 |
|
70 |
149 |
130 |
160 |
171 |
|
95 |
180 |
156 |
194 |
207 |
|
120 |
208 |
179 |
225 |
240 |
|
Електронні (пари) |
|
|
|
|
|
0,20 |
Не застосовують |
4,3 |
4,4 |
4,4 |
|
0,5 |
Не застосовують |
7,5 |
7,5 |
7,8 |
|
0,75 |
Не застосовують |
9,0 |
9,5 |
10 |
Примітка 1. Значення струмолровідної спроможності, наведені в таблиці 6, на:
— симетричні трифазні кола площею поперечного перерізу не менше ніж 0,75 мм2;
— пари в колах керування з площею поперечного перерізу від 0,2 мм2 до 0,75 мм2.
За більшої завантаженості кабелів/пар значення в таблиці 6 зменшують відповідно до таблиці D.2 або D.3.
Примітка 2. Для температури навколишнього середовища, відмінної від 40 °С, коригують значення струмолровідної спроможності, користуючись даними, наведеними в таблиці D.1.
Примітка 3. Ці значення не застосовують до гнучких кабелів, що намотуються на барабани (див. 12.6.3).
Примітка 4. Струмопровідну спроможність для інших кабелів, див. 1ЕС 60364-5-52.
12.5 Падіння напруги на проводі та кабелі
Падіння напруги від точки живлення до навантаження не повинно перевищувати 5 % від номінальної напруги за нормальних умов роботи. Для виконання цієї вимоги може бути необхідним застосовування проводу, що має більший переріз, ніж той, що зазначений у таблиці 6.
12.6 Гнучкі кабелі
12.6.1 Загальні положення
Гнучкі кабелі повинні мати проводи класу 5 або класу 6.
Примітка 1. Проводи класу 6 мають менший діаметр дротів і більш гнучкі, ніж проводи класу 5 (див. таблицю D.4).
Кабелі, які призначені для важких режимів роботи, повинні мати відповідну конструкцію для за хисту від:
— стирання під час механічних маніпуляцій і волочіння по шорсткій поверхні;
— утворення петель під час роботи без напрямних;
— напруження, що виникають від дії напрямних роликів і примусового напрямку під час намотування і перемотування на кабельний барабан.
Примітка 2. Кабелі для роботи в таких умовах зазначено у відповідних національних стандартах.
Примітка 3. Термін експлуатування кабелю буде знижено за несприятливих умов експлуатування, таких як надмірний натяг, малий радіус вигину, в іншій площині і/або за підвищеної частоти циклів.
12.6.2 Механічні характеристики
Кабельні системи машини повинні бути сконструйовані так, щоб розтягувальне напруження на проводах, яке виникає в процесі роботи, було якнайменшим. Якщо в кабелі застосовують мідні проводи, розтягувальне напруження проводів не повинно перевищувати 15 Н/мма. Якщо за умовами експлуатування розтягувальне напруження перевищує 15 Н/мм2, необхідно використовувати спеціальний кабель, максимально допустиме розтягувальне напруження якого повинно бути узгоджене з виробником кабелю.
Допустиме максимальне розтягувальне напруження для проводів гнучкого кабелю з жилами, виконаними не з міді, треба узгоджувати з виробником.
Примітка. На розтягувальне напруження проводів впливають такі умови:
— зусилля під час прискорення;
— швидкість переміщення;
— вага висячого кабелю;
— вид напрямних;
— конструкція кабельної системи барабана.
12.6.3 Струмопровідна спроможність кабелів, що намотуються на барабан
Кабелі, що намотуються на барабан, повинні складатися з проводів, що мають площу поперечного перерізу, щоб за повного намотування на барабані і з нормальним робочим навантаженням максимальна допустима температура проводів не перевищувала допустиму.
Для кабелів із круглим поперечним перерізом, що намотуються на барабан, максимальна струмопровідна спроможність на відкритому повітрі повинна бути зменшена відповідно до таблиці 7 {див, також розділ 44 ІЕС 60621-3).
Примітка. Струмопровідна спроможність кабелів на відкритому повітрі може бути зазначена в технічних умовах виробника або у відповідному національному стандарті.
Таблиця 7 — Коефіцієнти зниження для кабелів, намотаних на барабан
|
Тип барабана |
Кількість шарів кабелю |
|
Будь-яка кількість |
1 |
2 |
3 |
4 |
|
Циліндричний із вентилюванням |
|
0,85 |
0,65 |
0,45 |
0,35 |
|
Радіальний із вентилюванням |
0,85 |
— |
— |
— |
— |
|
Радіальний без вентилювання |
0,75 |
— |
— |
— |
— |
|
Примітка 1. На барабані радіального типу спіраль кабелю, що укладається, розміщується між близько розташованими фланцями; вважають, що барабан із суцільними фланцями невентильований, а коли у фланцях є отвори, то барабан евіжають вентильованим.
Примітка 2. Циліндричним барабаном з вентилюванням є барабан, в якому укладання кабелю виконують між широ-корозташованими фланцями, а барабан та фланці мають отвори для вентилювання.
Примітка 3. Рекомендовано узгоджувати коефіцієнти зниження з виробниками барабана та кабелю. Унаслідок цього може бути прийнято інший коефіцієнт зниження. |
12.7 Колекторні щітки та пластини, вузли з кільцями ковзання
12.7.1 Захист від прямого контакту
Колекторні щітки та пластини, вузли з кільцями ковзання повинні бути встановлені або за-криватися так, щоб у процесі нормального доступу до машини був забезпечений захист від прямого контакту з ними під час застосовування одного з таких заходів захисту:
— захист часткової ізоляції піднапругових частин або якщо це важко здійснити;
— захист оболонками або огорожами не менше ніж ІР2Х (див. 412.2 ІЕС 60364-4-41).
Верхні легкодоступні горизонтальні поверхні огорож та оболонок повинні забезпечувати ступінь
захисту не менше ніж ІР4Х (див. 412.2.2 ІЕС 60364-4-41).
Якщо необхідний ступінь захисту не може бути забезпечений, піднапругові частини необхідно розміщувати поза межами досяжності та застосовувати в поєднанні з аварійним вимиканням відповідно до 9.2.5.4.3.
Колекторні щітки та пластини необхідно розміщувати і/або захищати так, щоб:
— запобігати контакту, особливо незахищених колекторних щіток і пластин, зі струмопровід-ниш елементами, такими як тягова струна перемикача, натискний пристрій і приводні кола;
— запобігати пошкодженню від коливного навантаження.
12.7.2 Коло захисного проводу
Якщо колекторні щітки та пластини, вузли кільц ковзання є частиною кола захисту, то вони в нормальному режимі роботи не повинні пропускати струм. Тому кожний захисний провід (РЕ) і кожний нейтральний провід (N) повинні мати незалежну колекторну щітку та пластину або кільце ковзання. Безперервність кола захисного проводу, що використовує ковзний контакт, повинна гарантуватися вжиттям відповідних заходів (наприклад, дублюванням, струмозніманням, постійним контролюванням).
12.7.3 Струмові колектори захисного проводу
Форма або конструкція струмових колекторів захисного проводу повинна унеможливлювати взаємозамінність з іншими струмознімачами. Такі струмознімачі повинні бути ковзного контактного типу.
12.7.4 Пересувне струмознімання з функцією роз’єднання
Пересувне струмознімання, призначене для роз’єднання кіл, треба проектувати так, щоб коло захисного проводу переривалося тільки тоді, коли проводи піднапругових кіл вимкнені, і безперервність кола захисного проводу повинна відновитися до того, як буде увімкнено напругу на будь-яке піднапругове коло (див. також 8.2.4).
12.7.5 Повітряні проміжки
Проміжки між розташованими поруч проводами і суміжними вузлами струмознімальних щіток і пластин, кілець ковзання і їхніх колекторів повинні допускати номінальні імпульсні напруги і перенапруги категорії III відповідно до ІЕС 60664-1.
12.7.6 Довжина шляхів витоку
Довжина шляхів витоку між розташованими поруч проводами і суміжними вузлами струмозні-мальних щіток і пластин, кілець ковзання і їх струмових колекторів повинна відповідати вимогам для роботи у зовнішньому навколишньому середовищі, наприклад, на відкритому повітрі (ІЕС 60664-1), поза будівлями під час захисту оболонкою.
Для середовища з аномально підвищеною забрудненістю, вологістю або агресивністю в частині шляхів витоку чинні такі вимоги:
— незахищені струмознімальні щітки та пластини, контактні кільця ковзання повинні бути оснащені ізоляторами з мінімальною довжиною шляху витоку 60 мм;
— закриті струмознімальні щітки, ізольовані багатополюсні струмознімальні шини та ізольовані окремі струмознімальні шини повинні мати довжину шляхів витоку не менше ніж 30 мм.
Необхідно дотримуватись рекомендацій виробника щодо застосовування спеціальних заходів, ідо запобігають поступовому погіршенню ізоляції внаслідок впливу несприятливих умов навколишнього середовища (наприклад, відкладень струмопровідного пилу, хімічних впливів).
12.7.7 Секціонування систем проводів
Якщо струмознімальні щітки або пластини розташовані так, що вони можуть бути розділені на ізольовані секції, потрібно передбачити відповідні конструктивні заходи, що запобігають взаємному струмовому зв’язку між сусідніми секціями струмових колекторів,
12.7.8 Конструкція і монтаж струмознімальних щіток, набору колекторних пластин і вузлів із кільцями ковзання
Струмознімальні щітки та пластини, контактні кільця ковзання, що застосовують у силових колах, потрібно групувати окремо від тих, які застосовують для кіл керування.
Струмознімальні щітки та пластини, контактні кільця ковзання повинні без пошкоджень протистояти механічним зусиллям і тепловим впливам у разі струмів короткого замикання.
Знімні кришки для систем струмознімальних щіток і шин, які прокладені під землею або під підлогою, треба проектувати так, щоб їх не можна було відчинити однією особою без допомоги інструменту.
Якщо струмознімальні шини встановлені в спільній металевій оболонці, окремі секції оболонки повинні бути з’єднані між собою і під’єднані до проводу захисного з’єднання, з’єднаного в кількох точках, залежно від довжини секцій оболонки. Металеві кришки струмознімальних шин, що перебувають лід землею або під підлогою, повинні бути з'єднані разом між собою і під’єднані до проводу захисного з’єднання.
Коло захисту повинно містити кришки або накладки до металевих оболонок або коробів, що під підлогою. Якщо металеві петлі забезпечують необхідну безперервність, то їх безперервність повинна бути перевірена (див. розділ 18).
Підземні та розташовані під підлогою металеві короби для струмознімальних шин повинні мати дренажні пристрої.
13 МОНТАЖ ЕЛЕКТРОПРОВОДКИ
13.1 З’єднання і прокладання проводів
13.1.1 Основні вимоги
Усі з’єднання, особливо з'єднання в колі захисту, повинні бути забезпечені захистом від випадкового ослаблення.
Засоби з’єднання повинні відповідати поперечному перерізу і типу з’єднувальних проводів.
Приєднання двох або більше проводів до одного контактного затискача дозволено тільки в тих випадках, якщо контактний затискач розраховано на це. Тільки один захисний провід можна приєднувати до одного контактного затискача, що з’єднує точки.
Паяні з’єднання допускають тільки в тому випадку, якщо контактні затискачі передбачено до пайки.
Контактні затискачі, що в наборах контактних затискачів, треба чітко позначати або маркувати відповідно до схем.
Коли неправильне електричне з’єднання (наприклад, спричинене заміненням пристрою) може бути джерелом ризику і практично важко усунути під час проектування, щоб зменшити можливість неправильного під'єднаня, необхідно проводи і/або контактні затискачі ідентифікувати відповідно до 13.2.1.
Прокладання гнучких кабелепроводів і кабелів повинно бути таким, щоб було забезпечено виті кання рідини в місці з’єднання.
Повинні бути передбачені засоби утримання пучка проводів, якщо вони відсутні в приладах і контактних затискачах. Пайка для цієї мети не може бути застосована.
Кінці екранованих проводів треба під’єднати так, щоб уникнути розтріпування волокон і забезпечити легке роз’єднання.
Маркувальні етикетки повинні бути чіткі, довговічні і відповідати умовам навколишнього середовища.
Набори контактних затискачів повинні бути встановлені й під'єднані так, щоб внутрішнє і зовнішнє розведення проводів унеможливлювало перетинання над контактними затискачами (див. ІЕС 60947-7-1).
13.1.2 Прокладання проводів і кабелів
Проводи і кабелі треба прокладати від одного контактного затискача до іншого контактного затесана без зрощування або проміжних з’єднань. З'єднання з використанням штепсельного розніму з відповідним захистом від випадкового від'єднання не вважають з'єднанням для цілей цього підрозділу.
Виняток: У разі неможливості установлення контактних затискачів у розподільній коробці (наприклад, на рухомих машинах, на машинах, що мають довгі гнучкі кабелі; кабельні з’єднання, що перевищують довжину, що практично постачає виробник кабелю на одному кабельному барабані; або ремонту кабелю через механічні пошкодження під час установлення та експлуатування), допустимо зрощення або проміжне з’єднання.
Якщо необхідно з’єднувати і роз'єднувати кабелі й групи кабелів, то для цієї мети має бути передбачено достатню додаткову довжину.
Кінці кабелів у місці приєднання повинні бути закріплені так, щоб уникнути механічних навантажень у кінцях проводів.
Скрізь, де це можливо, захисний провід варто прокладати поруч Із пов'язаними до нього підна-пруговими проводами для того, щоб зменшити повний опір контуру.
13.1.3 Проводи різноманітних кіл
Проводи різноманітних кіл можна прокладати поруч, можна об’єднувати в одному коробі (наприклад, кабелепроводі, кабеленосній конструкції) або можна розміщувати в багатожильному кабелі так, щоб їхнє розташування не заважало виконанню основних функцій відповідними колами. Якщо кола перебувають під різними напругами, то проводи цих кіл повинні просторова розділятися відповідними огорожами або ізоляція проводів усіх кіл повинна відповідати найбільшій напрузі, яка може бути в коробі (наприклад, лінійна напруга для неуземлених систем І фазна напруга для уземлених систем).
13.1.4 З’єднання між струмоприймачем та приєднаним до нього перетворювачем у індукційній електропостачальній системі
Кабель струмоприймача та приєднаним до нього перетворювачем у індукційній електропостачальній системі має бути:
— коротким, наскільки це можливо;
— мати відповідний захист від механічних впливів.
Примітка. Якщо вихідний сигнал струмоприймача струмовий, то порушення кабелю можуть призвести до підвищеної небезпечної напруги.
13.2 Ідентифікація проводів
13.2.1 Загальні вимоги
Кожен провід повинен бути ідентифікований у кожному із контактних затискачів відповідно до технічної документації (див. розділ 17).
Рекомендовано (наприклад, для полегшення технічного обслуговування), щоб проводи були ідентифіковані цифрами, буквено-цифровим методом або кольором (або за допомогою одної або кількох маркувальних смуг), або поєднанням кольорів і цифр чи буквено-цифровим методом.
Якщо використовують цифровий метод, то рекомендовано застосовувати арабські цифри, якщо буквений, то рекомендовано застосовувати латинські букви (заголовні або прописні).
Примітка. Для узгодження методів Ідентифікації проводів між постачальником і споживачем рекомендовано керуватися додатком В.
13.2.2 Ідентифікація захисного проводу
Захисний провід повинен бути легко розпізнаваним за формою, розташуванням, маркуванням або кольором. Якщо ідентифікацію виконано кольором, за всією довжиною проводу треба використовувати поєднання кольорів ЗЕЛЕНОГО-ТА-ЖОВТОГО. Такий ідентифікаційний колір зберігається винятково для захисного проводу.
Для ізольованих проводів двоколірне поєднання ЗЕЛЕНИЙ-ТА-ЖОВТИЙ здійснюють так, щоб кожні 15 мм довжини було покрито не менше ніж ЗО % і не більше ніж 70 % одним кольором, а іншу частину поверхні — іншим кольором.
Якщо захисний провід може бути легко ідентифікований за формою, розташуванням або конструкцією (наприклад, провід в обплетенні, неізольований багатожильний), або коли ізольований провід важкодоступний, кодування кольором за всією його довжиною необов’язково, але його кінці або доступні місця повинні бути чітко позначені графічним символом ІЕС 60417-5019 (DB:2002-10) або двоколірним поєднанням ЗЕЛЕНОГО-ТА-ЖОВТОГО.
13.2.3 Ідентифікація нейтрального проводу
Якщо коло містить нейтральний провід, який ідентифікується самостійно кольором, його колір повинен бути БЛАКИТНИМ. Для того щоб уникнути плутанини з іншими кольорами, рекомендовано використовувати «світло-блакитний» колір (див. 3.2.2 ІЕС 60446). Там, де цей колір використано для ідентифікацій нейтрального проводу, його не потрібно використовувати для позначення інших проводів, якщо це може призвести до плутанини.
Якщо використовують ідентифікацію кольором, а нейтральний провід виконано у вигляді шини, його треба фарбувати смугою завширшки від 15 мм до 100 мм у межах кожного відсіку або блока чи кожної доступної ділянки або фарбувати за всією його довжиною.
13.2.4 Ідентифікація кольором
Якщо колірне кодування використовують для ідентифікування проводів [крім захисного проводу (див. 13.2.2) і нейтрального проводу (див. 13.2.3)], то треба застосовувати такі кольори:
ЧОРНИЙ, КОРИЧНЕВИЙ, ЧЕРВОНИЙ, ОРАНЖЕВИЙ, ЖОВТИЙ, ЗЕЛЕНИЙ, БЛАКИТНИЙ (зокрема СВІТЛО-БЛАКИТНИЙ), ФІОЛЕТОВИЙ, СІРИЙ, БІЛИЙ, РОЖЕВИЙ, БІРЮЗОВИЙ.
Примітка. Перелік кольорів згідно з ІЕС 60757.
Коли колір використовують для ідентифікування, рекомендовано використовувати колір по всій довжині проводу або за кольором ізоляції, або кольоровими маркерами з регулярними інтервалами і на кінцях, або в доступному місці.
У цілях безпеки кольори ЗЕЛЕНИЙ і ЖОВТИЙ не потрібно використовувати, якщо існує можливість сплутати їх із двоколірним поєднанням ЗЕЛЕНИЙ-ТА-ЖОВТИЙ (див. 13.2.2).
Колірну ідентифікацію за допомогою поєднання цих кольорів, що перераховано вище, може бути використано за умови, якщо не може бути ніякої плутанини і якщо не використовують ЗЕЛЕНИЙ або ЖОВТИЙ кольори окремо, а тільки в двоколірному поєднанні ЗЕЛЕНИЙ-ТА-ЖОВТИЙ.
Коли використовують колірне кодування для ідентифікування проводів, рекомендовано, щоб вони мали таке колірне кодування:
ЧОРНИЙ: для силових кіл змінного і постійного струму;
ЧЕРВОНИЙ: для кіл керування змінного струму;
БЛАКИТНИЙ: для кіл керування постійного струму;
ОРАНЖЕВИЙ: для особливих кіл відповідно до 5.3.5.
Винятки: щодо вищевказаного, коли:
— застосовано ізоляцію, яка не має рекомендованого кольору; або
— застосовано багатожильний кабель, за винятком проводу з двоколірним поєднанням ЗЕЛЕНИЙ-ТА-ЖОВТИЙ.
13.3 Проводка усередині оболонки
Розташовані всередині оболонки проводи повинні, у разі необхідності, фіксуватися на своє-52
му місці. Використання неметалевих коробів має бути дозволено тільки у випадку, якщо вони виготовлені з вогнезахисних ізоляційних матеріалів (див. серію ІЕС 60332).
Установлюване всередині оболонок електрообладнання рекомендовано розробляти і виготов-ляти так, щоб була можливість проводити зміни в електропроводці з фронтальної частини обо-лонки (див. також 11.2.1). Якщо це неможливо і якщо пристрої керування поєднані із задньої сторони оболонки, необхідно передбачити дверцята або монтажні поворотні панелі.
Під’єднувати пристрої, установлені на дверцятах або на інших рухомих частинах, потрібно за допомогою гнучких проводів відповідно до 12.2 та 12.6, які не повинні перешкоджати частому переміщенню цих частин. Проводи треба кріпити до нерухомої частини і рухомої частини незалежно Біоелектричних з’єднань (див. також 8.2.3 і 11.2.1).
Проводи та кабелі, що не прокладені в короби, повинні бути закріплені відповідним чином.
Для переходів монтажу проводки керування, що за межами оболонки, треба використовувати блоки контактних затискачів або штепсельні розніми. Для штепсельних рознімів див. також 13.4.5 і 13.4.6.
Силові кабелі і кабелі вимірювальних кіл можуть бути безпосередньо приєднані до контактних затискачів пристроїв, для з’єднання яких їх призначено.
13.4 Проводка поза оболонкою
13.4.1 Загальні вимоги
Спосіб запровадження кабелів або коробів з їхніми індивідуальними сальниками, втулками тощо в оболонку повинен гарантувати зберігання ступеня захисту (див. 11,3),
13.4.2 Зовнішні короби
Проводи і їх з’єднання, що розташовують зовні оболонки(-ок) електрообладнання, повинні бути прокладені в коробі (тобто кабелепроводі або кабелепідтримувальній конструкції), як описано в 13.5, за винятком відповідним чином захищених кабелів, які можна прокладати без захисного короба з використанням або без використання відкритих кабельних лотків чи кабельних опорних засобів. Коли такі пристрої, як датчики положення або безконтактні перемикачі, що їх поставляють зі спеціальним кабелем, призначеним для цієї мети, можливо коротким за довжиною і який не повинен бути прокладений в коробі, щоб звести до мінімуму ризик від пошкоджень.
Арматура, використовувана з коробами або багатожильними кабелями, повинна бути пристосована до умов навколишнього середовища.
У разі необхідності, для виконання гнучких з’єднань із підвісними кнопковими пультами необхідно використовувати гнучкий короб або гнучкий багатопровідний кабель. Підвісні кнопкові пульти повинні утримуватися на вазі не за рахунок гнучкого кабелепроводу або багатопровідного кабелю, а за допомогою інших засобів, крім випадків, коли короб або кабель спеціально призначені для цієї мети.
13.4.3 Приєднання до рухомих частин машини
Приєднання до частин, що часто переміщуються, повинно бути виконано за допомогою проводів, передбачених для цієї мети, відповідно до 12.2 і 12.6. Прокладання гнучких кабелів і кабе-лепроводів не повинне допускати надмірного вигину і навантаження, особливо біля арматури.
Кабелі, призначені для переміщень, повинні бути встановлені так, щоб вилучати різкий вигин і механічні навантаження в точках з'єднання. Якщо це досягається за допомогою використання петель, кабель повинен мати достатню довжину, щоб забезпечувати радіус вигину, що перевищує в 10 разів діаметр самого кабелю.
Гнучкі кабелі машин повинні бути прокладені або захищені так, щоб звести до мінімуму можливість отримання ними зовнішніх пошкоджень, що виникають унаслідок чинників, які охоплюють наступне використання кабелю або потенційні порушення:
— наїзду на кабель самої машини;
— наїзду на кабель транспортних засобів або інших машин;
— вступаючи у контакт з елементами машини в процесі руху;
— входячи і виходячи із кабельного кошика або кабельного барабана;
— перебуваючи у гірлянді або на підвісці, зазнаючи впливу вітру або сил прискорення;
— надмірного тертя об кабельний колектор;
— зазнаючи впливу від надмірного випромінювання тепла.
Оболонка кабелю повинна бути стійкою до звичайного зношення, яке може бути внаслідок пере-мыщень і впливу атмосферних забруднень (наприклад оливи, води, охолоджувальної рідини, пилюки).
Якщо кабелі, що переміщуються, розташовують у безпосередній близькості від рухомих частин необхідно передбачити зазор не менше ніж 25 мм між рухомими частинами і кабелями. Коли необхідний зазор не може бути забезпечений між кабелями і рухомими частинами, повинні бути встановлені фіксовані огорожі.
Система маніпулювання кабелем повинна бути спроектована так, щоб кут скручування кабельне перевищував 5°, якщо кабель:
— намотується чи змотується з кабельного барабана; і
— наближається і віддаляється до кабельних напрямних пристроїв.
Треба вжити заходів, які гарантують, що принаймні два витки гнучкого кабелю завжди залишаються на барабані.
Пристрої для направлення та утримання гнучкого кабелю повинні бути спроектовані так, щоб внутрішній радіус вигину в усіх точках вигину був не менше розмірів, наведених у таблиці 8, якщо немає іншої угоди з виробником кабелю, з урахуванням допустимого натягу й очікуваного терміну служби від утомленості.
Таблиця 8 — Мінімально допустимий радіус вигину для примусово вигнутих гнучких кабелів
|
Застосовування |
Діаметр кабелю або товщина плоского кабелю d, мм |
|
d <=8 |
8 < d < 20 |
d> 20 |
|
Кабельний барабан |
6 d |
6 d |
8d |
|
Напрямні ролики |
6 d |
8 d |
8 d |
|
Гірлянда |
6d |
6 d |
8 d |
|
Інше |
6d |
6 d |
3d |
Довжина прямої ділянки між двома вигинами S-подібної форми повинна становити не менше ніж 20 разів діаметра кабелю.
Якщо гнучкий кабелепровід прилягає до рухомих частин, конструкції і підтримувальні засоби повинні запобігати пошкодженню гнучкого кабелепроводу за будь-яких умов роботи.
Гнучкий кабелепровід не можна застосовувати для швидких або частих рухів, якщо його спеціально не розроблено для цих цілей.
13.4.4 З'єднання пристроїв на машині
Коли кілька комутувальних пристроїв змонтовані на машині (наприклад, позиційні датчики, кнопкові вимикачі) і з'єднані послідовно або паралельно, рекомендовано, щоб з’єднання між цими пристроями здійснювалися через контактні затискачі, що мають проміжні контрольні точки. Такі контактні затискачі повинні бути зручно розташовані, належним чином захищені і позначені на відповідних схемах.
13.4.5 Штепсельні розніми
Під час використання штепсельних рознімів потрібно виконувати одну або кілька таких вимог залежно від обставин:
Виняток: наступні вимоги не застосовують до елементів та пристроїв, що містяться всередині оболонок, що закінчуються штепсельним рознімом (гнучкий кабель), або компонентів, під’єднаних до системи шин штепсельним рознімом.
a) Під час установлення відповідно до f) штепсельний рознім повинен бути такого типу, щоб унеможливити ненавмисний контакт із піднапруговими частинами у будь-який момент, зокрема під час змикання і розмикання розніму. Ступінь захисту повинен бути не менше ніж ІРХХВ. До кіл PELV ці вимоги не застосовують;
b) якщо використовують системи живлення із уземленням типу TN або ТТ, має відбуватися останнє переривання контакту захисного з’єднання (уземлювальний контакт) (див. також 6.3 і 8.2.4.);
є) штепсельні розніми, призначені для вмикання або розмикання під навантаженням, повинні мати відповідну комутаційну здатність. Коли штепсельний рознім розрахований на ЗО А або більше, він повинен бути зблокованим із комутувальним пристроєм так, щоб змикання або розмикання було можливе тільки в положенні комутувального пристрою «ВИМКНЕНО».
d) штепсельні розніми, що розраховані на струм більше ніж 16 А, повинні мати утримувальні засоби для запобігання ненавмисному або випадковому розмиканню;
e) якщо ненавмисне або випадкове розмикання штепсельного розніму може спричинити небезпечну ситуацію, штепсельні розніми повинні мати утримувальні засоби.
Під час монтування штепсельних рознімів необхідно виконувати такі вимоги щодо застосування:
f) компоненти, які залишаються під напругою після роз’єднання, повинні мати ступінь захисту не менше ніж ІР2Х або ІРХХВ, забезпечуючи таким чином необхідний зазор і шляхи витоку. До кіп PELV ці вимоги не застосовують;
д) металеві корпуси штепсельних рознімів повинні бути з'єднані з колом захисту. До кіл PELV ці вимоги не застосовують;
h) штепсельні розніми, що не призначені для роз’єднання під час навантаження, повинні мати ут римувальні засоби для запобігання ненавмисному або випадковому роз’єднанню і повинні бути чітко позначені, що вказує, що вони не призначені для роз’єднання під навантаженням;
i) якщо в електрообладнанні встановлено більше одного штепсельного розніму, усі вони по-винні бути чітко ідентифіковані. Рекомендовано застосовувати механічне кодування для усунення помилкового з'єднання;
j) штепсельні розніми, що використовують у колах керування, повинні відповідати вимогам ІЕС 61984. Виняток: див. пункт к);
k) штепсельні розніми, що призначені для приладів побутового або аналогічного загального призначення, не потрібно використовувати в колах керування. У штепсельних рознімах, що відповідають ІЕС 60309-1, у колах керування можуть бути використані тільки ті контакти, які призначені для цих цілей.
Виняток: вимоги пункту к) не застосовують для керування функціями за допомогою високочастотних сигналів для силового живлення.
13.4.6 Демонтаж для транспортування
Якщо для транспортування необхідно роз'єднувати проводи, то в точках роз’єднання електричних кіл повинні бути передбачені контактні затискачі або штепсельні розніми. Такі контактні затискачі повинні бути відповідно закриті, а штепсельні розніми захищені від впливу навколишнього середовища під час транспортування і зберігання.
13.4.7 Додаткові проводи
Має бути передбачено додаткові проводи для обслуговування і ремонтування. Коли додаткові проводи передбачені, вони повинні бути під’єднані до резервних контактних затискачів або ізольовані так, щоб унеможливити контакт із піднапруговими частинами.
13.5 Короби, з’єднувальні й інші коробки
13.5.1 Основні вимоги
Короби повинні забезпечувати ступінь захисту відповідно до вимог (див. ІЕС 60529).
Усі гострі крайки, задирки, грат, шорсткість поверхні або нарізі, з якими може контактувати ізоляція проводів, повинні бути видалені з коробів і арматури. Якщо необхідно, треба застосовувати додатковий захист, що містить вогнетривкі та оливостійкі ізоляційні матеріали, які забезпечують захист ізоляції проводів.
у кабелелідтримувальних конструкціях, з’єднувальних та інших коробках, використовуваних для монтування проводів, дозволено передбачати дренажні отвори діаметром 6 мм у місцях, де можуть збиратися олива й волога.
Для того щоб не плутати електропроводку з трубопроводами для оливи, повітря або води, рекомендовано фізично їх розділяти або відповідним чином ідентифікувати.
Короби й кабельні лотки повинні мати жорсткі опори і бути розташовані на достатній відстані від рухомих частин, щоб звести до мінімуму можливість пошкодження або зношеність. У місцях, де необхідний прохід людей, короби і кабельні лотки треба монтувати на висоті не менше ніж 2 м над робочою площадкою.
Короби повинні забезпечувати тільки механічний захист (див. 8.2.3 для вимог щодо з’єднання з колом захисту).
Кабельні лотки, які захищені лише частково, не розглядають як короби або кабелепідтриму-вальні конструкції (див. 13.5.6), та кабелі, що прокладають у них, повинні бути типу, придатного для прокпадання з використанням або без використання відкритих кабельних лотків чи опорних засобів.
13.5.2 Відсоткове заповнення коробів
Відсоткове заповнення коробів повинно ґрунтуватися на прямолінійності й довжині коробів і гнучкості проводів. Рекомендовано, щоб розташування і розміри коробів давали змогу легко прокладати в них проводи та кабелі.
13.5.3 Жорсткий кабелепровід і арматура
Жорсткі металеві кабелепроводи та арматура повинні бути виготовлені зі сталі з гальванічним покриттям або з корозійнотривкого матеріалу, що відповідає умовам експлуатування. Застосовування різних металів, контакт між якими може стати причиною виникнення гальванічної реакції, повинно бути унеможливлено.
Кабелепроводи повинні надійно утримуватися на місці установлення й кріпитися в кінцях.
Арматура повинна бути сумісна з кабелепроводом і відповідати умовам експлуатування. Ар-м атура повинна мати наріз, за винятком випадків, коли це ускладнює збирання. Якщо застосовують арматуру без нарізу, кабелепровід треба надійно закріплювати на обладнанні.
Вигин кабелепроводу має бути виконано так, щоб у місці вигину кабелепровід не пошкоджувався і щоб внутрішній діаметр кабелепроводу суттєво не зменшувався.
13.5.4 Гнучкий металевий кабелепровід і арматура
Гнучкий металевий кабелепровід має складатися з гнучких металевих трубок або проволок із броньованою плетінкою. Він має бути придатний для застосовування в очікуваному навколишньому середовищі.
Арматура має бути сумісна з кабелепроводом і відповідати умовам експлуатування.
13.5.5 Гнучкий неметалевий кабелепровід і арматура
Гнучкий неметалевий кабелепровід має бути стійкий до скручування і повинен мати фізичні характеристики, подібні оболонкам багатожильних кабелів.
Кабелепровід має бути придатний для застосовування в очікуваному навколишньому середовищі.
Арматура має бути сумісна з кабелепроводом і відповідати умовам експлуатування.
13.5.6 Кабелепідтримувальні конструкції
Кабелепідтримувальні конструкції, розташовані поза оболонкою, повинні бути надійно закріплені й віддалені від усіх рухомих або забруднених частин машини.
Кришки мають бути за формою такі, щоб перекривати сторони; дозволено встановлення прокладок. Кришки треба прикріплювати до кабелепідтримувальних конструкцій за допомогою відповідних засобів. На дні горизонтально встановлених кабелепідтримувальних конструкцій не повинно бути кришок, які спеціально не призначені для такого встановлення.
Примітка. Вимоги до кабелепідтримувальних конструкцій та коробів для прокладання в електроустановках наведено в серії ІЕС 61084.
Якщо кабелепідтримувальна конструкція виконана секційно, з’єднання між секціями повинні бути щільно зігнуті, але використовування ущільнень необов’язково.
Отвори дозволено тільки за вимогами монтажу або дренажу. Кабелепідтримувальні конструкції не повинні мати відкритих отворів, які не використовують.
13.5.7 Відсіки машини і кабелепідтримувальні конструкції
Використовування відсіків або кабелепідтримувальних конструкцій усередині колон або станині машини для прокладання проводів дозволено за умови, що вони будуть ізольовані від охолоджувальних або сливових резервуарів і будуть повністю закриті. Проводи, прокладені в закритих відсіках і кабелепідтримувальних конструкціях, повинні бути розміщені й закріплені так, щоб унеможливити їх пошкодження.
13.5.8 З’єднувальні та інші коробки
З'єднувальні та інші коробки, використовувані для монтування проводів, повинні бути легко-56
д осгупні для обслуговування. Ці коробки повинні забезпечувати захист від проникнення твердих предметів і рідин з урахуванням зовнішніх впливів, на які розрахована робота машини (див. 11.3).
Ці коробки не повинні мати невикористаних відкритих отворів або інших щілин і повинні бути сконструйовані так, щоб не допускати проникнення усередину пилу, летких речовин, оливи й охолоджувальної рідини.
13.5.9 Приєднувальні коробки електродвигунів
Приєднувальні коробки двигунів повинні закривати тільки приєднання до двигуна і пристроїв, що монтуються на ньому (наприклад, гальм, температурних датчиків, штепсельних вимикачів, тахогенераторів).
14 ЕЛЕКТРОДВИГУНИ І ПОВ’ЯЗАНЕ З НИМИ ОБЛАДНАННЯ
14.1 Загальні вимоги
Електродвигуни мають відповідати вимогам відповідних частин серії ІЕС 60034-1.
Вимоги до захисту двигунів і пов'язаного з ними обладнання наведено в 7.2 для захисту від надструму, в 7.3 — від перевантаження, в 7.6 — від перевищення швидкості.
Багато керувальних пристроїв не від’єднують живлення двигуна в нерухомому стані, тому треба вжити заходів, що забезпечують виконання вимог 5.3, 5.4, 5.5, 7.5, 7.6 і 9.4. Обладнання для керування двигунами треба розміщати й монтувати відповідно до розділу 11.
14.2 Оболонки двигунів
Рекомендовано оболонки двигунів вибирати з наведених в ІЕС 60034-5.
Ступінь захисту повинен бути не менше ніж ІР23 (див. ІЕС 60529) для всіх двигунів. Більш жорсткі вимоги можуть знадобитися залежно від умов експлуатування й навколишнього середо-ви та (див. 4.4). Двигуни, що долучені як складові частини машини, повинні бути змонтовані так, щоб бути належно захищеними від механічної поломки.
14.3 Розміри двигунів
Наскільки це можливо, розміри двигунів мають відповідати вимогам серії стандартів ІЕС 60072.
14.4 Монтаж двигунів і відсіки
Кожний двигун і пов’язані з ним муфти, ремені й шківи або шестерні повинні бути змонтовані так, щоб бути відповідно захищеними і легкодоступними для огляду та технічного обслуговування, регулювання і центрування, змащення і замінення. Монтаж двигуна повинен бути таким, щоб була забезпечена можливість знімання всіх засобів кріплення і доступ до всіх контактних затискачів приєднувальних коробок.
Двигуни треба монтувати так, щоб забезпечувалося необхідне для них охолодження, а температура нагрівання перебувала в межах, допустимих для цього класу ізоляції (див. ІЕС 60034-1).
За можливості, відсіки двигуна мають бути чисті й сухі і, якщо потрібно, вентилюватися безпосередньо назовні машини. Вентиляційні отвори мають бути такі, щоб потрапляння стружки, пилу або водяних бризок перебувало в допустимих межах.
Моторний відсік не повинен сполучатися з іншими відсіками, що не відповідають вимогам, висунутим до моторного відсіку. Якщо трубопровід або трубка входить у моторний відсік з іншого відсіку, що не відповідає цим вимогам, усі зазори навколо трубопроводу або трубки необхідно загерметизувати.
14.5 Критерії вибирання двигунів
Характеристики двигунів і пов’язаного з ними обладнання треба вибирати відповідно до очікуваних умов експлуатування й умов навколишнього середовища (див. 4.4). Під час вибирання двигунів необхідно врахувати такі параметри:
— тип електродвигуна;
— тип робочого циклу (див. ІЕС 60034-1);
— роботу з постійною або змінною швидкістю (і, відповідно, змінні умови вентиляції);
— механічні вібрації;
— тип пристрою керування електродвигуном;
— вплив спектра гармонік напруги і/або струму, що живлять двигун (особливо, коли він живиться від статичного перетворювача), на підвищення температури;
— спосіб пуску і можливі впливи пускового струму на роботу інших споживачів, того самого джерела живлення, з урахуванням можливих особливих вказівок організації з електропостачання;
— зміни навантаження крутного протидієвого моменту залежно від часу і від швидкості;
— вплив навантаження з великим моментом інерції;
— особливості роботи з постійним крутним моментом або постійною потужністю;
— можливу потребу в наявності індуктивних реакторів між двигуном і перетворювачем.
14.6 Захисні пристрої для механічних гальм
Спрацьовування захисних пристроїв унаслідок перевантаження або надструму в приводах механічного гальма повинно негайно спричинити від'єднання енергії (розімкнення) в пов'язаних з ними приводами машини.
Примітка. Пов'язані приводи машини — це ті, що пов'язані з тим самим рухом, наприклад, кабельний барабан і тяговий привід.
15 ОБЛАДНАННЯ ТА ОСВІТЛЕННЯ
15.1 Обладнання
Коли машина або пов’язане з нею обладнання оснащені штепсельними розетками, призначеними для під’єднання допоміжного обладнання (наприклад, ручного інструменту, випробувального обладнання), треба дотримуватися таких вимог:
— штепсельні розетки мають відповідати ІЕС 60309-1. Там, де це неможливо, вони повинні були чітко промарковані із зазначенням номінальних значень напруги і струму;
— безперервність кола захисту в штепсельній розетці має бути забезпечена, за винятком випадків, коли захист забезпечується за допомогою PELV;
— усі неуземлені проводи в штепсельній розетці мають бути захищені від надструму, а якщо потрібно — і від перевантаження відповідно до 7.2 і 7.3, незалежно від захисту інших кіл;
— якщо джерело живлення штепсельної розетки не від’єднається пристроєм вимикання живлення машини або частини машини, застосовують вимоги 5.3.5.
Примітка 1. Див. також додаток В.
Примітка 2. Кола штепсельних розеток можуть бути оснащені пристроями захисту від витоку струмів (RCDs).
15.2 Місце освітлення машини і обладнання
15.2.1 Загальні положення
З’єднання з колом захисту має бути виконано відповідно до 8.2.2.
Вимикач ВМИКАННЯ/ВИМИКАННЯ не повинен бути вмонтований у патрон лампи або в гнучкий з’єднувальний шнур.
Стробоскопічних ефектів від освітлення треба уникати за допомогою застосовування відповідних світильників.
Коли усередині оболонки встановлене стаціонарне освітлення, бажано враховувати електромагнітну сумісність, використовуючи принципи, зазначені в 4.4.2.
15.2.2 Живлення
Номінальна напруга кіл місцевого освітлення не повинна перевищувати 250 В між проводами. Рекомендовано, щоб напруга не перевищувала 50 В між проводами.
Кола освітлення повинні живитися від одного з таких джерел (див. також 7.2.6), як:
— спеціалізований ізолювальний трансформатор, що з’єднаний з боку підведення навантаження до пристрою від’єднання. Повинно бути передбачено захист від надструму у колі вторинної обмотки;
— спеціалізований ізолювальний трансформатор, що з’єднаний з боку лінії підведення живлення до пристрою від’єднання. Таке джерело повинно бути призначено для обслуговування кіл освітлення тільки в оболонках керування. Повинно бути передбачено захист від надструму в колі вторинної обмотки (див. також 5.3.5 і 13.1.3);
— кола машини зі спеціалізованим захистом від надструму;
— ізолювальний трансформатор, під'єднаний з боку лінії підведення живлення до пристрою від’єднання, оснащений спеціалізованим засобом від'єднання (див. 5.3.5) та захистом від надстру-му вторинної обмотки, і встановлений в оболонці керування, біля пристрою, що вимикає живлен-ня (див. також 13.1.3);
— зовнішнє живлення кіл освітлення (наприклад, заводське живлення освітлення). Це дозволено застосовувати тільки в оболонках керування і для робочого освітлення машин, коли загальна потужність не перевищує 3 кВт.
Виняток: якщо стаціонарне освітлення в процесі нормального експлуатування розташовано поза досяжністю оператора, положення цього підрозділу не враховують.
15.2.3 Захист
Кола місцевого освітлення повинні бути захищені відповідно до 7.2.6.
15.2.4 Арматура
Регульована освітлювальна арматура має бути придатна для експлуатування в цьому навколишньому середовищі.
Патрони повинні:
— відповідати належним стандартам ІЕС;
— бути виготовлені з ізоляційного матеріалу, що захищає цоколь лампи від ненавмисного дотику.
Відбивачі потрібно кріпити на освітлювальній арматурі, а не на патроні.
Виняток: якщо стаціонарне освітлення в процесі нормального експлуатування розташовано поза досяжністю оператора, положення цього підрозділу не враховують.
16 МАРКУВАННЯ, ЗАСТЕРЕЖНІ ЗНАКИ ТА УМОВНІ ПОЗНАКИ
16.1 Загальні положення
Застережні знаки, фірмові таблички, марковані й ідентифікаційні таблички мають бути достатньо довговічні й стійкі до впливу навколишнього середовища.
16.2 Застережні знаки
16.2.1 Небезпека від ураженням електричним струмом
Оболонки, у яких чітко не позначено, що вони містять електрообладнання, яке може призвести до виникнення ризику ураження електричним струмом, мають бути помарковані графічним символом згідно з ІЕС 60417-5036 (DB:2002-10).
Застережний знак повинен бути добре видним на дверцятах або на кришці оболонки. Застережний знак не обов’язковий (див. також 6.2.2 Ь)) для:
— оболонки, що оснащена пристроєм вимикання живлення;
— пульта в інтерфейсу оператор-машина або пульта керування;
— одиночного пристрою з власною оболонкою (наприклад, позиційний датчик).
16.2.2 Небезпека від гарячих поверхонь
Якщо оцінка ризику вказує на наявність небезпечного нагрівання поверхні електрообладнан ня, то повинно бути використано графічний символ ІЕС 60417-5041 (DB:2002-10).
Примітка. Для електроустановок цей захід розглядають в ІЕС 60364-4-42, розділ 423 і таблиця 42 А.
16.3 Функціональна ідентифікація
Пристрої керування, візуальні індикатори й дисплеї (особливо стосовно безпеки) мають бути чітко і надійно помарковані відповідно до функцій, які вони виконують. Таке маркування може бути узгоджене між споживачем і постачальником обладнання (див. додаток В). Бажано віддавати перевагу стандартним символам, наведеним в ІЕС 60417DB:2002 та ISO 7000.
16.4 Маркування обладнання
Обладнання (наприклад, комплектна апаратура керування) повинно мати чітке І стійке марко-вання, щоб його було чітко видно після того, як обладнання встановлено. Скрізь, поруч із місцем підведення живлення до оболонки, треба кріпити табличку з такими даними:
— назва або торгова марка постачальника;
— сертифікаційний знак, якщо це потрібно;
— номер серії, якщо такий є;
— номінальна напруга, кількість фаз і частота (для змінного струму) і повний споживаний струм для кожного джерела живлення;
— номінальний струм короткого замикання для обладнання;
— номер основного документа (див. ІЕС 62023).
Споживаний струм, що зазначений на табличці, повинен бути не менше ніж струм, який споживається усіма двигунами й іншим обладнанням, що може працювати одночасно в нормальних умовах експлуатування.
Якщо застосовують тільки один пристрій керування тільки одним електродвигуном, таку інформацію може бути наведено на табличці машини, де її добре видно.
16.5 Умовні познаки
Усі оболонки, вузли, пристрої керування та компоненти повинні бути чітко визначені з тими самими умовними познаками, наведеними в технічній документації.
17 ТЕХНІЧНА ДОКУМЕНТАЦІЯ
17.1 Загальні положення
Інформацію, необхідну для установлення, експлуатування й технічного обслуговування електрообладнання машини, потрібно поставляти у відповідних формах, наприклад, креслень, схем, карт, таблиць та інструкцій. Інформацію має бути надано узгодженою мовою (див. також додаток В). Надану інформацію можна змінювати залежно від складності електрообладнання. Для дуже простого обладнання необхідна інформація може міститись в одному документі, якщо він охоплює всі пристрої електрообладнання і дає змогу виконати під'єднання його до електромережі живлення.
Примітка 1. Технічна документація, що її надають з елементами електрообладнання, має бути частиною документації електрообладнання машини.
Примітка 2. У деяких країнах вимогу використовувати конкретну мову(-и) регламентовано юридично.
17.2 Інформація, що її потрібно надавати
Інформація, надана з електрообладнанням, має містити:
a) Основний документ (перелік частин або перелік документів).
b) Додаткові документи, що містять:
1) докладні відомості з установлення і монтування обладнання та під’єднання до електромережі (електромереж);
2) вимоги до джерела (джерел) електроживлення;
3) відомості про умови навколишнього середовища (наприклад, освітлення, вібрації, забруднення атмосфери), за необхідності;
4) функціональну схему(-и), за необхідності;
5) принципову схему(-и);
6) інформацію (у разі необхідності) на:
— програмування, яке необхідно використовувати в обладнанні;
— послідовність операції(-ій);
— періодичність перевірянь;
— періодичність і метод функціонального випробування;
— інструкцію з регулювання, обслуговування, ремонту, особливо для захисних пристроїв
і кіл;
— рекомендованого переліку запасних частин; і
— переліку інструментів, що постачають;
7) опис (зокрема схеми з'єднань) засобів безпеки, функцій блокування, блокування огорож д.ля вилучення небезпек, особливо для машин, що працюють узгоджено;
8) опис захисту від небезпек і засобів захисту, що дають змогу, у разі необхідності, призу-пинити дію захисту від небезпек (наприклад, під час налагодження або технічного обслуговуван-н я) (див. 9.2.4);
9) інструкції щодо процедур із забезпеченням безпечного технічного обслуговування ма-шини (див. 17.8);
10) інформацію щодо поводження, транспортування і зберігання;
11) інформацію щодо струмів навантаження, пікових пускових струмів і допустимих провалів напруги, якщо це застосовано;
12) інформацію щодо залишкових ризиків за існуючих заходів захисту, вказівки зі спеціальної підготовки, якщо буде потрібно, і перелік необхідного захисного обладнання для осіб.
17.3 Вимоги стосовно усієї документації
Якщо інше не погоджено між виробником і споживачем, то:
— документація має бути стосовно відповідних частин ІЕС 61082;
— умовні познаки мають бути стосовно відповідних частин ІЕС 61346;
— інструкції/настанови з експлуатування мають відповідати ІЕС 62079;
— переліки запасних частин, якщо передбачено, мають відповідати ІЕС 62027, клас В.
Примітка. Див. розділ 13 додатка В.
Для посилань на різні документи постачальник має вибрати один із таких методів:
— якщо документація складається з невеликої кількості документів (наприклад, менше ніж 5), то кожен із документів повинен бути забезпечений довідником з посиланням на номери всіх інших документів, що стосуються цього електрообладнання; або
— за наявності одного основного документа (див. ІЕС 62023) вся інша документація з її номерами і заголовками має бути вказана на креслениках або в примітці до документа; або
— всі документи певного рівня {див, ІЕС 62023) мають бути структуровані й описані з номерами і заголовками в переліку документів того самого рівня.
17.4 Установна документація
Установна документація повинна містити всю необхідну інформацію щодо попередньої роботи з налаштування машини {зокрема введення в експлуатацію). У складних випадках можливе надання складальних креслень вузлів.
Має бути чітко вказано рекомендоване розташування, тип і площа поперечного перерізу встановлюваних кабелів живлення.
Має бути надано дані, необхідні для вибору типу, характеристик, номінальних значень струму, і межа спрацьовування пристрою(-їв) захисту від надструму, які встановлюють для кабелів живлення електрообладнання машини (див. 7.2.2).
За необхідності, мають бути деталізовані розміри, призначення та місце розташування будь-яких коробів у фундаменті, які повинні бути деталізовані й надані споживачу (див. додаток В),
Розмір, тип і призначення коробів, кабельних лотків або опор, що підтримують кабель між машиною і пов’язаним із нею обладнанням, мають бути деталізовані й надані споживачу (див. додаток В).
Якщо необхідно, на кресленику повинні бути зазначені місця, у яких має бути передбачено простір для здійснення заміни або обслуговування електрообладнання.
Примітка і. Приклади монтажних схем див. в ІЕС 61082-4.
Крім того, у разі необхідності, має бути передбачено додатково схему або таблицю з'єднань. Ця схема або таблиця повинні дати повну інформацію про всі зовнішні з’єднання. Якщо електрообладнання призначене для живлення від більше ніж одного джерела електроживлення, то схема з’єднань або таблиця повинні містити необхідну модифікацію або взаємозв'язки, необхідні для використання кожного живлення.
Примітка 2. Приклади схем/таблиць взаємозв’язку див. в ІЕС 61082-3.
17.5 Структурні та функціональні схеми
Якщо необхідно полегшити розуміння принципів роботи, повинна бути передбачена структурна схема. Структурна схема умовно подає електрообладнання разом із функціональними зовнішніми зв’язками без необхідності показу всіх з'єднань. R.
Примітка 1. Приклади структурних схем див. у серії ІЕС 61082.
Функціональні схеми можна використовувати як частину структурних схем або як доповнення до них.
Примітка 2. Приклади функціональних схем див. в ІЕС 61082-2.
17.6 Принципові схеми
Має бути передбачено принципову схему(-и). Ця схема(-и) має показати електричні кола на машині та на допоміжному обладнанні. Будь-який графічний символ, не наведений в ІЕС 60617-DB:2001, має бути окремо показано й описано на схемах або в пояснювальних документах. Символи та визначення компонентів і пристроїв мають бути узгоджені в усіх документах і на машині.
Коли потрібно, має бути передбачена схема, що показує контактні затискачі для під’єднання інтерфейсу. Така схема може бути застосовна в сполученні з принциповою схемою(-ами) для роз’яснення. Схема має містити посилання на докладні принципові схеми кожного блоку.
Символи перемикача повинні бути зображені на електромеханічній схемі в положенні вимкнення усіх видів живлення (наприклад, електрики, повітря, води, мастила) і нормального вихідного станув машини й електрообладнання.
Проводи мають бути позначені відповідно до 13.2.
Кола необхідно показати так, щоб полегшити розуміння їх функцій, а також технічного обслуговування й усунення несправності на місці. Характеристики стосовно функцій пристроїв керування і компонентів, що не зрозумілі з їх графічних зображень, має бути наведено на схемі поруч із символами або зазначено у виносках.
17.7 Настанова з експлуатування
Технічна документація має містити настанову з експлуатування, у якій докладно описано необхідні процедури з установлення й експлуатування електрообладнання. Особливу увагу має бути надано на передбачені заходи щодо безпеки.
Якщо роботу обладнання можна програмувати, необхідно навести докладну інформацію з методів програмування, необхідного обладнання, перевіряння програм і додаткових процедур щодо безпеки (якщо вони потрібні).
17.8 Інструкція з обслуговування
Технічна документація має містити настанову з обслуговування з докладним описом відповідних процедур для регулювання, обслуговування, профілактичного оглядання і ремонтування. Рекомендації з обслуговування і періоди обслуговування та записи мають бути частиною цієї настанови. Якщо надають методи для перевіряння відповідних режимів роботи (наприклад, випробувальна програма з перевіряння програмного забезпечення), застосування цих методів має бути детально описано.
17.9 Перелік запасних частин
Перелік запасних частин, якщо це передбачено, має містити щонайменше інформацію, необхідну для замовлення змінних або запасних частин (наприклад, компонентів, приладів, програмного забезпечення, випробувального обладнання, технічної документації), потрібних для регламентного ремонтного обслуговування, і тих запасних частин, що їх повинен зберігати споживач обладнання.
18 ВИПРОБУВАННЯ ТА ПЕРЕВІРЯННЯ
18.1 Загальні положення
У цьому стандарті розглянуто основні вимоги до електрообладнання машин.
Необхідні перевіряння конкретного виду машини треба проводити згідно з чинними стандартами на продукцію. Коли машини цього виду не стандартизовані, їх потрібно завжди піддавати випробуванням відповідно до а), Ь) і f), а також можна долучати одне або більше випробувань відповідно до с)—е):
a) перевіряння відповідності електрообладнання технічній документації;
b) у разі захисту від непрямого контакту з використанням автоматичного роз'єднання мають бути перевірені умови щодо спрацьовування такого захисту відповідно до 18.2;
c) випробування опору ізоляції (див. 18.3);
d) випробування напругою (див. 18.4);
e) захист від залишкових напруг (див. 18.5);
f) функціональне випробування (див. 18.6).
Під час цих випробувань рекомендовано притримуватися зазначеної черговості.
Якщо електрообладнання модифікують, необхідно виконати вимоги, наведені в 18.7.
Для випробувань відповідно до 18.2, 18.3 необхідно застосовувати вимірювальне обладнанні згідно зі стандартами серії ІЕС 61557. .
Примітка. Для інших випробувань, відповідно до вимог цього стандарту, необхідно застосовувати вимірювальне обладнання згідно з відповідними ІЕС або європейськими стандартами.
Результати перевіряння і вимірювання повинні бути задокументовані,
18.2 Перевірка умов щодо захисту автоматичним роз’єднанням від системи електроживлення
18.2.1 Загальні вимоги
Умови щодо автоматичного роз’єднання від живлення (див. 6.3.3) повинні бути підтверджені випробуваннями.
Для систем живлення із уземленням типу TN ці методи випробування описано в 18.2.2; їх застосування для різних умов живлення визначено у 18.2.3.
Для систем живлення із уземленням типів ТТ і IT див. ІЕС 60364-6-61.
18.2.2 Методи випробування в системах живлення із уземленням типу TN
Метод 1 перевіряє безперервність кола захисту. Метод 2 перевіряє умови для захисту щодо автоматичного від’єднання від системи живлення.
Метод 1 — Перевіряння безперервності кола захисту
Повинно бути проведено вимірювання опору кожного кола захисту між контактним затискачем РЕ (див. 5.2 і рисунок 3) і відповідними точками, що є частиною кола захисту з пропусканням струму від 0,2 А і приблизно до 10 А, отриманого від гальванічно розділеного джерела живлення (наприклад SELV, див. 413.1 ІЕС 60364-4-41), що має максимальну напругу холостого ходу 24 В змінного а&о постійного струму. Не рекомендовано використовувати живлення PELV, оскільки такі живлення можуть призвести до помилкових результатів у цьому випробуванні. Опір, що вимірюють, має бути в очікуваному діапазоні залежно від довжини, площі поперечного перерізу і матеріалу, відповідному проводу(-ів) захисному з’єднанню.
Примітка 1. Великі струмі, що використовують для випробування безперервності, підвищують точність результатів вимірювання, особливо за низьких значень опору, тобто великої площі поперечного перерізу та/або коротких по довжині проводу.
Метод 2 — Перевіряння імпедансу пошкодженого контуру та відповідності пов’язаного з ним пристрою захисту від надструму
Під'єднання до джерела живлення І зовнішнього захисного проводу до контактного затискача РЕ на машині має бути перевірено оглядом.
Умови щодо захисту автоматичним вимкненням живлення відповідно до 6.3.3 і додатка А мають бути перевірені обома методами:
1) перевірянням імпедансу пошкодженого контуру за допомогою:
— розрахунків, або
— вимірювання згідно з А.4, так і
2) підтвердженням відповідності меж спрацьовуванням і характеристиками, встановленими до пристроїв захисту від надструму, відповідно до вимог додатка А.
Примітка 2. Вимірювання імпедансу пошкодженого контуру може здійснюватися для кіл, коли умови захисту за допомогою автоматичного від’єднання за струму Іа понад 1 кА (де /а — це струм, який зумовлює автоматичне спрацьовування роз'єднувального пристрою протягом часу, зазначеного в додатку А).
18.2.3 Застосування методів вимірювання для систем живлення з уземленням типу TN
Випробування за методом 1 відповідно до 18.2,2 має бути проведено для кожного кола захисту машини.
Коли для вимірювання обрано метод 2 відповідно до 18.2.2, йому завжди повинно передувати випробування за методом 1.
Примітка. Розрив кола захисту може призвести до небезпечної ситуації для випробувача та інших осіб або до пошкоджень електрообладнання під час випробовування імпедансу контуру.
Випробування, необхідні для машин різного стану, наведено в таблиці 9. Таблицю 10 може бути використано для того, щоб визначити стан машини.
Таблиця 9 — Застосування методів випробування для систем живлення із уземленням типу TN
|
Процедура |
Стан машини |
Перевіряння на місці |
|
А |
Електрообладнання машини змонтовано і з’єднано на місці розташування, де безперервність кіл захисту не була підтверджена після монтування і з’єднання на місці розташування |
Випробування 1 і випробування 2 (див. 18.2.2).
Виняток: Якщо є попередні розрахунки з боку виробника щодо імпедансу пошкодженого контуру і коли:
— розташування установок дає змогу перевірити довжину і площу поперечного перерізу проводів, використовуваних для розрахунку, і
— підтверджується, що імпеданс джерела живлення на місці менше ніж або дорівнює опору джерела живлення, використовуваного для прийнятого значення під час розрахунку виробником. Випробування 1 (див. 18.2.2) для кіл захисту, що з’єднані на місці, і перевірка оглядом з’єднань силового живлення і зовнішнього захисного проводу до контактного затискача РЕ машини є достатнім |
|
В
|
Машина, яка має підтвердження про перевірку безперервності кіл захисту (див. 18.1) за допомогою випробування за методом 1 або 2, що має кола захисту, у яких довжина кабелю перевищує наведених у таблиці 10. |
Метод 2 (див. 18.2.2)
Виняток: Якщо є підтвердження того, що імпеданс джерела живлення на місці менше або дорівнює тому значенню, що використовують під час розрахунку, або коли випробування проводили за методом 2 за допомогою вимірювання, немає необхідності у вимірюванні на місці, крім перевірки з’єднань: |
|
У випадку В1) машину поставляють повністю змонтованою і не демонтованою для транспортування. |
у випадку В1) джерела живлення і вхідного зовнішнього захисного проводу до контактного затискача РЕ машини; |
|
У випадку В2) машину поставляють демонтованою для транспортування, коли безперервність захисних проводів забезпечена після демонтування, транспортування і збирання (наприклад, за допомогою штепсельних роз-німів) |
у випадку В2) джерела живлення і вхідного зовнішнього захисного проводу до контактного затискача РЕ машини і всіх з’єднань захисного проводу(-ів), які були від'єднані для транспортування |
|
С
|
Машина, що має кола захисту, у яких довжина кабелю не перевищує наведених у таблиці 10, що поставляють із підтвердженням перевірки безперервності кіл захисту (див. 18.1) за допомогою випробування за методом 1 або 2 (див. 18.2.2).
У випадку С1) машину поставляють повністю змонтованою і не демонтованою для транспортування. |
Немає необхідності випробовувати на місці. Для машини, що не під’єднується до джерела живлення за допомогою штепсельних рознімів, правильне під'єднання зовнішнього захисного проводу до контактного затискача РЕ машини повинно бути перевірено візуальним оглядом. |
|
У випадку С2) машину поставляють демонтованою для транспортування, коли безперервність захисних проводів забезпечена після демонтування, транспортування і збирання (наприклад, за допомогою штепсельного роз-німу(-ів)) |
У випадку С2) документи з установлення (див. 17.4) вимагають, щоб усі з'єднання захисного проводу(-ів), які були роз'єднані для транспортування, повинні бути перевірені, наприклад, візуальним оглядом |
Таблиця 10 — Приклади максимальної довжини кабелю для кожного захисного пристрою під навантаженням
|
Імпеданс джерела живлення для кожного захисного пристрою |
Переріз |
Номінальне значення або уставка захисного пристрою ІN |
Запобіжник,
час
роз’єднання 5 с |
Запобіжник,
час
роз'єднання 0,4 с |
Мініатюрний автоматичний вимикач В3 Ia = 5 • IN час
роз'єднання 0,1 с |
Мініатюрний автоматичний вимикач C4 Ia = 10 • IN час
роз'єднання 0,1 с |
Регульований автоматичний вимикач Ia = 8 • IN час
роз'єднання 0,1 с |
|
мОм |
мм2 |
А |
Максимальна довжина кабелю, м, для кожного захисного пристрою під навантаженням |
|
500 |
1,5 |
16 |
97 |
53 |
76 |
ЗО |
28 |
|
500 |
2,5 |
20 |
115 |
57 |
94 |
34 |
36 |
|
500 |
4,0 |
25 |
135 |
66 |
114 |
35 |
38 |
|
400 |
6,0 |
32 |
145 |
59 |
133 |
40 |
42 |
|
300 |
10 |
50 |
125 |
41 |
132 |
33 |
37 |
|
200 |
1S |
63 |
175 |
73 |
179 |
55 |
61 |
|
200 |
25 (лінія)/ 16 (РЕ) |
80 |
133 |
|
|
|
38 |
|
100 |
35 (лінія) / 16 (РЕ) |
100 |
136 |
|
|
|
73 |
|
100 |
50 (лінія) і 25(РЕ) |
125 |
141 |
|
|
|
66 |
|
100 |
70 (лінія) / 35 (РЕ) |
160 |
138 |
|
|
|
46 |
|
50 |
95 (лінія) / 50 (РЕ) |
200 |
152 |
|
|
|
98 |
|
50 |
120 (лінія) / 70 (РЕ) |
250 |
157 |
|
|
|
79 |
Максимальна довжина кабелю в таблиці 10 основана на таких припущеннях:
— кабелі PVC з мідними проводами, температура проводу у разі короткого замикання не повинна перевищувати 160 °С (див. таблицю D.5);
— кабелі з проводами перерізу менше ніж 16 мм2 мають бути забезпечені захисним проводом з рівним значенням площі поперечного перерізу;
— кабелі з проводами перерізу більше ніж 16 мм2 мають бути забезпечені захисним проводом зі зниженням перерізу, як зазначено;
— трифазні системи з номінальною напругою живлення 400 В;
— максимальний імпеданс джерела живлення кожного захисного пристрою відповідно до графи 1;
— значення графи 3 треба коригувати відповідно до таблиці 6 (див. 12.4).
Відхил від цих припущень може вимагати повного розрахунку або вимірювання імпедансу пошкодженого контуру. Додаткова інформація а ІEС 60228 і ІЕС 61200-53.
18.3 Випробування опору ізоляції
Опір ізоляції, вимірюваний за напруги 500 В постійного струму між проводами силового кола і колом захисту, має бути не менше ніж 1 МОм. Випробовування можна здійснювати за окремими секціями комплексу електрообладнання.
Виняток: Для деяких частин електрообладнання, що містять, наприклад, шини, колекторні щітки та набори колекторних пластин або вузли з кільцями ковзання, дозволено зменшення мінімального значення опору ізоляції, але його величина не повинна бути менше ніж 50 кОм.
Якщо електрообладнання машини містить пристрої захисту від перенапруги, які під’єднані під час випробовування, необхідно:
— від’єднувати ці пристрої, або
— знижувати рівень випробувальної напруги нижче рівня спрацьовування таких пристроїв, але не нижче рівня амплітудного значення живлення напруги (між фазою і нейтраллю). 18.4 Випробування напругою
Під час випробовування напругою треба застосовувати випробувальне обладнання відповід-но до ІЕС 61180-2. Випробувальна напруга повинна мати номінальну частоту 50 або 60 Гц.
Максимальна напруга під час випробовування має становити подвійне значення номінальної напруги живлення або 1000 В, залежно від того, яке значення більше. Максимальне значення на-пруги під час випробовування треба докладати між проводами силового кола та колом захисту приблизно на період 1 с. Вимоги виконують, якщо не відбувається руйнівною пробою.
Компоненти і пристрої, не призначені для випробовування такою напругою, мають бути від’єднані під час випробовування.
Компоненти і пристрої, які були випробувані напругою відповідно до стандартів їхньої продукції, можуть бути від'єднані під час випробовування. 18.5 Захист від залишкової напруги
За необхідності, випробовування мають бути виконані відповідно до 6.2.4. 18.6 Функціональне випробування
Функції електрообладнання мають бути випробувані.
Функцію кіл для електричної безпеки (наприклад, для виявлення короткого замикання на землю) має бути перевірено. 18.7 Повторне випробування
Коли частину машини або допоміжного обладнання заміняють або змінюють, цю частину треба перевіряти або повторно випробовувати, у разі потреби (див. 18.1).
Особливу увагу потрібно звернути на можливі несприятливі наслідки, які можуть проявитися в обладнанні в результаті повторних випробувань (наприклад, перенапруження ізоляції, вимикання і повторне вмикання пристроїв).
ДОДАТОК А (обов’язковий) ЗАХИСТ ВІД НЕПРЯМОГО КОНТАКТУ В СИСТЕМАХ ЖИВЛЕННЯІЗ УЗЕМЛЕННЯМ ТИПУ TN
(Витяг з ІЕС 60364-4-41:2001 та ІЕС 60364-6-61:2001) А.1 Загальні положення
Захист від непрямого контакту повинен передбачати пристрої захисту від надструму, що автоматично від’єднує кола живлення або обладнання у разі пробою між піднапруговою частиною і незахищеною струмопровідною частиною або захисним проводом у колі або обладнанні протягом достатнього короткого часу роз’єднання. Час роз’єднання не повинен перевищувати 5 с для машин.
Виняток: Якщо такий час роз’єднання не може бути витриманий, тоді необхідно вжити заходів (наприклад, додаткове захисне з'єднання) щодо обмеження можливого дотикання до небезпечної напруги 50 В змінного струму або 120 В постійного випрямленого струму між одночасно доступними струмопровідними частинами. Див. А.З.
Для кіл, які живляться через штепсельні розетки або безпосередньо без штепсельних розеток, клас захисту обладнання І, що призначено для ручного переміщення, або пересувне обладнання (наприклад, штепсельні розетки на машині для під’єднання допоміжного обладнання, див. 15.1), таблиця А.1 визначає максимально допустимий час роз’єднання.
Таблиця А.1 — Максимальний час роз’єднання для систем живлення із уземленням типу TN
|
U0a),B |
Час роз’єднання, с |
|
120 |
0,8 |
|
230 |
0,4 |
|
277 |
0,4 |
|
400 |
0,2 |
|
>400 |
0,1 |
|
a)U0 — ефективне значення номінальної напруги змінного струму щодо потенціалу землі. |
|
Примітка 1. Для напруги, яка перебуває в діапазоні відповідно до ІЕС 60033, час роз’єднання застосовують виходячи з номінального значення напруги.
Примітка 2. Для проміжного значення напруги треба використовувати значення, найближче за таблицею. |
А.2 Умови захисту за допомогою автоматичного роз’єднання живлення пристроєм захисту від надструму
Характеристики захисних пристроїв від надструму та опір кіп мають бути такі, щоб за незначної несправності опору в будь-якій точці електрообладнання між фазним проводом і захисним проводом або незахищеними струмопровідними частинами автоматичне роз’єднання живлення має статися в межах зазначеного часу (тобто < 5 с або < значення відповідно до таблиці А.1). Наступна умови повинна задовольняти вимоги:
Zs • /а <= U0
де Zs — імпеданс пошкодженого контуру, що містить джерело, піднапруговий провід до точки несправності й захисного проводу між точкою несправності та джерелом;
/а — струм, який зумовлює автоматичне спрацьовування захисного пристрою, що роз'єднує протягом зазначеного часу;
U0 — ефективне значення номінальної напруги змінного струму щодо потенціалу землі.
Необхідно враховувати збільшення опору проводу в разі несправності струму через підвищення температури (див. А.4.3).
Примітка. Інформацію для розрахунку струмів короткого замикання можна отримати а серії ІЕС 60909 або від постачальників пристроїв захисту від короткого замикання.
А.З Умови для захисту обмеженням дотикання до небезпечної напруги менше ніж 50 В змінного струму
Якщо вимоги А.2 недостатні й потрібне додаткове захисне з’єднання як засіб забезпечення захисту від дотикання до небезпечної напруги, то умовою для такого захисту є те, що небезпечна напруга повинна була знижена до рівня нижче ніж 50 В, і це досягається, коли імпенданс кола захисту не перевищує значення (ZPE):
де Zpe — імпенданс кола захисту між установленим у будь-якій точці обладнанням і РЕ контактним затискачем на машині (див. 5.2 і рисунок 2) або між одночасно доступними незахищеними струмопровідними частинами і/або сторонніми струмопровідними частинами. Відповідність цієї умови має бути перевірено методом 1 за 18.2.2 для вимірювання опору ЯРЕ, Умова для захисту досягається, коли значення RРЕ не перевищує:
де /a(5s)— струм, що протікає через пристрій захисту в разі спрацювання протягом не більше ніж 5 с;
RРЕ — опір кола захисту між РЕ контактним затискачем (див. 5.2 і рисунок 2) і будь-яким обладнанням на машині, або між одночасно доступними незахищеними струмопровід-ними частинами і/або сторонніми струмопровідними частинами.
Примітка 1. Додаткове захисне з'єднання є додатком до захисту від непрямого контакту.
Примітка 2. Додаткове захисне з’єднання може охоплювати все обладнання або його частину, а також окремі апарати чи місце.
А.4 Перевіряння відповідності умов щодо захисту автоматичним від'єднанням живлення
А.4.1 Загальні положення
Ефективність заходів щодо захисту від непрямого контакту за допомогою автоматичного від’єднання живлення відповідно до А.2 перевіряють так:
— перевірянням характеристик відповідного захисного пристрою за допомогою візуального огляду уставок меж спрацьовуванням автоматичних вимикачів і струмів вставок запобіжників, і
— вимірюванням імпедансу пошкодженого контуру (Zs).
Виняток: Якщо розрахунки імпендансу контуру у разі пошкодження або опору захисних проводів доступні та розташування обладнання дає змогу перевірити відповідності довжини і площі поперечних перерізів проводів, перевіряння безперервності захисних проводів можна замінити ви-мі рюванням.
А.4.2 Вимірювання імпедансу пошкодженого контуру
Вимірювання імпедансу пошкодженого контуру має бути виконано з використанням вимірювального обладнання, яке відповідає ІЕС 61557-3. Інформація щодо точності результатів вимірювання та процедур вимірювання, якої необхідно дотримуватися, визначена в документації на вимірювальне обладнання.
Вимірювання здійснюють, якщо машина під’єднана до джерела живлення, що має частоту, яка відповідає номінальній частоті живлення, призначеного для обладнання.
Примітка. На рисунку А.1 проілюстровано типове розташування для вимірювання імпедансу пошкодженого контуру на машині. Якщо не здійснено під’єднання двигуна на годину випробування, то два його фазних проводи, що не використовують у вимірюванні, може бути від’єднано, наприклад, за допомогою вилучення запобіжника.
Вимірювання значення імпедансу пошкодженого контуру повинно бути відповідно до А.2.
А.4.3 Визначення відмінностей між виміряним значенням опору проводів і дійсним значенням в умовах пошкодження
Примітка. Оскільки вимірювання проводять за температури навколишнього середовища і з низькими значеннями струмів для перевіряння відповідності виміряного значення імпедансу пошкодженого контуру, необхідно взяти до уваги, що збільшення опору проводів із підвищенням температури в аварійних умовах відповідає вимогам А.2
Збільшення опору проводів із підвищенням температури через струм у разі несправності має задовольняти таке рівняння: 
Якщо виміряне значення імпедансу пошкодженого контуру перевищує 2U0/3Iа, то більш точне оцінювання може бути проведено відповідно до С.61.3.6.2 ІЕС 60364-6:2006.
ДОДАТОК В (довідковий) ОПИТУВАЛЬНИЙ ЛИСТ ЩОДО ЕЛЕКТРООБЛАДНАННЯ МАШИН
Рекомендовано, щоб наступну інформацію було надано передбачуваному споживачу обладнання. Це дасть змогу полегшити укладення угоди між постачальником і споживачем на базових принципах і додаткових вимогах споживача щодо забезпечення належного проектування, застосовування та утилізації електрообладнання машин (див. 4.1).
|
Назва виробника/постачальника |
|
|
Назва кінцевого споживача |
|
|
Номер пропозиції/замовлення |
|
|
Дата |
|
|
Тип машини |
|
|
Серійний номер |
|
|
1 Особливі умови (див. розділ 1) |
|
|
а)Чи використовують машину на відкритому повітрі? |
Так
|
|
Ні |
|
|
Ь) Чи буде машина використовувати, обробляти або виробляти вибуховий або вогненебезпечний матеріал? |
Так/НІ
|
|
Якщо так, то має бути пояснення |
|
|
с)Чи використовують машину у вибухонебезпечному або вогненебезпечному середовищі? |
Так/НІ
|
|
Якщо так, то має бути пояснення |
|
|
d) Чи може машина становити небезпеку під час створення або споживання певних матеріалів? |
Так/Ні
|
|
Якщо так, то має бути пояснення |
|
|
е}Чи можливе використання машини в шахтах? |
Так
|
|
Ні |
|
|
2 Електроживлення та умови експлуатування (див. 4.3) |
|
|
а) Можливі коливання напруги джерела живлення щодо його номінального значення (якщо перевищують ± 10 %) |
|
|
|
Ь) Можливі зміни частоти (якщо перевищують ± 2 %) |
Постійні
|
|
Короткочасні |
|
|
с} Вкажіть можливі в майбутньому зміни в електрообладнанні, які вимагають збільшення потреби в електроживленні |
|
|
d) Вкажіть перерви напруги живлення, якщо електрообладнання повинно підтримувати роботу в таких умовах, які відмінні від умов, зазначених у розділі 4 |
|
|
3 Навколишнє середовище та умови експлуатування (див. 4.4) |
|
|
а} Електромагнітна обстановка (див. 4.4.2) |
Житлові,
торговельні або приміщення легкої промисловості |
|
Промислове
середовище |
|
|
Спеціальні умови або вимоги |
|
|
Ь) Діапазон температур навколишнього середовища |
|
|
с) Діапазон вологості |
|
|
d) Висота над рівнем моря |
|
|
е) Спеціальні умови навколишнього середовища (наприклад, агресивні середовища, запиленість, вологість) |
|
|
f) Випромінювання |
|
|
g) Вібрація, удар |
|
|
h) Особливі вимоги до установки і роботи (наприклад, вогнетривкі кабелі та проводи) |
|
|
ї) Транспортування та зберігання (наприклад, температури поза діапазоном, зазначеним у 4.5) |
|
|
4 Внутрішнє електроживлення |
|
|
Визначте для кожного джерела живлення: |
|
|
|
|
|
а) Номінальну напругу, В |
Змінний
струм |
|
Постійний струм |
|
|
|
Кількість
фаз |
|
Частота |
|
|
Очікуваний струм короткого замикання в точці підведення живлення до машини (кА діючого значення) (див. також пункт 2) |
|
|
|
|
|
Ь) Тип уземлення системи живлення (див. ІЕС 60364-1) |
TN (система з однією точкою, що безпосередньо уземлена із захисним проводом (РЕ), під'єднаним до цієї точки); вкажіть, якщо точка уземлення є нейтральною точкою (центр зірки) або іншою точкою |
|
ТТ (система з однією точкою, що безпосередньо уземлена, але захисний провід (РЕ) машини не з’єднується з точкою уземлення системи) |
|
|
|
IT (система, яка неузем лена безпосередньо) |
|
|
|
|
c) Електрообладнання пов'язане з нейтральним (N) проводом живлення? (див. 5.1) |
Так |
|
Ні |
|
|
d) Пристрій від'єднання живлення |
|
|
Необхідно від'єднання нейтрального проводу (N)? |
Так |
|
Ні |
|
|
Необхідно рухливе з'єднання для роз’єднувального нейтрального проводу (N)? |
Так |
|
Ні |
|
|
Тип пристрою від’єднання живлення має бути надано |
|
|
5 Захист від ураження електричним струмом (див. розділ 6) |
|
|
а) Яким категоріям осіб необхідно мати доступ у небезпечні зони всередині оболонок під час нормальної роботи обладнання? |
Кваліфікованим особам з електротехніки |
|
Проінструктованим особам з електротехніки |
|
|
b) Необхідні замки зі знімними ключами для зачинення дверцят і кришок? (див. 6.2.2) |
Так |
|
Ні |
|
|
6 Захист обладнання(див.розділ 7) |
|
|
а) Споживачем або постачальником забезпечується захист проводів живлення від надструму? (див. 7.2.2) |
|
|
Тип і номінал пристроїв захисту від надструму |
|
|
|
Ь) Найбільша потужність, кВт, трифазного двигуна змінного струму, який може бути запущений прямим вмиканням |
|
|
с) Чи може бути зменшено число пристроїв контролю перевантаження двигунів? (див. 7.3) |
Так |
|
Ні |
|
|
7 Експлуатація |
|
|
Для системи безпровідного дистанційного керування затримку часу перед автоматичним вимиканням машини у разі відсутності дозвільного сигналу |
|
|
8 Пульти керування оператора та пристрої керування, встановлені на машині (див. розділ 10) |
|
|
Які кольори прийнятніші (наприклад, для узгодження з існуючими машинами) |
Пуск |
|
Зупинка |
|
|
|
Інше |
|
|
|
|
9 Апаратура керування |
|
|
Ступінь захисту оболонки (див. 11.3) або спеціальні умови |
|
|
1) Монтування електропроводки (див. розділ 13) |
|
|
Чи є певний метод ідентифікації, який використовують для проводів? (див. 13.2.1) |
Так |
|
Ні |
|
|
Тип |
|
|
11 Обладнання та освітлення (див. розділ 15) |
|
|
а)Чи необхідний особливий тип штепсельної розетки? |
Так |
|
Ні |
|
|
Якщо так, то який тип? |
|
|
Ь)Чи є в штепсельних розетках для обслуговування додатковий захист з використанням пристрою захисту від струму витоку (RCD)? |
Так |
|
Ні |
|
|
с)Коли машина оснащена місцевим освітленням: |
Максимально допустима напруга, В |
|
Якщо напруга кола освітлення не отримує безпосередньо з джерела живлення, то який стан напруги зручніший? |
|
|
12 Маркування, застережні знаки та умовні познаки (див. розділ 16) |
|
|
а) Функціональна ідентифікація (див. 16.3) |
|
|
Технічні характеристики: |
|
Ь) Написи/спеціальне маркування |
На електрообладнанні? |
|
Якою мовою? |
|
|
с) Сертифікаційний знак |
Так |
|
Ні |
|
|
Якщо так, то який? |
|
|
13 Технічна документація (див. 17.1) |
|
|
|
а) Технічна документація (див. 17.1) |
На яких носіях? |
|
Якою мовою? |
|
|
Ь) Розмір, розташування і призначення коробів, відкритих кабельних лотків або кабелепідтримувальних конструкцій, які забезпечує споживач (див. 17.4) |
|
|
с) Вкажіть, чи існують особливі обмеження щодо розміру або ваги, що впливають на транспортування конкретної машини або апаратури керування в місце установки: |
Максимальні розміри |
|
Максимальна вага |
|
|
d} Чи є сертифікат про робочі випробування машини під навантаженням у випадку постачання спеціально побудованої машини? |
Так |
|
Ні |
|
|
е) Чи є сертифікат про типові робочі випробування машини під навантаженням на прототипах у випадку постачання інших машин? |
Так |
|
Ні |
|
ДОДАТОК C (довідковий)
ПРИКЛАДИ МАШИН,
НА ЯКІ ПОШИРЮЄТЬСЯ ЦЕЙ СТАНДАРТ
У наведеному нижче переліку вказані приклади машин, вимоги до електрообладнання, які викладені в цьому стандарті. Цей перелік не є вичерпним, але він відповідає визначенню машин і механізмів (див. 3.35). Цей стандарт не поширюється на побутові прилади і подібні пристрої, які входять до серії стандарту ІЕС 60335.
Машини для оброблення металу
— металорізальні верстати
— машини для формування металів
Машини для оброблення пластмаси і гуми
— машини для лиття під тиском
— екструзійні машини
— видувні формувальні машини
— термореактивні формостворювальні машини
— дробильні машини
Деревообробні машини
— деревообробні машини
— ламінувальні машини
— лісопильні машини Складальні машини
Машини для переміщення матеріалу
— роботи
— конвеєри
— машини для передавання
— розвантажно-навантажувальні машини Машини для текстильного виробництва Установки для охолодження й коцциціонування повітря Машини для виготовлення виробів зі шкіри/штуч-ної шкіри і взуття
Машини для харчової промисловості
— тістомісильні машини
— мішалки
— машини для виготовлення пиріжків і тортів
— машини для оброблення м’яса Друкарські, паперові та картонажні машини
— друкарські машини
— оздоблювальні машини, гільйотинні ножиці, фальцювальні машини
— машини, що перемотують, і різальні машини
— машини для згинання і склеювання коробок
— папероробні та картоноробні машини Випробувальне обладнання
— координатно-вимірювальні машини
— прилади для вимірювання в процесі роботи
Компресори Пакувальні машини
— штабепери
— машини для пакування втермоусадкову плівку
Машини для прання Обладнання для опалення і вентиляції Машини для будівництва і виробництва будівельних матеріалів
— вирізні й пробивні машини
— машини для обдирання, очищення, полірування, зняття задирок, ворсування
— машини для формування взуття
— колодкові машини Підіймальні машини (див. ІЕС 60204-32)
— крани
— підіймачі
Машини для транспортування людей
— ескалатори
— канатні дороги для людей, наприклад, крісла підіймачі, підіймачі для лижників
— пасажирські ліфти Автоматично керовані двері Машини для атракціонів
— каруселі
Насоси
Машини для сільського господарства та для лісового господарства
— тунелепрохідні машини
— бетономішалки
— цеглоробні машини
— машини для оброблення каменю, кераміки і скла
Портативні машини
— деревообробні
— металообробні Рухомі машини
— підіймальні платформи
- — самохідні вилкові навантажувачі
— монтажні машини
Машини для гарячого оброблення металу Машини для шкіряного виробництва
— багатовалкові машини
— стрічкові пили
— гідравлічні дубильні машини Машини для гірничодобувних і кар'єрних робіт
ДОДАТОК D (довідковий)
СТРУМОПРОВІДНА СПРОМОЖНІСТЬ І ЗАХИСТ ВІД НАДСТРУМУ ДЛЯ ПРОВОДІВ І КАБЕЛІВ В ЕЛЕКТРООБЛАДНАННІ МАШИН
Мета цього додатка — надати додаткову інформацію щодо вибирання перерізу проводів, коли умови, наведені в таблиці 6 (див. розділ 12), мають бути змінені (див. примітки до таблиці 6).
D.1 Загальні умови експлуатування
D.1.1 Температура навколишнього середовища
Струмопровідну спроможність проводів в ізоляції PVC, що наведена в таблиці 6, відносять до температури навколишнього середовища + 40 °С. Для інших температур навколишнього середовища варто скоригувати ці значення, використовуючи коефіцієнти, наведені в таблиці D.1
Поправкові коефіцієнти для кабелів із гумовою ізоляцією має надавати виробник.
Таблиця D.1 — Поправкові коефіцієнти
|
Температура навколишнього середовища, °С |
Поправковий коефіцієнт |
|
30 |
1,15 |
|
35 |
1,08 |
|
40 |
1,00 |
|
45 |
0,91 |
|
50 |
0,82 |
|
55 |
0,71 |
|
60 |
0,58 |
|
Примітка. Поправкові коефіцієнти згідно з ІЕС 60364-5-52. Максимальна температура за нормальних умов для PVC 70 °С. |
D.1.2 Методи прокладання
У машинах треба використовувати типові методи прокладання проводів і кабелів між оболонками й окремими елементами обладнання, які показані на рисунку D.1 (літери використані відповідно до ІЕС 60364-5-52:2001).
— Метод В1: використовують кабелепроводи (3.7) і кабелепщтримувальні конструкції' (3.5) для про
кладання і захисту проводів або одножильних кабелів;
— Метод В2: ті самі, що і В1, але з багатожильними кабелями;
— Метод С: багатожильні кабелі, встановлені на відкритому повітрі, горизонтально або вер
тикально без проміжків між кабелями на стінах;
— Метод Е: багатожильні кабелі на відкритому повітрі в горизонтальних або вертикальних
відкритих кабельних лотках (3.4).
Проводи/одножильні кабелі в кабелепроводах і кабелепідтримувальних конструкціях
ІЕС 1393/05
Кабелі в кабелепроводах і кабелепідтримувальних конструкціях
ІЕС 1394/05
Рисунок D.1 — Методи прокладання проводів і кабелів незалежно від кількості проводів/кабелів
D.1.3 Групування
Якщо найбільш навантажені проводи в кабелі або проводи, що групуються парами під час прокладання, тоді значення струмів /г, наведені в таблиці 6 або отримані від виробника, необхідно коригувати згідно з таблицями D.2 або D.3.
Примітка. Значення струмів Ib < З0 % від Iz не потрібно коригувати.
Таблиця D.2 — Поправкові коефіцієнти для Iz під час групування
|
Метод прокладання (див. рисунок D.1) |
Кількість навантажених кіл/кабелів |
|
(див. примітку 3) |
2 |
4 |
6 |
9 |
|
B1 (кола) і В2 (кабелі) |
0,80 |
0,65 |
0,57 |
0,50 |
|
С - одне прокладання без проміжку між кабелями |
0,85 |
0,75 |
0,72 |
0,70 |
|
Е - одне прокладання на одному перфорованому в лотку без проміжку між кабелями |
0,88 |
0,77 |
0,73 |
0,72 |
|
Е -така сама прокладка, але від двох до трьох лотків, з вертикальною розбивкою між кожним лотком 300 мм (див. примітку 4) |
0,86 |
0,76 |
0,71 |
0,66 |
|
Пари кіл керування <= 0,5 мм2 залежно від методів прокладання |
0,76 |
0,57 |
0,48 |
0,40 |
Примітка 1. Ці коефіцієнти застосовні для:
— кабелів, рівноцінно навантажених, кола із симетричним навантаженням;
— групи кіл ізольованих проводів або кабелів, що мають однакову максимально допустиму робочу температуру. Примітка 2. Деякі коефіцієнти застосовні тільки до:
— груп із двох або трьох одножильних кабелів;
— багатожильних кабелів.
Примітка 3. Коефіцієнти отримані відповідно до ІЕС 60364-6-52.
Примітка 4. Перфоровані кабельні лотки — це лотки, в яких отвори займають більше ніж ЗО % від основної площі (1ЕС 60364-5-52).
Таблиця D.3 — Поправкові коефіцієнти Іz для багатожильних кабелів із перерізом до 10 мм2
|
Кількість проводів або пар під навантаженням |
Провід (> 1 мм2) (див. примітку 3) |
Пари (від 0,25 мм2 до 0,75 мм2) |
|
1 |
— |
1,0 |
|
3 |
1,0 |
— |
|
5 |
0,75 |
0,39 |
|
7 |
0,65 |
0,34 |
|
10 |
0,55 |
0,29 |
|
24 |
0,40 |
0,21 |
Примітка 1. Застосовують до багатожильних кабелів із рівноцінно навантаженими проводами/парами Примітка 2. Для груп багатожильних кабелів див. обмеження значень у таблиці D.2.
Примітка 3. Коефіцієнти отримані відповідно до ІЕС 60364-5-52.
D.1.4 Класифікація проводів
Таблиця D.4 — Класифікація проводів
|
Клас |
Опис |
Використовування/застосовування |
|
1 |
Жорсткий мідний або алюмінієвий провід |
Для стаціонарного прокладання |
|
2 |
Багатожильний мідний або алюмінієвий провід |
|
5 |
Гнучкий багатожильний мідний провід |
Для прокладання на машинах за наявності вібрації; з’єднання з рухомими частинами |
|
6 |
Гнучкий багатожильний мідний провід, що складається з багатьох дуже тонких жил, більш гнучкий, ніж клас 5 |
Для частих переміщень |
|
Примітка. Отримано відповідно до ІЕС 60228. |
D.2 Узгодження між проводами і захисними пристроями від перевантаження
На рисунку D.2 зображені взаємозв’язки між параметрами проводів і параметрами захисних пристроїв від перевантаження.
Рисунок D.2 — Параметри проводів та захисних пристроїв
Для забезпечення надійного захисту кабелів від перевантаження за струмом необхідно, щоб робочі характеристики захисного пристрою захисту кабелю від перевантаження (наприклад, пристрій захисту від надструму, пристрій захисту двигуна від перевантаження) задовольняли дві такі вимоги:
/2< 1,45 • /Zi
де Ib — струм, за яким проектували коло;
lz — ефективна струмопровідна спроможність, в амперах, для кабелів у безперервному режимі роботи, відповідно до таблиці 6, за певних умов прокладання:
— температура, що знижує lz, див. таблицю D.1;
— групування, що знижує /z, див. таблицю D.2;
— многожильність у кабелях, що знижує /г, див. таблицю D.3.
/n — номінальний струм пристрою захисту.
де Ib — струм, за яким проектували коло;
Iz — ефективна струмолровідна спроможність, в амперах, для кабелів у безперервному режимі роботи, відповідно до таблиці 6, за певних умов прокладання:
— температура, що знижує Iz, див. таблицю D.1;
— групування, що знижує Iz, див. таблицю D.2;
— многожильність у кабелях, що знижує Iz, див. таблицю D.3.
In — номінальний струм пристрою захисту.
Примітка 1. Для регульованих пристроїв захисту номінальний струм In — це струм уставки спрацьовування.
/2 — мінімальний струм, забезпечення ефективної роботи захисного пристрою протягом певного часу (наприклад, 1 год для захисних пристроїв до 63 А).
Примітка 2. Для проводів кола двигуна захист від перевантаження для проводу(-ів) має бути забезпечений пристроям жі захисту від перевантаження двигуна(-ів), у той час як захист від струмів короткого замикання забезпечується пристроям *і захисту від струмів короткого замикання.
Якщо пристрій, який забезпечує захист від перевантаження і короткого замикання, використовують згідно з цим розділом для захисту від перевантаження проводу, то він не буде забезпечувати повного захисту у всіх випадках (наприклад, перевантаження зі струмами менше ніж Іг), це необов’язково приводити до економічного рішення. Таким чином, такий пристрій може бути невідповідним, коли перевантаження струмами може відбуватися менше ніж !т
D.3 Захист проводів від надструму
Усі проводи можуть бути захищені від надструму (див. 7.2) за допомогою захисних пристроїв, одо вбудовуються у всі піднапругові проводи так, щоб будь-який струм короткого замикання, що виникає в кабелі, переривався до того, як провід досягне максимально допустимої температури.
Примітка. Для нейтральних проводів див. 7.2.3, другий абзац.
Таблиця D.5 — Максимально допустимі температури для проводів в умовах нормальної роботи і в разі короткого замикання
|
Тип
ізоляції |
Максимальна температура в нормальних умовах, °С |
Гранична короткочасна температура проводу у разі короткого замиканняa) °С |
|
Полівінілхлорид (PVC) |
70 |
160 |
|
Гума |
60 |
200 |
|
Поліетилен сітчастої структури (XLPE) |
90 |
250 |
|
Етилен-пропіленове з'єднання (EPR) |
90 |
250 |
|
Силіконова гума (SiR) |
180 |
350 |
|
Примітка. Для граничної короткочасної температури проводу вище ніж 200 °С не підходять проводи ні з лудженою жилою, ні голі мідні проводи. Посріблені або нікельовані мідні проводи підходять для використання вище ніж 200°С,
а) Ці значення основані на припущенні для адіабатичного процесу за період, що ке перевищує 5 с. |
На практиці вимогу 7.2 дотримано, якщо пристрій захисту за струму / розмикає коло за проміжок часу, який у жодному випадку не перевищує час t, коли t < 5 с.
Значення часу t в секундах потрібно обчислювати за формулою:
де S — площа поперечного перерізу, мм2;
І — ефективний струм короткого замикання, який виражено для змінного струму через середньоквадратичне значення, в амперах;
к — коефіцієнт, що застосовують до мідних проводів залежно від наступного матеріалу ізоляції:
|
PVC |
115 |
|
гуми |
141 |
|
SiR |
132 |
|
XLPE |
143 |
|
EPR |
143 |
Використання плавких запобіжників із характеристиками gG або дМ (див. ІЕС 60269-1) та автоматичних вимикачів із характеристиками В і С відповідно до серії ІЕС 60898 гарантує те, що температурні обмеження таблиці D.5 не будуть перевищені, якщо номінальний струм In обирають відповідно до таблиці 6, коли Iz <= Iz
ДОДАТОК Е (довідковий)
РОЗ’ЯСНЕННЯ ДІЇ АВАРІЙНИХ ФУНКЦІЙ
Примітка. Ці поняття наведені тут, щоб дати читачеві поняття про застосування цих термінів, хоча в цьому стандарті ви кіристовують тільки два з них.
Аварійна операція
Аварійна операція охоплює окремо або в поєднанні:
— аварійне зупинення;
— аварійний пуск;
— аварійне вимикання;
— аварійне вмикання. '
Аварійне зупинення
Аварійна операція, призначена для зупинення процесу або руху, який став небезпечним.
Аварійний пуск
Аварійна операція, призначена для запуску процесу або руху, щоб видалити або уникнути небезпечних ситуацій.
Аварійне вимикання
Аварійна операція, призначена для вимикання живлення електроенергії у всій установці або в "тій частині, де виникає ризик ураження електричним струмом або інший ризик, спричинений електрикою.
Аварійне вмикання
Аварійна операція, призначена для вмикання живлення електроенергії в частині установки, призначеної для використання в аварійній ситуації.
ДОДАТОК F (довідковий)
НАСТАНОВА ЩОДО ЗАСТОСУВАННЯ ЦЬОГО СТАНДАРТУ
F.1 Загальні положення
У цьому стандарті наведено велику кількість загальних вимог, які можуть або не можуть бути застосовні відносно електрообладнання конкретної машини. Просте посилання без будь-якої кваліфікації до цього стандарту є недостатнім. Вибір має бути зроблено так, щоб задовольнити всі вимоги цього стандарту. Технічний комітет розробляє стандарти на окремі види продукції або на окремі продукти (тип С у CEN), та для постачальника машини, для якої не існує стандартів на окремі види продукції або на окремі продукти, необхідно використовувати цей стандарт:
a) посиланням; і
b) вибором найбільш відповідного варіанта(-ів) вимог, наведених у відповідних розділах; і
c) за допомогою змін окремих розділів, якщо необхідно, там, коли специфічні вимоги для обладнання машини адекватно охоплені іншими відповідними стандартами, які забезпечують правильний вибір змін і опцій, що не може негативно вплинути на рівень захисту, необхідного для цієї машини відповідно до оцінювання ризиків.
Застосовуючи три принципи а), Ь) і с), що перераховані вище, рекомендовано таке:
— робити посилання на відповідні розділи і підрозділи цього стандарту:
1) яких дотримуються, якщо вказано відповідність застосовуваного варіанта;
2) які були змінені або розширені для конкретних вимог до машини або обладнання; і
— робити посилання безпосередньо на відповідний стандарт, у якому вимоги до електрообладнання адекватно охоплено цим стандартом.
У всіх випадках необхідна експертиза, щоб мати можливість:
— виконати необхідне оцінювання ризиків машини;
— читати і розуміти всі вимоги цього стандарту;
— вибирати вимоги, застосовні в цьому стандарті, за наявності альтернативи;
— визначити альтернативні або додаткові особливі вимоги, що визначають для машини та її в «користання і які відрізняються або не долучені до вимог цього стандарту;
— точно визначити ці особливі вимоги.
На рисунку 1 цього стандарту наведено структурну схему тилової машини, яку може бути використано як відправну точку цього завдання. Це визначено розділами й підрозділами, що стосуються особливих вимог до обладнання. Однак цей стандарт є комплексним документом і таблиця F. 1 може допомогти визначити варіанти застосування для конкретної машини і дає посилання на ін іаі відповідні стандарти.
Таблиця F.1 — Варіанти застосування
|
Назва |
Розділ або підрозділ |
I) |
II) |
III) |
IV) |
|
Сфера застосування |
1 |
|
X |
|
|
|
Загальні вимоги |
4 |
X |
X |
X |
ISO 12100 (усі частини) ISO 14121 |
|
вибирання обладнання |
4.2.2 |
|
X |
X |
ІЕС 60439 серія |
|
Пристрій вимикання (ізолювання) живлення |
5.3 |
X |
|
|
|
|
Особливі кола |
5.3.5 |
X |
|
X |
ISO 12100 (усі частини) |
|
Запобігання непередбаченому пуску, ізоляція |
5.4, 5-5 та 5.6 |
X |
X |
X |
(SO 14118 |
|
Захист від ураження електричним струмом |
6 |
X |
|
|
ІЕС 60364-4-41 |
|
Аварійне керування (аварійне зупинення, аварійне вимикання) |
9.2,5.4 |
X |
|
X |
ISO 13850 |
|
Керування двома руками |
92.6.2 |
X |
X |
|
ISO 13851 |
|
Безпровідне керування |
9.2.7 |
X |
X |
X |
|
|
Функції керування у разі відмови |
9.4 |
X |
X |
X |
ISO 14121,
ISO 13849 (усі частини) та ІЕС 62061 |
|
Датчики положення |
10.1.4 |
X |
X |
X |
ISO 14119 |
|
Кнопкові вимикачі, світлові індикатори і дисплеї, кнопкові вимикачі з підсвічуванням |
10.2, 10.3 та 10.4 |
X |
X |
|
ІЕС 60073 та
ІЕС 61310 (усі частини) |
|
Пристрої аварійного зупинення |
10.7 |
X |
X |
|
ISO 13850 |
|
Пристрої аварійного вимикання |
10.8 |
X |
|
|
|
|
Апаратура керування, захист від проникнення забруднювальних речовин тощо |
10.1.3 та 11.3 |
X |
X |
X |
ІЕС 60529 |
|
Ідентифікація проводів |
13.2 |
X |
X |
|
|
|
Випробування та перевіряння |
18 |
X |
X |
X |
|
|
Додаткові вимоги споживачів (опитуваль-иий лист) |
Додаток В |
|
X |
X |
|
|
(х) показані розділи та підрозділи цього стандарту, які мають бути застосовані щодо: I) відбору із зазначених заходів;
II) додаткових вимог; III) різних вимог;
IV) інших стандартів, які можуть мати відношення. |
|
ДОДАТОК G
(довідковий) ПОРІВНЯННЯ ТИПОВИХ ЗНАЧЕНЬ ПЕРЕРІЗІВ ПРОВОДІВ
Таблиця G.1 забезпечує порівняння перерізів проводів в Американському сортаменті проводів (A.WG) із квадратними міліметрами, квадратними дюймами й круговими милами.
ДОДАТОК ZZ (довідковий)
ОХОПЛЕННЯ ОСНОВНИХ ВИМОГ ДИРЕКТИВ ЕС
Цей європейський стандарт був підготовлений у рамках доручення, яке видане Європейською комісією та Європейською асоціацією вільної торгівлі CENELEC і в межах своєї сфери стандарт охоплює тільки такі основні вимоги, які наведені у додатку ) Директиви ЄС 206/42/ЕС:
— 1.2.1 - 1.2.2
— 1.2.3
— 1.2.4.1
— 1.2,4.3
— 1.2.4.4
— 1.2.6
— 1.5.1
— 1.5.4
— 1.6.3 (для ізоляції електроживлення машин)
— 1.6.4 (для доступу до електрообладнання)
— 1.7.0
— 1.7.1
— 1.7.1.1
— 1.7.1.2
— 1.7.2 (для залишкових ризиків електричної природи)
— 1.7.4.2 (е)
Дотримання цього стандарту є одним із засобів відповідності зазначеним основним вимогам відповідної Директиви.
УВАГА! На продукцію, що входить до сфери застосування цього стандарту, можуть по-ці призватися інші вимоги та інші Директиви ЄС.
ДОДАТОК НА (довідковий)
ПЕРЕЛІК НАЦІОНАЛЬНИХ СТАНДАРТІВ,
ГАРМОНІЗОВАНИХ ІЗ МІЖНАРОДНИМИ НОРМАТИВНИМИ ДОКУМЕНТАМИ,
НА ЯКІ Є ПОСИЛАННЯ В ЦЬОМУ СТАНДАРТІ
ДСТУ ІЕС 60034-5:2005 Машини електричні обертові. Частина 5. Ступені захисту, забезпечувані цілісною конструкцією обертових електричних машин (IP код). Класифікація (ІЕС 60034-5:2000, ЮТ) ДСТУ EN 60034-11:2014 Машини електричні обертові. Частина 11. Тепловий захист (EN 60034-11:2004, ЮТ)
ДСТУ ІЕС 60073:2005 Основні принципи з безпеки щодо інтерфейсу «людина-машина», маркування та позначення. Принципи кодування індикаторів та органів керування (ІЕС 60073:2002, ЮТ) ДСТУ EN 60309-1:2014 Вилки, штепсельні розетки та з’єднувачі промислової призначеності. Частина 1. Загальні технічні вимоги (EN 60309-1:1999 + EN 60309-1:1999/А1:2007 + EN 60309-1:1999/ А2:2012, ЮТ)
ДСТУ ІЕС 60439-1:2003 Устатковання комплектних розподільчих пристроїв низьковольтне. Частила 1. Устатковання, що пройшло випробування типу повністю чи частково (ІЕС 60439-1:1999, ЮТ) ДСТУ ІЕС 60445:2009 Основні положення та правила безпеки щодо інтерфейсу «людина-машина», маркування та позначення. Позначення виводів обладнання та кінців провідників (ІЕС 60445:2006, ЮТ)
ГОСТ 31260-2004 (МЗК 60446:1989) Идентификация проводников по цветам или цифровим обозначениям (Ідентифікація провідників за кольорами чи цифровим позначенням)
ДСТУ ІЕС 60664-1:2013 Узгодження ізоляції для устатковання низьковольтних систем. Частина 1. Принципи, вимоги та випробування (ІЕС 60664-1:2007, ЮТ)
ДСТУ ІЕС 60947-1:2008 Комутаційна апаратура та апаратура керування низьковольтна. Частина 1. Загальні правила (ІЕС 60947-1:2004, ЮТ)
ДСТУ ІЕС 60947-2:2008 Пристрої комплектні розподільчі низьковольтні. Частина 2. Автоматичні вимикачі (ІЕС 60947-2:2006, ЮТ)
ДСТУ ІЕС 60947-3:2010 Пристрої комплектні розподільчі низьковольтні. Частина 3. Вимикачі, роз’єднувачі, вимикачі-роз’єднувачі та комбінації запобіжник-комутаційний апарат (ІЕС 60947-3:2008, ЮТ) ДСТУ ІЕС 60947-5-1:2007 Пристрої комплектні розподільчі низьковольтні. Частина 5-1. Пристрої розподільчих кіл і перемикальні елементи. Електромеханічні пристрої розподільчих кіл (ІЕС 60947-5-1:2003, ЮТ)
ДСТУ ІЕС 60947-7-1:2007 Пристрої комплектні розподільні низьковольтні. Частина 7-1, Допоміжне обладнання. Кпемні колодки для мідних провідників (ІЕС 60947-7-1:2002, ЮТ)
ДСТУ ІЕС 61140:2005 Захист проти ураження електричним струмом. Загальні аспекти щодо установок та обладнання (ІЕС 61140:2001, ЮТ)
ДСТУ ІЕС 61310-1-2001 Безпечність машин. Позначення, маркування та приведення в дію. Частина 1. Вимоги до візуальних, звукових і тактильних сигналів (ІЕС 61310-1:1995, ЮТ)
ДСТУ ІЕС 61310-2-2001 Безпечність машин. Позначення, маркування та приведення в дію. Частина 2. Вимоги до маркування (ІЕС 61310-2:1995, ЮТ)
ДСТУ EN 61557-3:2005 Електробезпечність низьковольтних розподільчих систем напругою до 1 000 В змінного струму та 1500 В постійного струму. Обладнання для випробування, вимірювання afSo контролю заходів безпеки. Частина 3. Повний електричний опір (EN 61557-3:1997, ЮТ)
ДСТУ ІЕС 61558-1:2010 Безпечність силових трансформаторів, силових блоків живлення, р=еакторів й аналогічних пристроїв. Частина 1. Загальні технічні вимоги та випробування (І ЕС 61558-1:2009, IDT)
ДСТУ ІЕС 61558-2-6-2001 Безпечність силових трансформаторів, силових блоків живлення і аналогічних пристроїв. Частина 2-6. Спеціальні вимоги до безпечних розділових трансформаторів загального призначення (ІЕС 61558-2-6:1997, IDT)
ДСТУ ISO 7000:2004 Графічні символи, що їх використовують в устаткованні. Покажчик та огляд (ISO 7000:2004, IDT)
ГОСТ ИСО/ТО 12100-1-2001 Безопасность оборудования. Основньїе понятия, общие принципі конструирования. Часть 1. Основньїе терминьї, методика (Безпечність обладнання. Основні поняття, загальні принципи конструювання. Частина 1. Основні терміни, методика)
ГОСТ ИСО/ТО 12100-2-2002 (ЕН 292-2-91) Безопасность оборудования. Основньїе понятия, общие принципи конструирования, Часть 2. Технические правила и технические требования (Безпечність обладнання. Основні поняття, загальні принципи конструювання. Частина 2. Технічні правила і технічні вимоги).
ДОДАТОК НВ (довідковий) АБЕТКОВИЙ ПОКАЖЧИК ТЕРМІНІВ
Цей абетковий покажчик термінів містить в абетковому порядку терміни, визначені у розділі З, і вказує на пункти, де їх використано в тексті цього стандарту. Пункт, у якому подано визначення терміна, виділено грубим шрифтом.
апаратура керування 3.10, 6.3.2.2, 9.2.5.4.3, 11.1, 11.2.1, 11.2.2, 11.3, 11.5,
16.4, додаток В
безпосереднє розмикання (контактного 3.13,9.4.2.1, 10.1.4, 10.8.2 елемента)
блокувальний пристрій (блокування) 3.32, 1, 5.3.1, 5.6, 6.2.2, 9.1.1, 9.2.5.1, 9.2.5.2, 9.2.5.3,
9.2.6.3, 9.3, 9.4.2.3, 11.2.2, 13.4.5, 17,2 еквіпотенціальне з'єднання 3.22, 3.27, 3.43, 8.1
електрична робоча зона 3.15, 5.5, 9.2.5.4.3, 11.3, 11.5
електронне обладнання 3.16, 4.3.3, 4.4.2, 5.1, 9.4.2.3
закрита електрична робоча зона 3.19, 5.4, 5.6, 6.2.2, 8.2.4
засіб безпеки 3.49, 3.50, 9.3.1, 17.2
захисне з’єднання 3.43, 3.44, 3.45, 5.1, 6.3.3, 6.4.1, 7.2.4, 8.1, 8.2, 8.3,
9.1.1, 9.4.2.1, 9.4.3.1, 12.7.2, 12.7.8, 13.1,1, 13.4.5,
13.5.1, 15.1, 15.2.1, 18.2,2, 18.2.3, 18.3, 18.4, А.1,А.З
захист 3.50, 3.32, 4.1, 17.2
захисний провід 3.45, 3.44, 5.1, 5.2, 8.2.1, 8.2.2, 8.2.3, 8.2.6, 8.2.7,
8.2.8, 8.4, 12.7.2, 12.7.3, 12.7.4, 13.1.1, 13.1.2, 13.2.2,
13.2.4, 18.2.2, 18.2.3, А.1, А.2, А.4.1, додаток В
відмова (пошкодження) 3.25, 3.26, 3.44, 4.1, 5.3.5, 8.1, 8.2.5, 8.3, 9.3.4, 9.4.1,
9.4.2, 9.4.2.1, 9.4.2.2, 9.4.2.3, 9.4.3.1, 9.4.3.2 індукційна силова 3.30, 5.3.1, 5.5, 13.1.4
електропостачальна система
кабельний лоток (лоток для прокладання 3.4, 13.4.2, 13.5.1, 17.4, D.1.2, D.1.3, додаток В кабелю)
к^белепідтримувальна конструкція 3.5, 3.14, 13.1.3, 13.4.2, 13.5.1, 13.5.6, 13.5.7, D.1.2
к-=белепровід 3.7, 3.14, 13.1.1, 13.1.3, 13.4.2, 13.4.3, 13.5.1, 13.5.3,
13.5.4, 13.5.5, 14.4, D.1.2
кароб 3.14, 7.2.8, 8.2.3, 12.3, 12.7.8, 13.1.3, 13.3, 13.4.1,
13.4.2, 13.5.1, 13.5.2, 17.4, додаток В
кваліфікована особа (з електротехніки) 3.53, 3.15, 3.19, 3.31, 5.5, 6.2.2, додаток В контрольоване зупинення 3.11, 9.2.2
копо керування (машини) 3.8, 3.9, 3.42, 4.1, 5.3.5, 5.4, 7.2.4, 9.1.1, 9.1.2, 9.1.3,
9.3.5, 9.4.1, 9.4.2.1, 9.4.2.2, 9.4.2.3, 9.4.3.1, 9.4.3.3,
11.2.2, 12.2, 12.4, 12.7.8, 13.2.4, 13.4.5, D.1.3
копо захисту 3.44, 5.1, 6.4.1, 7.2.4, 8.1, 8.2, 8.4, 9.1.1, 9.4.2.1,
9.4.3.1, 12.7.2, 13.1.1, 13.4.5, 13.5.1, 15.1, 15.2.1,
18.2.2, 18.2.3, 18.3, 18.4, А.З
комутувань ний пристрій 3.55, 3.10, 5.3.2, 5.3.3, 6.2.4, 7.2.10, 7.3.2, 8.2.4,
9.2.5.4.3, 9.4.2.1, 9.4.3.1, 13.4.4, 13.4.5
маркування 3.36, 5.4, 5.5, 6.2.2, 9.4.3.1, 10.2.2, 11.2.1, 11.2.2,
13.1.1, 13.2.2, 16, додаток В
м ашинне обладнання, машина 3.35, 1, 3.8, 3.9, 3.11, 3.20, 3,21, 3,28, 3.30, 3.32,
3.34, 3.54, 3.56, 3.57, 4.1, 4.2.2, 4.4.1, 4.4.8, 4.6, 5.1,
5.2, 5.3.1, 5.3.3, 5.4, 5.5, 6.3.3, 7.1, 7.2.1, 7.2.3, 7.3.1,
7.5, 7.8, 8.1, 8.2.1, 8.2.7, 9.1.1, 9.2.2, 9.2.3, 9.2.5.1,
9.2.5.2, 9.2.5.3, 9.2.5.4.1, 9.2.5A2, 9.2.5.4.3, 9.2.5.5,
9.2, Є.2, 9.2.6.3, 9.2.7.1, 9.2.7.2, 9.2.7.3, 9.2.7.4,
9.2.7.5, 9.3.1, 9.3.3, 9.3.4, 9.3.5, 9.4.1, 9.4.3.1, 10,
10.1.1, 10.1.2, 10.1.3, 10.1.4, 10.1.5, 10.3.2, 10.6, 11.1,
11.2.1, 11.3, 11.4, 12.2, 12.6.2, 12.7.1, 13.1.2, 13.4.3,
13.4.4, 13.5.6, 13.5.7, 13.5.8, 14.2, 14.4, 14.6, 15.1,
15.2, 16.2.1, 16.4, 17.1, 17.2, 17.4, 17.6, 18.1, 18.2.2,
18.2.3, 18.3, 18.7, А.1, А.З, А.4.2, додаток В, додаток С, D.1.2, D.1.4, F.1
надструм 3.39, 3.40, 3.52, 6.3.3, 7.1, 7.2, 7.7, 8.2.4, 9.1.3,
9.4.3.1, 14.1, 14.6, 15.1, 15.2.2, 17.4, 18.2.2, А.1, А.2, додаток В, D.2, D.3
небезпека 3.28, 1, 3.20, 3.31, 3.49, 3.50, 3.53, 4.1, 5.4, 6.2.2,
6.2.4, 6.3.1, 6.3.2, 6.3.3, 7.3.1, 7.4, 7.5, 7.6, 7.8, 8.2.5,
9.2.3, 9.2.5.1, 9.2.5.3, 9.2.5.4.1, 9.2.5.4.2, 9.2.5.4.3,
9.2.5.5, 9.2.6.4, 9.2.7.3, 9.2.7.5, 9.3.1, 9.3.2, 9.3.3,
9.3.4, 9.3.5, 9.4.1, 9.4.2.2, 9.4.2.3, 9.4.3.1, 9.4.3.2,
9.4.3.3, 10.1.1, 10.1.2, 10.1.4, 10.2.1, 10.3.2, 12.1,
12.3, 13.1, 13.4.5, 16.2.1, 16.2.2, 17.2, 18.2.3, додаток В, додаток Е
несправність 3.26, 3.23, 3.25, 3.29, 3.40, 3.52, 4.1, 6.3.2.2, 6.3.2.3,
6.3.3, 6.4.2, 7.1, 7.2.9, 7.7, 8.1, 8.2.1, 8.2.8, 9.2.5.1,
9.2.7.3, 9.4.2.3, 9.4.3.1, 17.6, 18.2.2, 18.2.3, 18.6, А.1, А.2, А.4.1, А.4.2, А.4.3
непрямий контакт 3.29, 6.1, 6.3, 6.4, 8.1, 18.1, додаток А
неконтрольоване зупинення 3.56, 9.2.2
незахищена струмопровідна частина 3.23, 3.29, 3.45, 6.3.1, 6.3.3, 7.2.3, 8.2.1, 8.2.3, 8.2.5,
8.4, А.1, А.2, А.З
нейтральний провід 3.37, 3.33, 5.1, 5.3.3, 7.2.3, 7.3.2, 9.4.3.1, 12.7.2,
13.2.3, 13.2.4, D.3
оболонка 3.20, 3.10, 4.4.2, 5.3.3, 6.2.2, 6.2.4, 7.2.8, 8.2.3, 8.2.5,
9.4.3.1, 10.1.1, 10.8.1, 10.8.2, 11.2.1, 11.2.2, 11.3,
11.4, 11.5, 12.4, 12.7.1, 12.7.6, 12.7.8, 13.3, 13.4.5,
13.4, 13.4.1, 13.4.2, 13.4,3, 13.5.6, 14.2, 15.2.1, 15.2.2,
16.2.1, 16.4, 16.5, додаток В, D.1.2
обладнання 3.21, 1, 3.2, 3.5, 3.8, 3.10, 3.15, 3.16, 3.19, 3.20, 3.21,
3.23, 3.27, 3.36, 3.42, 3.47, 3,51, 3.54, 3.57, 4.1, 4.2,
4.3.1, 4.3.4, 4.4.1, 4.4,2, 4.4.3, 4.4.4, 4.4.5, 4.4.6,
4.4.7, 4.4.8, 4.5, 4.6, 4.7, 5.1, 5.2, 5.3.1, 5.3.3, 5.3.5,
5.4, 5.5, 6.1, 6.2.1, 6.2.2, 6.2.4, 6.3.1, 6.3.2.1, 6.3.2.2,
6.4.1, 7.1, 7.2.2, 7.2.5, 7.7, 7.9, 8.1, 8.2.1, 8.2.2, 8.2.3,
8.2.7, 8.2.8, 8.4, 9.2, 9.2.5A2, 9.4.1, 11.1, 11.2.1,
11.2.2, 11.3, 11.4, 11.5, 12.2, 12.3, 12.4, 13.3, 13.4.2,
13.4.5, 13.5.3, 14.1, 14.5, 15.1, 15.2, 16.2.1, 16.2.2,
16.3, 16.4, 17.1, 17.2, 17.3, 17.4, 17.6, 17.7, 17.9, 18.1,
18.2.3, 18.3, 18.4, 18.6, 18.7, А.1, А.2, А.З, А.4.2, додаток В, D.1.2, додаток F
огорожа 3.3, 3.15, 3.19, 3.20, 6,2.1, 6.2.2, 6.2.5, 11.2.1, 11.2.2,
12.7.1, 13.1.3, 13.4.3
орган керування 3.1, 3.13, 9.2.5.4.1, 10.1.2, 10.2.1, 10.2.2, 10.4, 10.6,
10.7.3, 10.8.2, 10.8.3, 10.9
піднапругова частина 3.33, 3.12, 6.2.2, 6.2.3, 6.2.4, 6.3.1, 6.3.2, 6.3.3, 6.4.1,
8.2.5, 8.2.8, 12.7.1, 13.4.5, 13.4.7, А.1
перепона (перешкода) 3.38, 6.2.1, 6.2.2, 6.2.6, 9.2.5.4.3, 11.2.1
перевантаження 3.40, 7.1, 7.3.1, 7.3.2, 7.3.3, 9.2.5.5, 9.4.3.1, 14.1, 14.6,
15.1, додаток В, D.2
привід машини 3.34, 3.11, 3.35, 3.56, 9.2.2, 9.2.5.4.2, 9.2.5.4.3, 9.3.4,
14.6
пристрій керування 3.9, 3.17, 3.18, 9.1.1, 9.2.4, 9,2.5.2, 9.2.6.1, 9.2.6.2,
9.2.6.3, 9.2.6.4, 9.3.4, 9.4.2.1, 10.1.2, 10.1.3, 10.1.5,
10.5, 10.9, 11.2.1, 11.2.2, 13.3, 16.3, 16.5, 17.6, додаток В
пристрій аварійного зупинення 3.17,9.2.4, 9.2.7.3, 10.7, 10.8.1
пристрій аварійного вимикання 3.18, 9.2.5.4.1, 10.8
прямий контакт 3.12, 3.3, 3.20, 3.38, 6.1, 6.2.1, 6.2.2, 6.2.4, 6.4.1,
9.2.5.4.3, 10.1.3, 12.7.1
постачальник 3.54, 4.1, 4.2.1, 4.3.1, 4.4.1, 4.4.7, 4.4.8, 4.5, 4.7, 6.2.2,
7.2.2, 7.2.7, 10.3.2, 11.2.2, 12.3, 13.2.1, 16.3, 16.4,
17.1, 17.3, А.2, додаток В, F.1
проінструктована особа (з електротехніки) 3.31, 3.15, 3.19, 5.5, 6.2.2, додаток В резервування 3.48, 9.4.1, 9.4.2.2
ризик 3.48, 1, 3.31, 3.33, 3.43, 3.50, 3.53, 4.1, 4.2.2, 5.4, 6.3.1,
9.2.5.3, 9.2.5.4.1, 9.2.5.4.2, 9.2.6.2, 9.2.7.4, 9.4.1, 9.4.2,
11.4, 13.4.2, 16.2.1, 16.2.2, 17.2, додаток Е, F.1
робоча площадка 3.51,5.3.4, 10.1,2, 11,2.1
силове коло 3.42, 1, 3.35, 4.1, 7.2.3, 11.2.2, 12.2, 12.7.8, 13.2.4,
18.3, 18.4
споживач 3.57, 1, 3.54, 4.1, 4.3.1, 4.4.1, 4.4.7, 4.4.8, 4.5, 7.2.2,
7.3.2, 10.3.2, 13.2.1, 14.5, 16.3, 17.3, 17.4, 17.9, додаток В, F.1
стороння струмопровідна частина 3.24, 3.45, 8.2.1, 8.2.7, А.З
струм короткого замикання 3.52, 7.2.9, 12.7.8, додаток В, D.3
температура навколишнього середовища 3.2, 12.1, 12.4, А.4.3, додаток В узгоджений (одночаснй) 3.6, 9.2.5.2, 9.2,6.2
умовна познака 3.47, 11.2.1, 16.5, 17.3, додаток В
функціональне з’єднання 3.27, 4.4.2, 8.1, 8.3
штепсельний рознім 3.41, 5.3.2, 5.3.3, 5.6, 8.2.4, 11.2.1, 13.1.2, 13.3,
13.4.5, 13.4.6, 18.2.3 БІБЛІОГРАФІЯ
ІЕС 60038:2002 ІЕС standard voltages (ІЕС стандартні напруги)
ІЕС 60204-11:2000 Safety of machinery — Electrical equipment of machines — Part 11: Requirements for HV equipment for voltages above 1 000 V a.c. or 1 500 V d.c. and not exceeding 36 kV {Безпечність машин. Електрообладнання промислових машин. Частина 11. Вимоги до високовольтного обладнання, що працює за напруг понад 1000 В змінного струму або 1500 В постійного струму і не вище ні ж 36 кВ)
ІЕС 60204-31:2001 Safety of machinery — Electrical equipment of machines — Part 31: Particular safety and EMC requirements for sewing machines, units, and systems (Безпечність машин. Електрообладнання промислових машин. Частина 31. Додаткові вимоги щодо безпеки і вимоги до електромагнітної сумісності швейних машин, вузлів і систем)
ІЕС 60204-32:1998 Safety of machinery — Electrical equipment of machines — Part 32: Requirements for hoisting machines (Безпечність машин. Електрообладнання промислових машин. Частина 32. Вимоги до вантажопідіймальних машин)
ІЕС 60228:2004 Conductors of insulated cables (Струмопровідні жили ізольованих кабелів)
ІЕС 60269-1:1998 Low-voltage fuses — Part 1: General requirements (Запобіжники плавкі низьковольтні. Частина 1. Загальні технічні вимоги)
ІЕС 60287 (all parts) Electric cables — Calculation of the current rating (Кабелі електричні. Обчислення номінальної сили струму)
ІЕС 60332 (all parts) Tests on electric and optical fibre cables under fire conditions (Випробування електричних та оптичних кабелів в умовах виливу вогню)
ІЕС 60335 (all parts) Household and similar electrical appliances — Safety (Вогневі випробування електричних та волоконно-оптичних кабелів)
ІЕС 60364 (all parts) Electrical installations of buildings (Електроустановки будинків)
ІЕС 60757:1983 Code for designation of colours (Код для позначення кольорів)
ІЕС 60947-5-2:1997 Low-voltage switchgear and controlgear — Part 5-2: Control circuit devices and switching elements — Proximity switches Amendment 1 (1999) Amendment 2 (2003) (Пристрої комплектні розподільчі низьковольтні. Частина 5-2. Пристрої розподільчих кіл і комутаційні елементи. Безконтактні давані)
ІЕС 61000-5-2:1997 Electromagnetic compatibility (EMC) — Part 5: Installation and mitigation guidelines — Section 2: Earthing and cabling (Електромагнітна сумісність (EMC). Частина 5. Настанови щодо встановлення обладнання та притлумлення завад. Секція 2. Уземлювання та прокладання кабелів)
ІЕС 61000-6-1:1997 Electromagnetic compatibility (EMC) — Part 6: Generic standards — Section 1: Immunity for residential, commercial and light-industrial environments (Електромагнітна сумісність (EMC). Частина 6-1. Родові стандарти. Несприйнятливість обладнання у житловому і торговому середовищах та у виробничих зонах з малим енергоспоживанням)
ІЕС 61000-6-2:2005 Electromagnetic compatibility (EMC) — Part 6-2: Generic standards — Immunity for industrial environments (Електромагнітна сумісність (EMC). Частина 6-2. Родові стандарти. Несприйнятливість обладнання у промисловому середовищі)
ІЕС 61000-6-4:1997 Electromagnetic compatibility (EMC) — Part 6: Generic standards — Section 4: Emission standard for industrial environments (Електромагнітна сумісність (EMC). Частина 6-4. Родові стандарти. Емісія завад у промисловому середовищі)
ІЕС 61084-1:1991 Cable trunking and ducting systems for electrical installations — Part 1: General requirements (Кабелепідтримувальна і кабелепровідна системи для електричних установок. Частина 1, Загальні вимоги)
ІЕС 61180-2:1994 High-voltage test techniques for low-voltage equipment — Part 2: Test equipment (Методи випробування високої напруги для низьковольтного обладнання. Частина 2. Випробувальне обладнання)
ІЕС 61200-53:1994 Electrical installation guide — Part 53; Selection and erection of electrical equipment — Switchgear and controlgear (Настанова щодо електроустановок. Частина 53. Вибір і монтаж електрообладнання. Апаратура розподільча і керування)
ІЕС 61496-1:2004 Safety of machinery — Electro-sensitive protective equipment — Part 1: Genera! requirements and tests (Безпечність машин. Захисна епектрочутлива апаратура. Частина 1. Загальні езимоги та випробування)
ІЕС 61557 (all parts) Electrical safety in low voltage distribution systems up to 1 000 V a.c. and -1500 V d.c. — Equipment for testing, measuring or monitoring of protective measures (Електробезпечність низьковольтних розподільчих систем напругою до 1000 В змінного струму і 1500 В постійного струму. Обладнання для випробування, вимірювання або контролю заходів щодо безпеки)
ІЕС 61558-2-17:1997 Safety of power transformers, power supply units and similar — Part 2-17: Particular requirements for transformers for switch mode power supplies (Безпечність силових трансформаторів, силових блоків живлення і аналогічних пристроїв. Частина 2-17, Спеціальні вимоги до трансформаторів для імпульсних перетворювачів)
ІЕС 61800-3:2004 Adjustable speed electrical power drive systems — Part 3: EMC requirements and s tandard including specific test methods (Системи силового електроприводу з регульованою швидкістю. Частина 3. Вимоги до електромагнітної сумісності та спеціальні методи випробування)
ІЕС 61800-5-1:2003 Adjustable speed electrical power drive systems — Part 5-1: Safety requirements — Electrical, thermal and energy (Системи силового електроприводу з регульованою швидкістю. Частина 5-1. Вимоги щодо електричної, теплової та енергетичної безпечності)
CISPR 61000-6-3:1996 Electromagnetic compatibility (EMC) — Part 6: Generic standards — Section 3: Emission standard for residential, commercial and light-industrial environments (Електромагнітна сумісність (EMC). Частина 6-3. Родові стандарти. Емісія завад у житловому І торговому середовищах та у виробничих зонах з малим енергоспоживанням)
ІЕС Guide 106:1996 Guide for specifying environmental conditions for equipment performance rating (Настанова щодо визначення умов навколишнього середовища для встановлення номінальних характеристик обладнання)
ISO 3864-1:2002 Graphical symbols — Safety colours and safety signs — Part 1: Design principles for safety signs in workplaces and public areas (Графічні символи. Кольори та знаки безпеки. Частина 1. Принципи проектування знаків безпеки для робочих місць та місць громадського призначення) ISO 13849-2:2003 Safety of machinery — Safety-related parts of control systems — Part 2: Validation (Безпечність машин. Частини систем керування, пов’зані з безпекою. Частина 2. Перевірка)
ISO 13851:2002 Safety of machinery — Two-hand control devices — Functional aspects and design principles (Безпечність машин. Дворучні пристрої керування. Функціональні аспекти та принципи проектування)
ISO 14118:2000 Safety of machinery — Prevention of unexpected start-up (Безпечність машин. Запобігання несподіваному пуску)
ISO 14122-1:2001 Safety of machinery — Permanent means of access to machinery — Part 1; Choice of fixed means of access between two levels (Безпечність машин. Стаціонарні засоби доступу до машин. Частина 1. Вибір зафіксованих засобів доступу між двома рівнями)
ISO 14122-2:2001 Safety of machinery — Permanent means of access to machinery — Part 2: Working platforms and walkways (Безпечність машин. Стаціонарні засоби доступу до машин. Частина 2. Платформи робочі й походи)
ISO 14122-3:2001 Safety of machinery — Permanent means of access to machinery — Part 3: Stairs, stepiadders and guard-rails (Безпечність машин. Стаціонарні засоби доступу до машин. Частина З, Сходи, драбини зі східцями й перила)
CENELEC HD 516 S2 Guide to use of low-voltage harmonized cables (Настанова щодо застосування низьковольтних гармонізованих кабелів).
Дата: 25.12.2017
|