|  |
Справочная информация об Американском стандарте на провода (American Wire Gauge)
СТА (4/97)
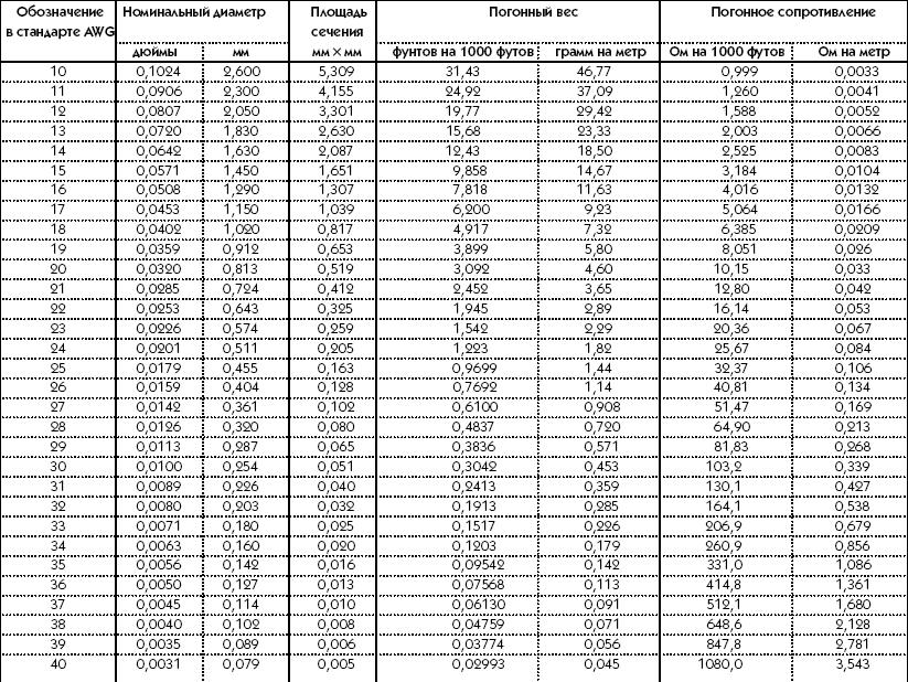
В настоящее время все большее применение в системах АСУ ТП находят импортные промышленные кабели передачи данных. Часто такие кабели маркируются в соответствии с западным стандартом AWG. Далее приводятся две таблицы, ставящие в соответствие обозначениям в стандарте AWG параметры, понятные большинству наших соотечественников.
Калибр провода в стандарте AWG отражает приведенный средний диаметр провода. Чем толще провод, тем меньше его калибр в AWG. Математически переход от калибра AWG к приведенному диаметру выражается следующей формулой:

Например, для провода калибра AWG 28 приведенный диаметр равен 12,6 mils или 0,320 мм.
Таблица 1. Одножильные нелужёные медные провода
.jpg)
Таблица 2. Многожильные лужёные медные провода

Дата: 09.07.2007
Ссылка: http://www.cta.ru
Файл: AWG.pdf, 124.46 Кб
|
|  |
|
| |
| |
|
| Публикации |
|
Промислові комп'ютери мають нормовані показники напрацювання на відмову (MTBF), що досягають сотень тисяч годин безперервної роботи |
|
читать
|
|
Забезпечуючи гарантований час процесорної обробки кожної програмної підсистеми, адаптивна декомпозиція помітно скорочує трудовитрати на інтеграцію всієї системи. |
|
читать
|
|
Завдяки розробкам компанії Adobe Systems, понад 300 мільйонів мобільних пристроїв мають графічний інтерфейс користувача (ГПІ/GUI), створений на основі технології Adobe Flash. |
|
читать
|
|
Після завантаження системи в багатьох додатках, що вбудовуються, повинні бути виконані певні дії протягом жорстко обмеженого тимчасового відрізка. |
|
читать
|
|
Опис різних варіантів створення насосної станції з каскадним керуванням, аналіз їх переваг та недоліків, вибір раціонального варіанту, опис необхідного обладнання |
|
читать
|
|
Розробники систем, що вбудовуються, виявляють все більший інтерес до операційної системи Linux. Тим не менш, стандартне ядро Linux не забезпечує передбачуваний час відгуку. |
|
читать
|
|
Архив публикаций |
|
|
|