Заземление в системах промышленной автоматизации
Виктор Денисенко, сотрудник НИЛ АП
Статья опубликована в журнале "СТА" №2 за 2006 год
Введение
Неправильное заземление в 40% случаев является причиной дорогостоящих простоев и порчи чувствительного оборудования, используемого в нефтяной, автомобильной и горной промышленности . Следствием неправильного заземления могут быть изредка появляющиеся сбои в работе систем, повышенная погрешность измерений, выход из строя чувствительных элементов, замедление работы системы вследствие появления потока ошибок в каналах обмена, нестабильность регулируемых параметров, ошибки в собираемых данных. Вопросы заземления тесно связаны с проблемами экранирования и методами борьбы с помехами в электронных системах.
Заземление является самой плохо понимаемой темой в автоматизации.
Сложность проблемы связана с тем, что источники помех, приёмники и пути их прохождения распределены в пространстве, момент их появления часто является случайной величиной, а местонахождение априори неизвестно. Сложно также провести измерения помех. Практически невозможно сделать и достаточно точный теоретический анализ, поскольку задача обычно является трёхмерной и описывается системой дифференциальных уравнений в частных производных.
Поэтому обоснование того или иного метода заземления, которое, строго говоря, должно опираться на математические расчёты, на практике приходится делать на основании опыта и интуиции. Решение проблем заземления в настоящее время находится на грани между пониманием, интуицией и везением.
Изучение влияния помех, связанных с неправильным заземлением, сводится к составлению правдоподобных упрощённых моделей системы, включающей источники, приёмники и пути прохождения помехи, с последующим анализом их влияния на характеристики системы и синтезом методов борьбы с ними.
Мы не будем рассматривать вопросы заземления энергетических электроустановок. Это отдельная тема, которая достаточно подробно рассмотрена в литературе по электроэнергетике. В настоящей статье речь идёт только о заземлении, используемом в системах промышленной автоматизации для обеспечения их стабильного функционирования, а также о заземлении с целью защиты персонала от поражения электрическим током, поскольку эти два вопроса невозможно рассматривать изолированно один от другого, не нарушая стандартов системы безопасности труда.
Определения
Под заземлением понимают как соединение с грунтом Земли, так и соединение с некоторым "общим проводом" электрической системы, относительно которого измеряют электрический потенциал. Например, в космическом корабле или самолёте "землёй" считают металлический корпус. В приёмнике с батарейным питанием за "землю" принимают систему внутренних проводников, которые являются общим проводом для всей электронной схемы. В дальнейшем мы будем использовать именно такое понятие "земли", не заключая больше это слово в кавычки, поскольку оно давно стало физическим термином. Потенциал земли в электрической системе не всегда равен нулю относительно грунта Земли. Например, в летящем самолёте за счёт генерации электростатического заряда потенциал земли (корпуса) самолёта может составлять сотни и тысячи вольт относительно поверхности Земли.
Аналогом земли космического корабля является "плавающая" земля — не соединённая с грунтом Земли система проводников, относительно которой отсчитывается потенциал в электрической подсистеме. Например, в модуле аналогового ввода с гальванической развязкой внутренняя аналоговая земля модуля может не соединяться с грунтом Земли или соединяться с ним через большое сопротивление, скажем, 20 МОм.
Под защитным заземлением понимают электрическое соединение проводящих частей оборудования с грунтом Земли через заземляющее устройство с целью защиты персонала от поражения электрическим током.
Заземляющим устройством называют совокупность заземлителя (то есть проводника, соприкасающегося с землёй) и заземляющих проводников.
Общим проводом (проводником) называют проводник в системе, относительно которого отсчитываются потенциалы. Обычно он является общим для источника питания и подключённых к нему электронных устройств.
Примером может быть провод, общий для всех 8 входов 8 канального модуля аналогового ввода с одиночными (недифференциальными) входами. Общий провод во многих случаях является синонимом земли, но он может быть вообще не соединён с грунтом Земли.
Сигнальным заземлением называют соединение с землёй общего провода цепей передачи сигнала.
Сигнальная земля делится на цифровую землю и аналоговую. Сигнальную аналоговую землю иногда делят на землю аналоговых входов и землю аналоговых выходов.
Силовой землёй будем называть общий провод в системе, соединённый с защитной землей, по которому протекает большой ток (большой по сравнению с током для передачи сигнала).
В основе такого деления земель лежит различный уровень чувствительности к помехам аналоговых и цифровых цепей, а также сигнальных и мощных (силовых) цепей и, как правило, гальваническая развязка между указанными землями в системах промышленной автоматизации.
Глухозаземлённой нейтралью называется нейтраль трансформатора или генератора, присоединённая к заземлителю непосредственно или через малое сопротивление (например, через трансформатор тока).
Нулевым проводом называется провод сети, соединённый с глухозаземлённой нейтралью.
Изолированной нейтралью называется нейтраль трансформатора или генератора, не присоединённая к заземляющему устройству.
Занулением называют соединение оборудования с глухозаземлённой нейтралью трансформатора или генератора в сетях трёхфазного тока или с глухозаземлённым выводом источника однофазного тока.
Далее мы будем также использовать термин "кондуктивный" – от слова conductor (проводник), то есть связанный с проводимостью материала. Например, кондуктивная помеха наводится через проводник, соединяющий две цепи.
Цели заземления
Защитное заземление служит исключительно для защиты людей от поражения электрическим током.
Необходимость выполнения защитного заземления часто приводит к увеличению уровня помех в системах автоматизации, однако это требование является необходимым, поэтому исполнение сигнальной и силовой землидолжно базироваться на предположении, что защитное заземление имеется и оно выполнено в соответствии с ПУЭ. Защитное заземление можно не применять только для оборудования с напряжением питания до 42 В переменного или 110 В постоянного тока, за исключением взрывоопасных зон.
Подробнее см. раздел "Заземление на взрывоопасных промышленных объектах" и ПУЭ (гл. 1.7).
Правила заземления для уменьшения помехи от сети 50 Гц в системах автоматизации зависят от того, используется ли сеть с глухозаземлённой или с изолированной нейтралью. Заземление нейтрали трансформатора на подстанции выполняется с целью ограничения напряжения, которое может появиться на проводах сети 220/380 В относительно Земли при прямом ударе молнии или в результате случайного соприкосновения с линиями более высокого напряжения, или в результате пробоя изоляции токоведущих частей распределительной сети.
Электрические сети с изолированной нейтралью используются для избежания перерывов питания потребителя при единственном повреждении изоляции, поскольку при пробое изоляции на землю в сетях с глухозаземлённой нейтралью срабатывает защита и питание сети прекращается.
Кроме того, в цепях с изолированной нейтралью при пробое изоляции на землю отсутствует искра, которая не избежна в сетях с глухозаземлённой нейтралью. Это свойство очень важно при питании оборудования во взрывоопасной зоне. В США в нефтегазовой и химической промышленности используется также заземление нейтрали через сопротивление, ограничивающее ток на землю в случае короткого замыкания.
Сигнальная земля служит для упрощения электрической схемы и удешевления устройств и систем промышленной автоматизации. При использовании сигнальной земли в качестве общего провода для разных цепей появляется возможность применения одного общего источника питания для всей электрической цепи вместо нескольких "плавающих" источников питания. Электрические цепи без общего провода (без земли) всегда можно преобразовать в цепи с общим проводом и наоборот по правилам, изложенным в работе.
В зависимости от целей применения сигнальные земли можно разделить на базовые и экранные. Базовая земля используется для отсчёта и передачи сигнала в электронной цепи, а экранная земля используется для заземления экранов.
Базовая сигнальная земля используется также для "привязки" потенциала изолированной части электрической цепи к земле системы. Например, если входные каскады модуля ввода сигналов термопар имеют гальваническую развязку от земли системы, то потенциал входов может быть каким угодно вследствие заряда паразитной ёмкости между землёй и входными каскадами. Во время грозы этот потенциал может составить тысячи вольт (см. раздел "Молния и атмосферное электричество"), что приведёт к пробою гальванической изоляции модуля. Для предотвращения этого явления аналоговая земля входных каскадов (обозначается как A.GND в модулях RealLab! и ADAM) должна быть соединена с землёй системы, как это будет описано далее.
Экранная земля используется для заземления экранов кабелей, экранирующих перегородок, корпусов приборов, а также для снятия статических зарядов с трущихся частей транспортёрных лент, ремней электроприводов и т.п.
Общие вопросы заземления
Большинство проблем заземления возникают вследствие необходимости защиты человека от поражения электрическим током. В этом смысле было бы лучше, если бы Земля и человек состояли из диэлектрика. С Землёй соединена нейтраль трансформатора электрической подстанции, она является частью генератора электростатического заряда во время грозы, обкладкой паразитных ёмкостей и проводником, в котором за счёт явления электромагнитной индукции наводятся токи. Земля как проводник участвует практически в любой электрической системе, и её наличие нельзя игнорировать.
Защитное заземление зданий
В качестве защитных заземляющих проводников используют естественные и искусственные заземлители. К естественным заземлителям относятся, например, стальные и железобетонные каркасы производственных зданий, металлические конструкции производственного назначения, стальные трубы электропроводок, алюминиевые оболочки кабелей, металлические стационарные открыто проложенные трубопроводы всех на значений, за исключением трубопроводов горючих и взрывоопасных веществ, канализации и центрального отопления. Если их проводимость удовлетворяет требованиям к заземлению, то дополнительные проводники для заземления не используются. Возможность использования железобетонного фундамента здания объясняется тем, что удельное сопротивление влажного бетона примерно равно удельному сопротивлению земли (150... 300 Ом•м).
Искусственные (специально изготовленные) заземлители используют, когда сопротивление заземления превышает установленные ПУЭ нормы.
Конструктивно они представляют собой трубы, уголки, пруты, помещённые в землю вертикально на глубину 3 м или горизонтально на глубину не менее 50…70 см. Для улучшения равномерности распределения потенциала земли (для уменьшения "напряжения шага") используют несколько заземлителей, соединяя их стальной полосой. На электрических подстанциях используют сетку заземлителей.
При соединении заземлителей между собой не рекомендуется образовывать замкнутый контур большой площади, поскольку он является "антенной", в которой может циркулировать большой ток во время разрядов молнии.
Лучшие результаты получаются присоединении заземлителей в форме сетки, когда площадь каждого контура сетки много меньше общей площади, охватываемой заземлителями. Различные конструкции заземляющих устройств приведены в Справочнике: "Заземляющие устройства электроустановок" Р.Н.Карякин.
Несмотря на рекомендации многих авторов избегать контуров при выполнении разводки шин заземления по зданию, на практике, например при использовании естественных заземлителей, избежать этого часто не удаётся. Железобетонные конструкции промышленных зданий содержат металлические арматурные прутья, которые соединяются между собой сваркой. Таким образом, система заземления здания представляет собой металлическую клетку, нижняя часть которой электрически соединена с грунтом. Монтажная организация обеспечивает надёжный контакт между собой всех металлических конструкций здания и оформляет акты на скрытые работы.
Заземляющий контакт для подключения оборудования при этом представляет собой болт за земления, приваренный к металлической закладной конструкции элемента колонны или фундамента здания.
При монтаже систем заземления нужно избегать зазоров в контурах, на которые может наводиться эдс магнитным полем молнии, чтобы избежать появления искры и возможного возгорания горючих веществ в здании.
В зданиях для размещения связного оборудования систему проводников заземления выполняют в виде сетки. Сетка выполняет одновременно функции заземления и электромагнитного экрана здания. На электростанциях в помещении с устройствами промышленной автоматики стены и потолок экранируют стальными плитами, окна и отверстия для кондиционирования закрывают медной сеткой, пол выполняют из электропроводного пластика. Необходимо обращать внимание на качество контактов в цепи заземления.
В статье: Burleson J. Wiring and grounding to prevent power quality problems with industrial equipment // Textile, Fiber and Film Industry Technical Conference, 89 May,1991. Р. 5/15/6 описан случай, когда плохо затянутый болт в цепи заземления приводил к сбоям в работе системы, причину которых искали несколько лет. При конструировании заземления нельзя использовать контакты разнородных металлов, чтобы не образовывались гальванические пары, являющиеся местами быстрой коррозии.
При монтаже аппаратуры в построенном здании система заземляющих проводников, как правило, уже смонтирована, и шина защитного заземления разведена по зданию.
Автономное заземление
К системе защитного заземления промышленного объекта могут быть подключены силовые установки, которые поставляют большой ток помехи в провод заземления. Поэтому для точных измерений может потребоваться отдельная земля, выполненная по технологии искусственного заземления в грунт. Такое заземление соединено с общим заземлением здания только в одной точке для целей выравнивания потенциала между разными землями, что важно при ударе молнии.
Второй вариант автономной, "чистой" земли можно получить с помощью изолированного провода, который нигде не соединяется с металлическими конструкциями здания, но соединяется с основной клеммой заземления у ввода нейтрали питающего фидера в здание. Шину такого заземления делают из меди, её поперечное сечение составляет не менее 13 кв. мм.
Заземляющие проводники
Проводники, соединяющие оборудование с заземлителем, должны быть по возможности короткими, чтобы снизить их активное и индуктивное сопротивление. Для эффективного заземления на частотах более 1 МГц проводник должен быть короче 1/20, а лучше 1/50 длины волны самой высокочастотной гармоники в спектре помехи (см. также раздел "Модель земли"). При частоте помехи 10 МГц (длина волны 30 м) и длине проводника 7,5 м (1/4 от длины волны) модуль его комплексного сопротивления на частоте помехи будет равен бесконечности, то есть такой проводник можно использовать в качестве изолятора, но не для заземления.
При наличии фильтров в системе автоматизации за максимальную частоту влияющей помехи можно принимать верхнюю граничную частоту фильтра.
Чтобы снизить падение напряжения на заземлителе, надо уменьшать его длину. Индуктивное сопротивление провода заземления на частоте помехи f равно:
XL = 2 π f L l ,
где L — погонная индуктивность провода, в типовых случаях равная примерно 0,8 мкГн/м, l – длина провода.
Если провода заземления располагаются близко один от другого, то между ними возникает передача помехи через взаимную индуктивность, что особенно существенно на высоких частотах.
Провода заземления не должны образовывать замкнутых контуров, которые являются приёмниками (антеннами) электромагнитных наводок.
Заземляющий проводник не должен касаться других металлических предметов, поскольку такие случайные нестабильные контакты могут быть источником дополнительных помех.
Модель земли
На основании изложенного можно предложить электрическую модель системы заземления, показанную на рис. 1. При составлении модели предполагалось, что система заземления состоит из заземляющих электродов,соединённых между собой сплошной шиной заземления, к которой приварена пластина (клемма) заземления. К клемме заземления подсоединяются, к примеру, две шины (два проводника) заземления, к которым в разных местах подключается заземляемое оборудование.
Если шины заземления или заземляющие проводники проходят близко один от другого, то между ними существует магнитная связь с коэффициентом взаимной индукции M (рис. 1).

Рис. 1. Электрическая модель системы заземления
Каждый участок проводника (шины) системы заземления имеет индуктивность Lij, сопротивление Rij, и в нём наводится эдс Eij путём электромагнитной индукции. На разных участках шины заземления к ней подсоединено оборудование системы автоматизации, которое поставляет в шину заземления ток помехи In21... In23, вызванный описываемыми в разделе "Источники помех на шине земли" причинами, и ток питания, возвращающийся к источнику питания по шине земли.
На рис. 1 изображено также сопротивление между заземляющими электродами RЗемли и ток помехи In Земли, протекающий по земле, например, при ударах молнии или при коротком замыкании (к.з.) на землю мощного оборудования.
Если шина сигнального заземления используется одновременно для питания системы автоматизации (этого нужно избегать), то необходимо учитывать её сопротивление. Сопротивление медного провода длиной 1 м и диаметром 1 мм равно 0,022 Ом. В системах промышленной автоматизации при расположении датчиков на большой площади, например в элеваторе или цехе, длина заземляющего проводника может достигать 100 м и более. Для проводника длиной 100 м сопротивление составит 2,2 Ом. При количестве модулей системы автоматизации, питаемых от одного источника, равном 20, и токе потребления одного модуля 0,1 А падение напряжения на сопротивлении заземляющего проводника составит 4,4 В.
При частоте помехи более 1 МГц возрастает роль индуктивного сопротивления цепи заземления, а также ёмкостной и индуктивной связи между участками цепей заземления. Провода заземления начинают излучать электромагнитные волны и сами становятся источниками помех.
На высоких частотах проводник заземления или экран кабеля, проложенный параллельно полу или стене здания, образует совместно с заземлёнными металлическими конструкциями здания длинную линию с волновым сопротивлением порядка 500...1000 Ом, короткозамкнутую на конце. Поэтому сопротивление проводника для высокочастотных помех определяется не только его индуктивностью, но и явлениями, связанными с интерференцией между падающей волной помехи и отражённой от заземлённого конца провода.
Зависимость модуля комплексного сопротивления проводника заземления между точкой его подключения к заземляемому оборудованию и ближайшей точкой железобетонной конструкции здания от длины этого проводника можно приблизительно описать формулой для двухпроводной воздушной линии передачи:
Zвх ≈ Rв tg (2π L/λ),
где Rв – волновое сопротивление, L – длина проводника заземления, λ – длина волны помехи (λ ≈ c/f, с – скорость света в вакууме, равная 300 000 км/с, f – частота помехи).
График, построенный по данной формуле для типового проводника заземления (экрана) диаметром 3 мм при расстоянии до ближайшего прута железобетонной арматуры здания 50 см (при этом волновое сопротивление составляет 630 Ом), приведён на рис. 2.

Рис. 2. Зависимость модуля комплексного сопротивления заземляющего проводника от длины провода
Отметим, что когда длина проводника приближается к 1/4 длины волны помехи, его сопротивление стремится к бесконечности.
Таким образом, шина земли является в общем случае "грязной" землёй, источником помех, имеет активное и индуктивное сопротивление. Она является эквипотенциальной только с точки зрения защиты от поражения электрическим током, но не с точки зрения передачи сигнала. Поэтому если в контур, включающий источник и приёмник сигнала, входит участок "грязной" земли то напряжение помехи будет складываться с напряжением источника сигнала и прикладываться ко входу приёмника (см. раздел "Кондуктивные наводки").
Виды заземлений
Одним из путей ослабления вредного влияния цепей заземления на системы автоматизации является раздельное выполнение систем заземлений для устройств, имеющих разную чувствительность к помехам или являющихся источниками помех разной мощности.
Раздельное исполнение заземляющих проводников позволяет выполнить их соединение с защитной землёй в одной точке. При этом разные системы земель представляют собой лучи звезды, центром которой является контакт к шине защитного заземления здания. Благодаря такой топологии помехи "грязной" земли не протекают по проводникам "чистой" земли. Таким образом, несмотря на то что системы заземления разделены и имеют разные названия, в конечном счёте все они соединены с Землёй через систему защитного заземления.
Исключение составляет только "плавающая" земля (см. раздел „Плавающая” земля").
Силовое заземление
В системах автоматизации могут использоваться электромагнитные реле, микромощные серводвигатели, электромагнитные клапаны и другие устройства, ток потребления которых существенно превышает ток потребления модулей ввода/вывода и контроллеров. Цепи питания таких устройств выполняют отдельной парой свитых проводов (для уменьшения излучаемых помех), один из которых соединяется с шиной защитного за земления. Общий провод такой системы (обычно провод, подключённый к отрицательному выводу источника питания) является силовой землёй.
Аналоговая и цифровая земля
Системы промышленной автоматизации являются аналого-цифровыми. Поэтому одним из источников погрешностей аналоговой части является помеха, создаваемая цифровой частью системы. Для исключения прохождения помех через цепи заземления цифровую и аналоговую землю выполняют в виде несвязанных проводников, соединённых вместе только в одной общей точке. Для этого модули ввода/вывода и промышленные контроллеры имеют отдельные выводы аналоговой земли (A.GND) и цифровой (D.GND).
"Плавающая" земля
"Плавающая" земля образуется в случае, когда общий провод небольшой части системы электрически не соединяется с шиной защитного заземления (то есть с Землёй). Типовыми примерами таких систем являются батарейные измерительные приборы, автоматика автомобиля, бортовые системы самолёта или космического корабля. "Плавающая" земля может быть получена и с помощью DC/DC или AC/DC преобразователей, если вывод вторичного источника питания в них не заземлён.Такое решение позволяет полностью исключить кондуктивные наводки через общий провод заземления. Кроме того, допустимое синфазное напряжение может достигать 300 вольт и более, практически 100 процентным становится подавление прохождения синфазной по мехи на выход системы, снижается влияние ёмкостных помех. Однако на высоких частотах токи через ёмкость на землю существенно снижают последние два достоинства.
Если "плавающая" земля получена с помощью устройств гальванической развязки на оптронах и DC/DC преобразователях, то надо принять особые меры для предотвращения накопления заряда в ёмкости между Землёй и "плавающей" землёй, которое может привести к пробою оптрона (см. разделы "Гальваническая развязка" и "Статическое электричество").
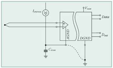
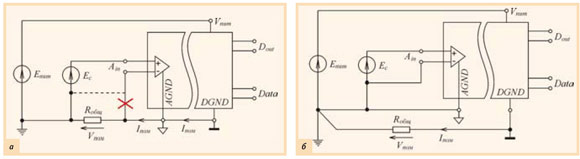
Пример образования "плавающей" земли показан на рис. 3.

Рис. 3. Пример "плавающей" земли
Условные обозначения:
AGND — аналоговая земля; DGND — цифровая земля; Data — информационный порт модуля (вход/выход данных); Dout — дискретный выход; Сплав — эквивалентная ёмкость на землю; Iутечки — ток утечки; Vпит — клемма подключения источника питания.
Вывод AGND модуля ввода сигналов термопар не соединён с землёй. Условно показанный разрыв в изображении модуля символизирует гальваническую развязку между его частями. Аналоговая часть модуля имеет эквивалентную ёмкость на землю Сплав, которая включает в себя ёмкость входных цепей на землю, ёмкость проводников печатной платы на землю, проходную ёмкость DC/DC преобразователя и оптронов гальванической развязки.
Величина этой ёмкости может составлять около 100 пФ и более. Поскольку воздух и другие диэлектрики, с которыми контактирует ёмкость Сплав, имеют не бесконечное электрическое сопротивление, то ёмкость может медленно, в течение минут или часов, зарядиться током утечки Iутечки до потенциала электризованных тел, высоковольтных источников питания или потенциала, связанного с атмосферным электричеством (см. разделы "Молния и атмосферное электричество" и "Статическое электричество").
Потенциал на "плавающей" земле может превысить напряжение пробоя изоляции оптронов и вывести систему из строя.
В качестве защитных мер при использовании "плавающей" земли можно рекомендовать соединение "плавающей" части с землёй через сопротивление величиной от десятков килоом до единиц мегаом. Вторым способом является применение батарейного питания и передачи информации через оптическийкабель.
"Плавающая" земля чаще используется в технике измерений малых сигналов и реже – в системах промышленной автоматизации.
Модели компонентов систем автоматизации
Для дальнейшего анализа и синтеза систем заземления необходимо представлять структуру модулей систем промышленной автоматизации. Такое представление дают модели типовых модулей аналогового и дискретного ввода и вывода, представленные на рис. 4, 5 и 6.

Рис. 4. Обобщённые модели аналоговых модулей ввода и дискретного вывода для анализа систем заземления:
а — без гальванической изоляции; б — с гальванической изоляцией аналоговых входов; в — с изоляцией как входов, так и выходов

Рис. 5. Обобщённые модели дискретных модулей для анализа систем заземления:
а — без гальванической изоляции; б — с изоляцией входов; в — с изоляцией и входов, и выходов
В этих рисунках использованы следующие обозначения: AGND – аналоговая земля, DGND – цифровая земля, GND – земля источника питания порта связи, Data – информационный порт модуля (вход/выход данных), Ain – аналоговый вход, Dout – дискретный выход, Din – дискретный вход, Aout – аналоговый выход, Vпит – клемма подключения источника питания; разрыв в изображении модуля означает гальваническую изоляцию между "разорванными" частями. Модули аналогового ввода и дискретного вывода бывают без гальванической изоляции (рис. 4 а – пример модели модуля CL8AI фирмы НИЛАП), с изоляцией аналоговых входов и без изоляции дискретных выходов (рис. 4 б – пример модели модуля ADAM-4016 фирмы Advantech) и с изоляцией одновременно как аналоговых входов, так и дискретных выходов (рис. 4 в – пример модели модуля NL8TI фирмы НИЛ АП).
Аналогично модули с дискретными или счётными входами и дискретными выходами могут быть без гальванической изоляции (рис. 5 а – пример модели модуля ADAM-4050 фирмы Advantech), с изоляцией входов (рис. 5 б – пример модели модуля ADAM4052 фирмы Advantech) и с изоляцией как входов, так и выходов (рис. 5 в – пример модели модуля NL16DI фирмы НИЛ АП).
Модули аналогового вывода делают обычно с гальванической изоляцией выходов (рис. 6). Таким образом, один модуль ввода/вывода может содержать до трёх различных выводов земли.

Рис. 6. Обобщённая модель модулей аналогового вывода для анализа систем заземления
В моделях на рис. 4, 5 и 6 с целью упрощения не показаны входные сопротивления, которые иногда нужно учитывать.
Гальваническая развязка
Гальваническая развязка цепей является радикальным решением большинства проблем, связанных с заземлением, и её применение фактически стало стандартом в системах промышленной автоматизации.
Для осуществления гальванической развязки (изоляции) необходимо выполнить подачу энергии и передачу сигнала в изолированную часть цепи.
Подача энергии выполняется посредством развязывающего трансформатора (в DC/DC или AC/DC-преобразователях) или с помощью автономных источников питания (гальванических батарей и аккумуляторов). Передача сигнала осуществляется через оптроны и трансформаторы, элементы с магнитной связью, конденсаторы или оптоволокно.
Основная идея гальванической развязки заключается в том, что в электрической цепи полностью устраняется путь, по которому возможна передача кондуктивной помехи.
Гальваническая изоляция позволяет решить следующие проблемы:
- исключает появление паразитных токов по земле, уравнивающих потенциалы, и тем самым снижает индуктивные наводки, вызванные этими токами;
- уменьшает практически до нуля напряжение синфазной помехи на входе дифференциального приёмника аналогового сигнала (например, на рис. 3 синфазное напряжение на термопаре относительно Земли не влияет на дифференциальный сигнал на входе модуля ввода);
- защищает от пробоя вследствие синфазного перенапряжения входные и выходные цепи модулей ввода и вывода (например, на том же рис. 3 синфазное напряжение на термопаре относительно Земли может быть каким угодно большим, если оно не превышает напряжение пробоя изоляции).
Для применения гальванической развязки система автоматизации делится на автономные изолированные подсистемы, между которыми отсутствуют проводники (гальванические связи). Каждая подсистема имеет свою локальную землю. Подсистемы заземляют только для обеспечения электробезопасности и локальной защиты от помех.
Основным недостатком цепей с гальванической развязкой является повышенный уровень помех от DC/DC-преобразователя, который, однако, для низкочастотных схем можно сделать достаточно малым с помощью цифровой и аналоговой фильтрации (см. раздел "Характеристики помех"). На высоких частотах ёмкость подсистемы на землю и ёмкость между обмотками трансформатора являются факторами, ограничивающими достоинства гальванически изолированных систем. Ёмкость на землю можно уменьшить, применяя оптический кабель и уменьшая геометрические размеры гальванически изолированной подсистемы.
Распространённой ошибкой при применении гальванически развязанных цепей является неверная трактовка понятия "напряжение изоляции". В частности, если напряжение изоляции модуля ввода составляет 3 кВ, это не означает, что его входы могут находиться под таким высоким напряжением в рабочих условиях.
Рассмотрим методы описания характеристик изоляции. В зарубежной литературе для этого используют три стандарта: UL 1577, VDE 0884 и IEC 61010-01, но в описаниях устройств гальванической развязки не всегда даются на них ссылки. Поэтому понятие "напряжение изоляции" трактуется в отечественных описаниях зарубежных приборов неоднозначно. Главное различие состоит в том, что в одних случаях речь идёт о напряжении, которое может быть приложено к изоляции неограниченно долго (рабочее напряжение изоляции), а в других случаях речь идёт об испытательном напряжении (напряжение изоляции), которое прикладывается к образцу в течение времени от 1 минуты до нескольких микросекунд. Испытательное напряжение может в 10 раз превышать рабочее и предназначено для ускоренных испытаний в процессе производства, поскольку определяемое этим напряжением воздействие на изоляцию зависит также от длительности тестового импульса.

Табл. 1 показывает связь между рабочим и испытательным (тестовым) напряжением изоляции по стандарту IEC 61010-01. Как видно из таблицы, такие понятия, как рабочее напряжение, постоянное, среднеквадратическое или пиковое значение тестового напряжения могут отличаться очень сильно.
Электрическая прочность изоляции отечественных средств автоматизации испытывается по ГОСТ 51350 или ГОСТ Р МЭК 60950-2002, то есть синусоидальным напряжением с частотой 50 Гц в течение 1 минуты при напряжении, указываемом в руководстве по эксплуатации как напряжение изоляции. Например, при испытательном напряжении изоляции 2300 В рабочее напряжение изоляции составляет всего 300 В (табл. 1).
Источники помех на шине Земли
Все помехи, воздействующие на кабели, датчики, исполнительные механизмы, контроллеры и металлические шкафы автоматики, в большинстве случаев протекают и по заземляющим проводникам, создавая паразитное электромагнитное поле вокруг них и падение напряжения помехи на проводниках.
Источниками и причинами помех могут быть молния, статическое электричество, электромагнитное излучение, "шумящее" оборудование, сеть питания 220 В с частотой 50 Гц, переключаемые сетевые нагрузки, трибоэлектричество, гальванические пары, термоэлектрический эффект, электролитические процессы, движение проводника в магнитном поле и др.
Государственные центры стандартизации и сертификации во всех странах мира не разрешают производство оборудования, являющегося источником помех недопустимо высокого уровня.
Однако уровень помех невозможно сделать равным нулю. Кроме того, на практике встречается достаточно много источников помех, связанных с неисправностями или применением несертифицированного оборудования.
В России допустимый уровень помех и устойчивость оборудования к их воздействию нормируются ГОСТ Р 51318.14.1, ГОСТ Р 51318.14.2, ГОСТ Р 51317.3.2, ГОСТ Р 51317.3.3, ГОСТ Р 51317.4.2, ГОСТ 51317.4.4, ГОСТ Р 51317.4.11, ГОСТ Р 51522, ГОСТ Р 50648.
При конструировании электронной аппаратуры для снижения уровня помех используют микромощную элементную базу с минимально достаточным быстродействием, а также практикуют уменьшение длины проводников и экранирование.
Характеристики помех
Основная характеристика помехи это зависимость спектральной плотности мощности помехи от частоты.
Помехи, воздействующие на системы промышленной автоматизации, имеют спектр от нулевой частоты до единиц гигагерц (рис. 7). Помехи, лежащие в полосе пропускания аналоговых схем, имеют частоты до десятков килогерц. На цифровые цепи воздействуют помехи в полосе до сотен мегагерц. Помехи гигагерцевого диапазона непосредственного влияния на системы автоматизации не оказывают, однако после детектирования в нелинейных элементах они порождают низкочастотные помехи, лежащие в границах воспринимаемого спектра.

Рис. 7. Относительный уровень спектральной плотности мощности и частоты основных источников электромагнитных помех
В сигнальных цепях и цепях заземления систем автоматизации содержится весь спектр возможных помех. Однако влияние оказывают только помехи, частоты которых лежат в полосе пропускания систем автоматизации. Среднеквадратическое значение напряжения (или тока) помехи Епомехи определяется шириной её спектра:

где: e2 (f) – спектральная плотность мощности помехи, В2/Гц; fн и fв нижняя и верхняя границы спектра помехи. В частном случае, когда e2 (f) слабо зависит от частоты, приведённое соотношение упрощается:

Таким образом, для уменьшения влияния помех на системы автоматизации нужно сужать ширину полосы пропускания (fв – fн) аналоговых модулей ввода и вывода. Например, если постоянная времени датчика τ составляет 0,3 с, что приблизительно соответствует полосе пропускания сигнала

то ограничение полосы пропускания модуля ввода величиной 0,5 Гц позволит уменьшить уровень помехи и тем самым повысить точность измерений, снизить требования к заземлению, экранированию и монтажу системы. Однако фильтр вносит динамическую погрешность в результаты измерения, зависящую от частоты (спектра) входного сигнала. В качестве примера на рис. 8 приведена зависимость погрешности измерений модулей RealLab! серии NL от частоты: при частоте входного сигнала 0,5 Гц (как в рассматриваемом примере) погрешность, вносимая фильтром, составляет –0,05%.

Рис. 8. Зависимость динамической погрешности от частоты входного сигнала на примере модулей RealLab! серии NL
Наиболее мощной в системах автоматизации является помеха с частотой питающей сети 50 Гц. Поэтому для её подавления используют узкополосные фильтры, настроенные точно (с помощью кварца) на частоту 50 Гц. На рис. 9 в качестве примера приведена амплитудно-частотная характеристика (АЧХ) цифрового фильтра, использованного в аналоговых модулях NL: фильтр настроен таким образом, что он ослабляет на 120 дБ (на 6 порядков) помеху с частотой 50 Гц. Следует отметить, что динамическая погрешность свойственна всем известным методам ослабления помехи нормального вида, хотя она часто не указывается в характеристиках аналоговых модулей, что может вводить пользователя в заблуждение.

Рис. 9. АЧХ SINC3 фильтра, входящего в состав аналоговых модулей NL
При ещё большей инерционности датчиков или контролируемой системы (например, когда датчик стоит в печи, время выхода на режим которой составляет несколько часов) можно более существенно снизить требования к уровню помех, введя процедуру многократных измерений и дополнительную цифровую фильтрацию в управляющем контроллере или компьютере. В общем случае, чем больше время измерения, тем точнее можно выделить сигнал на фоне шума.
Следует отметить, что наличие фильтра не всегда спасает от влияния помех. Например, если высокочастотная помеха, перед тем как попасть на вход модуля ввода, детектируется или выпрямляется на нелинейных элементах, то из сигнала помехи выделяется постоянная или низкочастотная составляющая, которая уже не может быть ослаблена фильтром модуля ввода. В качестве нелинейных элементов могут выступать, например, контакты разнородных металлов, защитные диоды, стабилитроны, варисторы.
Помехи из сети электроснабжения

Рис. 10. Виды помех, проникающих из сети питания: а — от разряда молнии; б — при переключении индуктивной нагрузки; в — от радиостанций
Питающая сеть 220/380 В с частотой 50 Гц и подключённые к ней блоки питания являются источниками следующих помех:
- фон с частотой 50 Гц;
- выбросы напряжения от разряда молнии (рис. 10 а);
- кратковременные затухающие колебания при переключении индуктивной нагрузки (рис. 10 б);
- высокочастотный шум (например, помеха от работающей радиостанции), наложенный на синусоиду 50 Гц (рис. 10 в);
- инфранизкочастотный шум, проявляющийся как нестабильность во времени величины среднеквадратического значения сетевого напряжения (рис. 11);
- долговременные искажения формы синусоиды и гармоники при насыщении сердечника трансформатора и по другим причинам.

Рис. 11. Изменения средневыпрямленного значения сетевого напряжения в течение суток (измерено в НИЛ АП 12.11.2005)
Наибольшее влияние на системы промышленной автоматики оказывают первые три вида помех. Для уменьшения кратковременных выбросов напряжения используют специальные защитные диоды и варисторы. Инфранизкочастотный шум и искажения синусоиды отфильтровываются стабилизатором и сглаживающим фильтром сетевого источника питания и не проходят сквозь паразитные ёмкости сетевого трансформатора.
Причинами и источниками сетевых помех могут быть разряды молнии при попадании в линию электропередачи, включение или выключение электроприборов, тиристорные регуляторы мощности, реле, электромагнитные клапаны, электродвигатели, электросварочное оборудование и др.
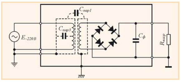
Путь проникновения сетевой помехи показан на рис. 12. Силовой или развязывающий трансформатор включён в сеть 220 В (50 Гц). Сеть представлена эквивалентным источником напряжения сети Е~220В и эквивалентным источником помех Епомехи, описанными ранее. Нулевой провод источника сетевого напряжения заземлён на главном щите у ввода в здание. Если выход источника питания тоже заземлён, что часто необходимо для целей электробезопасности, то возникает путь протекания тока помехи, показанный на рис. 12, включающий сопротивление земли между двумя заземлителями RЗемли. Основным звеном в этой цепи является паразитная ёмкость между обмотками силового трансформатора Спар1, для уменьшения влияния которой часто используют заземлённый электростатический экран (рис. 13).

Рис. 12. Путь проникновения помехи из сети 220 В (50 Гц) в систему заземления и общий провод источника питания
Ток помехи протекает по общему проводу источника питания и заземлителю (рис. 12), создавая на их сопротивлении падение напряжения помехи, о котором речь пойдёт в следующих разделах (на рис. 12 эти участки цепи выделены жирной линией). Ток помехи фактически может замыкаться не на подстанции, а через внутреннее сопротивление других электроприборов, подключённых к электрической сети, а также через ёмкость кабеля.
Наиболее значительной помехой, проникающей в шину заземления из сети 220 В (50 Гц), являются ёмкостные токи, протекающие через ёмкость между обмоткой двигателя и его корпусом, токи между сетевой обмоткой трансформатора и сердечником, токи через конденсаторы сетевых фильтров.
Путь тока помехи через ёмкость между первичной обмоткой трансформатора и его заземлённым сердечником Спар3 показан на рис. 12. Этот ток также протекает через общий провод источника питания и заземлитель.
Наличие ёмкости приводит к тому, что незаземлённые электроприборы "бьют током". При отсутствии заземления потенциал металлического корпуса приборов, подключённых к сети 220 В, составляет от нескольких десятков до 220 В в зависимости от сопротивления утечки на землю. Поэтому корпуса приборов, включённых в сеть 220 В, должны быть заземлены.
При использовании DC/DC и AC/DC-преобразователей к источнику помехи Епомехи добавляется ёмкостная и индуктивная наводка от собственного генератора преобразователя. Поэтому в общем случае уровень помех на общем проводе у DC/DC- и AC/DC-преобразователей выше, чем в источниках с обычным силовым трансформатором, хотя проходная ёмкость Спар1 в преобразователях может быть уменьшена до единиц пикофарад по сравнению с сотнями пикофарад для обычного силового трансформатора.
Для уменьшения проникновения помехи в источниках питания используют раздельное экранирование первичной и вторичной обмоток трансформатора, а также разделение сигнальной и корпусной земли (рис. 13).

Рис. 13. Источник питания с тремя типами земель (слева направо): защитной, экранной и сигнальной
На рисунке сплошной жирной линией нарисован металлический корпус прибора, кружочки обозначают клеммные соединители. Методы соединения различных земель между собой будут описаны далее (см. раздел "Методы заземления").
Молния и атмосферное электричество
Молнии являются одними из распространённых причин нежелательных перенапряжений, сбоев и отказов в системах автоматизации. Заряд, накапливаемый в облаках, имеет потенциал величиной около нескольких миллионов вольт относительно поверхности Земли и является отрицательным. Длительность разряда молнии составляет в среднем 0,2 с, редко до 1…1,5 с, длительность переднего фронта импульса – от 3 до 20 мкс, ток составляет несколько тысяч ампер и даже до 100 кА (рис. 14), температура в канале достигает 20 000°C, появляется мощное магнитное поле и радиоволны. Молнии могут образовываться также при пылевых бурях, метелях, извержениях вулканов. Частота поражения молнией зданий высотой 20 м и размерами в плане 100x100 м составляет 1 раз в 5 лет, а для зданий с размерами порядка 10x10 м – 1попадание за 50 лет (РД 34.21.122-87).
Количество прямых ударов молнии в Останкинскую телебашню высотой 540 м составляет 30 ударов в год. Для защиты от прямого удара молнии используют молниеотводы, которые состоят из штыря (молниеприёмника), находящегося над зданием, заземлителя и соединяющего их проводника. Система молниеотвода образует низкоимпедансный путь для прохождения тока молнии на землю, минуя структуры здания. Молниеотвод должен находиться как можно дальше от здания, чтобы ослабить эффект взаимной индукции, и в то же время достаточно близко, чтобы защитить здание от прямого попадания молнии. Для зданий с большой площадью крыши молниеотводы устанавливают на крыше и соединяют между собой и с заземлителем стальными полосами.
Заземлитель молниеотвода выполняют отдельно от защитного заземления здания, но электрически соединяют с ним с целью выравнивания потенциалов и устранения возможных искрений (РД 34.21.122-87).
Ток молнии, проходя по земле, создаёт в ней падение напряжения, которое может вывести из строя драйверы интерфейсов, если они не имеют гальванической развязки и расположены в разных зданиях (с разными заземлителями).
В линиях электропередачи разряд молнии принимается на экранирующий провод, который отводит молнию в землю через заземлитель. Экранирующий провод протягивают над фазовыми проводами, однако на фазовых проводах наводится импульс эдс вследствие явления электромагнитной индукции. Этот импульс проходит на трансформаторную подстанцию, где ослабляется искровыми разрядниками. Остаточный импульс проходит в потребительскую линию (рис. 10 a) и через силовой трансформатор — в цепи заземления систем автоматизации (рис. 12).
На системы автоматизации молнии воздействуют через электромагнитный импульс, который может вывести из строя устройства гальванической развязки и пережечь провода малого поперечного сечения током, который генерируется вследствие явления электромагнитной индукции. Вторым природным явлением, связанным с грозой, является атмосферное электричество. Электрический потенциал грозового облака во время дождя может составлять десятки миллионов и даже до 1 миллиарда вольт. Когда напряжённость электрического поля между облаком и поверхностью земли достигает 500…1000 В/м, начинается электрический разряд с острых предметов (мачты, трубы, деревья и т.п.).
Высокая напряжённость поля, вызванная атмосферным электричеством, может наводить заряды в "плавающих" цепях с высоким сопротивлением изоляции относительно земли величиной в несколько тысяч вольт и приводить к пробою оптронов в модулях гальванической развязки. Для защиты от атмосферного электричества гальванически изолированные цепи, не имеющие низкоомного пути на землю, должны быть помещены в заземлённый электростатический экран. В частности, атмосферное электричество является одной из причин, по которым промышленные сети прокладывают экранированной витой парой. Экран кабеля нужно заземлять только в одной точке (см. подраздел "Заземление экранов сигнальных кабелей").

Рис. 14. Типовая форма импульса тока при разряде молнии
Следует отметить, что молниеотводы, служащие для защиты от прямого удара молнии, не могут существенно уменьшить напряжённость электрического поля атмосферных зарядов и никак не защищают аппаратуру от мощного электромагнитного импульса во время грозы.
Статическое электричество
Статическое электричество возникает на диэлектрических материалах. Величина заряда зависит от скорости движения трущихся тел, их материала и величины поверхности соприкосновения. Примерами трущихся тел могут быть:
- ремённый привод;
- лента конвейера;
- синтетическая одежда и обувь на теле человека;
- поток непроводящих твёрдых частиц (пыли), газа или воздуха через сопло;
- движение непроводящей жидкости, заполняющей цистерну;
- автомобильные шины, катящиеся по непроводящей дороге;
- резиновые ролики под стульями, когда стулья перемещаются по непроводящему полу.
Ремённый привод, состоящий из диэлектрического ремня и двух шкивов, является наиболее общим примером генератора статического электричества.
Потенциал статического заряда на ремне может достигать 60…100 кВ, а пробиваемый воздушный промежуток – 9 см. Поэтому на взрывоопасных производствах (элеваторы, мельницы) ремни используют с проводящими присадками или металлизацией. Для снятия зарядов с ремней и других электризующихся предметов используют заземлённый подпружиненный металлический гребешок или щётку, которые касаются движущейся поверхности.
Конвейерные ленты электризуются хуже ремённого привода вследствие более низкой скорости движения ленты.
Вторым способом борьбы со статическим электричеством является установка в помещении увлажнителя воздуха для получения влажности выше 50%.
Для уменьшения зарядов на теле человека используют заземление запястья работников, электропроводные полы, электропроводную одежду, увлажнение воздуха.
Результатом возникновения статических электрических зарядов может быть пробой входных каскадов измерительных систем, появление линий на ЭЛТ-мониторах, переход триггеров в другое состояние, поток ошибок в цифровых системах, пробой изоляции гальванически изолированных цепей с большим сопротивлением на землю, воспламенение взрывоопасной смеси.
Для защиты систем автоматизации от сбоев, вызванных статическим электричеством, используют электростатические экраны, соединённые с экранным заземлением, а также преобразователи интерфейсов с защитой от статического электричества (например, преобразователь интерфейсов NL_232C имеет защиту от статических зарядов с потенциалом до ±8 кВ по стандарту IEC 1000-4-2).
Кондуктивные наводки
Кондуктивная наводка – это помеха, которая передаётся из соседних электрических цепей не через электромагнитное поле, а путём переноса электрического тока по общим для обеих цепей проводникам, в основном через общие участки цепей заземления или питания. Обычно источником кондуктивных помех являются генераторы, цепи с большим током, цифровая часть аналого-цифровой схемы, реле, DC/D- и AC/DC-преобразователи, шаговые двигатели с импульсным питанием, мощные печи с ШИМ-управлением, а также помехи из сети питания, протекающие по общему участку заземления, и помехи с частотой преобразования источника бесперебойного питания (UPS).
Наиболее типичной причиной появления кондуктивных помех в системах промышленной автоматизации является неправильно выполненное заземление.

Рис. 15. Прохождение кондуктивной помехи при неправильном соединении земель и цепей сигнала (а) и при правильном соединении (б)
Рассмотрим пример (рис. 15). Ток питания цифровой части модуля ввода I пом проходит по общему участку провода, который имеет сопротивление Rобщ и создаёт на нём падение напряжения помехи Vпом. При неправильном соединении аналогового входа модуля ввода с источником сигнала (на рис. 15 а показано зачёркнутой линией) ко входу модуля прикладывается сумма напряжения измеряемого сигнала и напряжения помехи Ес + Vпом.
При более правильном соединении входа "–" модуля с источником сигнала (на рис. 15 а показано штриховой линией) на вход модуля действует синфазная помеха Vпом, которая при недостаточном коэффициенте подавления синфазного сигнала может вносить погрешность в результат измерения. Для устранения обоих источников погрешности соединение аналоговой и цифровой земли необходимо выполнять в одной общей точке (рис. 15 б). При этом падение напряжения помехи на заземляющем проводнике никак не сказывается на аналоговой части модуля.
Электромагнитные наводки
Электромагнитные наводки появляются вследствие явления электромагнитной индукции: в проводящем контуре, находящемся в электромагнитном поле, возникает эдс индукции, если контур разомкнут, или индукционный ток, если контур замкнут. Источниками электромагнитного поля помехи могут быть радиомодем, радиотелефон, радиоретранслятор, радиостанция, сотовый передатчик на крыше здания, двигатель с искрящимися щётками, электросварочный аппарат, трамвай, люминесцентные лампы, тиристорный регулятор, компьютер, телевизионные и радиостанции, сотовые телефоны, цифровая часть измерительной системы, реле регулятора, космическое коротковолновое излучение, удар молнии и др.
Источником электромагнитной помехи может быть также и цифровая (дискретная) подсистема системы автоматизации, например, компьютер, реле, тиристоры, мощные выходы дискретных модулей. Сильными источниками электромагнитных помех являются и оптоволоконные передатчики, поскольку они потребляют большой ток и работают на высоких частотах. Излучаются помехи с помощью случайных проводников, образующих дипольную или рамочную антенну. Дипольная антенна является источником преимущественно электрического поля в её окрестности, рамочная – источником магнитного поля. Вдали от таких источников доминирующего поля нет, есть поперечная электромагнитная волна. Реальные системы образуют множество излучающих антенн, состоящих из проводников, кабелей и различных металлических поверхностей.
Наводятся электромагнитные помехи на всех проводящих предметах, которые в рассматриваемом случае играют роль антенн. Мощность наведённой помехи зависит от площади контура, охваченного проводником, или от длины провода. Помеха, наведённая в такой антенне, кондуктивным путём может передаваться в сигнальные цепи или цепи заземления, вызывая поток ошибок в цифровых схемах или погрешность передачи сигнала в аналоговых.
Наиболее распространёнными приёмниками электромагнитных помех являются длинные провода: цепи заземления, промышленные сети (полевые шины), кабели, соединяющие датчики и модули аналогового ввода, кабели информационных коммуникаций. Подробнее о защите кабелей систем автоматики от электромагнитных помех. "Замаскированными" приёмниками электромагнитных помех являются металлические конструкции в зданиях: металлические стеллажи, окна с металлической рамой, трубы водоснабжения и отопления здания, защитное контурное заземление здания и т.п.
Основными методами борьбы с электромагнитными наводками являются уменьшение площади контура, принимающего помеху, и применение дифференциального способа передачи сигнала в сочетании с витыми парами проводов.

Рис. 16. Наведение электромагнитной помехи через "замаскированную" антенну и взаимную индуктивность
Однако даже в контуре с маленькой площадью может наводиться большая помеха, если при монтаже допустить ошибку, показанную на рис. 16: в металлической раме стеллажа (стола) наводится ток помехи Iпом от источника I1, который далее наводит напряжение Vпом во втором витке провода, то есть происходит трансформация сигнала помехи через короткозамкнутый виток, образуемый рамой стеллажа.
Методы заземления
Техника заземления в системах промышленной автоматизации сильно различается для гальванически связанных и гальванически развязанных цепей.
Большинство методов, описанных в литературе, относится к гальванически связанным цепям, доля которых в последнее время существенно уменьшилась в связи с резким падением цен на DC/DC.преобразователи.
Заземление гальванически связанных цепей
Мы рекомендуем избегать применения гальванически связанных цепей, а если другого варианта нет, то желательно, чтобы размер этих цепей был по
возможности малым и чтобы они располагались в пределах одного шкафа.
Примером гальванически связанной цепи является соединение источника и приёмника стандартного сигнала 0…5 В (рис17, 18).
Чтобы пояснить, как корректно выполнить заземление, рассмотрим вариант неправильного (рис17) и правильного (рис18) монтажа.

Рис. 17. Пример неправильного заземления
На рис. 17. допущены следующие ошибки:
- ток мощной нагрузки (двигателя постоянного тока) протекает по той же шине заземления, что и сигнал, создавая падение напряжения VЗемли;
- использовано однополярное включение приёмника сигнала, а не дифференциальное;
- использован модуль ввода без гальванической развязки цифровой и аналоговой частей, поэтому ток питания цифровой части, содержащий помеху, протекает через вывод AGND и создаёт дополнительное падение напряжения помехи на сопротивлении R1
Перечисленные ошибки приводят к тому, что напряжение на входе приёмника Vвх равно сумме напряжения сигала Vвых и напряжения помехи VЗемли= R1· (Iпит + IМ)
Для устранения этого недостатка в качестве проводника заземления можно использовать медную шину большого сечения, однако лучше выполнить заземление так, как показано на рис18,

Рис. 18. Пример решения проблемы, показанной на рис. 17.
а именно:
- все цепи заземления соединить в одной точке (при этом ток помехи IМ уже не протекает через сопротивление R1);
- проводник заземления приёмника сигнала присоединить к той же общей точке (при этом ток Iпит уже не протекает через сопротивление R1, а
падение напряжения на сопротивлении проводника R2 не складывается с выходным напряжением источника сигнала Vвых)
Общим правилом ослабления связи через общий провод заземления является деление земель на аналоговую, цифровую, силовую и защитную с последующим их соединением только в одной точке.
При разделении заземлений гальванически связанных цепей используется общий принцип: цепи заземления с большим уровнем шума должны выполняться отдельно от цепей с малым уровнем шума, а соединяться они должны только в одной общей точке.
Точек заземления может быть несколько, если топология такой цепи не приводит к появлению участков «грязной» земли в контуре, включающем источник и приёмник сигнала, а также если в цепи заземления не образуются замкнутые контуры, принимающие электромагнитные помехи.
Недостатком метода разделения проводников заземления является низкая эффективность на высоких частотах, когда большую роль играет взаимная индуктивность между рядом идущими проводниками заземления, которая только заменяет гальванические связи на индуктивные, не решая проблемы в целом.
Большая длина проводников приводит также к увеличению сопротивления заземления, что важно на высоких частотах.
Поэтому заземление в одной точке используется на частотах до 1 МГц, свыше 10 МГц заземлять лучше в нескольких точках, а в промежуточном диапазоне от 1 до 10 МГц следует использовать одноточечную схему, если наиболее длинный проводник в цепи заземления меньше 1/20 от длины волны помехи.
В противном случае используется многоточечная схема [16]. Заземление в одной точке часто используется в военных и космических устройствах [16].
Заземление гальванически развязанных цепей
Радикальным решением описанных проблем (рис17 и 18) является применение гальванической изоляции с раздельным заземлением цифровой, аналоговой и силовой частей системы (рис19).

Рис. 19. Пример радикального решения проблемы, показанной на рис. 17 и 18.
Силовая часть обычно заземляется через шину защитного заземления. Применение гальванической изоляции позволяет разделить аналоговую и цифровую землю, а это, в свою очередь, исключает протекание по аналоговой земле токов помехи от силовой и цифровой земли.
Аналоговая земля может быть соединена с защитным заземлением через сопротивление RAGND (подробнее смразделы «,,Плавающая“ земля» и «Гальваническая развязка»)
Заземление экранов сигнальных кабелей
Вопросы передачи сигналов по кабелю подробно описаны в работе [2]. Здесь мы рассмотрим только заземление при передаче сигнала по витой экранированной паре, поскольку этот случай наиболее типичен для систем промышленной автоматизации.
Так как длина сигнального кабеля обычно составляет десятки и сотни метров, он должен быть защищён от переменного магнитного поля (применением витой пары), электростатических зарядов и ёмкостных наводок (экранированием).

Рис. 20. Пример неправильного (с двух сторон) заземления экрана кабеля на низких частотах
Если частота помехи не превышает 1 МГц, то кабель надо заземлять с одной стороны. Если его заземлить с двух сторон (рис20), то образуется замкнутый контур, который будет работать как антенна, принимая электромагнитную помеху (на рис20 путь тока помехи показан штриховой линией).
Ток помехи, проходя по экрану кабеля, будет наводить на центральных жилах кабеля помеху через взаимную индуктивность.
Если точки заземления концов кабеля разнесены на значительное расстояние, между ними может существовать разность потенциалов, вызванная блуждающими токами в земле или помехами в шине заземления.
Блуждающие токи наводятся электрифицированным транспортом (трамваями, поездами метрополитена и железных дорог), сварочными агрегатами, устройствами электрохимической защиты, естественными электрическими полями, вызванными фильтрацией вод в горных породах, диффузией водных растворов и др.
Особенно большие токи возникают при ударе молнии. Блуждающие токи вызывают разность потенциалов Епомехи между концами оплётки кабеля и паразитный ток, который также наводит в центральных жилах помеху вследствие взаимной индукции.

Рис. 21. Пример неправильного (со стороны приёмника сигнала) заземления экрана кабеля
Оплётку кабеля надо заземлять со стороны источника сигнала. Если заземление сделать со стороны приёмника, то ток помехи будет протекать по пути, показанному на рис. 21 штриховой линией, то есть через ёмкость между жилами кабеля, создавая на ней и, следовательно, между дифференциальными входами напряжение помехи.
Поэтому заземлять оплётку надо со стороны источника сигнала (рис. 22), в этом случае путь для прохождения тока помехи отсутствует.

Рис. 22. Правильное заземление экрана (дополнительное заземление справа используется для случая высокочастотного сигнала)
Если источник сигнала не заземлён (например, термопара), то заземлять экран можно с любой стороны, так как в этом случае замкнутый контур для тока помехи не образуется.
На частотах более 1 МГц увеличивается индуктивное сопротивление экрана, и токи ёмкостной наводки создают на нём большое падение напряжения, которое может передаваться на внутренние жилы через ёмкость между оплёткой и жилами.
Кроме того, при длине кабеля, сравнимой с длиной волны помехи (длина волны помехи на частоте 1 МГц равна 300 м, на частоте 10 МГц – 30 м), возрастает сопротивление оплётки (смраздел «Модель ,,земли“»), что резко повышает напряжение помехи на оплётке.
Поэтому на высоких частотах оплётку кабеля надо заземлять не только с обеих сторон, но и в нескольких точках между ними (рис23).

Рис. 23. Заземление экрана длинного кабеля на высоких частотах
Эти точки выбирают на расстоянии 1/10 длины волны помехи одна от другой. При этом по оплётке кабеля будет протекать часть тока IЗемли, передающего помеху в центральную жилу через взаимную индуктивность.
Ёмкостный ток также будет протекать по пути, показанному на рис. 21, однако высокочастотная составляющая помехи будет ослаблена. Выбор количества точек заземления кабеля зависит от разницы напряжений помехи на концах экрана, частоты помехи, требований к защите от ударов молнии или от величины токов, протекающих через экран в случае его заземления.
В качестве промежуточного варианта можно использовать второе заземление экрана через ёмкость (рис. 22). При этом по высокой частоте экран получается заземлённым с двух сторон, по низкой частоте – с одной. Это имеет смысл в том случае, когда частота помехи превышает 1 МГц, а длина кабеля в 10…20 раз меньше длины волны помехи, то есть когда ещё не нужно выполнять заземление в нескольких промежуточных точках.
Величину ёмкости можно рассчитать по формуле Свч = 1/(2 · π · ƒ · Xс), где ƒ верхняя частота границы спектра помехи, Xс – ёмкостное сопротивление заземляющего конденсатора (доли ома). Например, на частоте 1 МГц конденсатор ёмкостью 0,1 мкФ имеет сопротивление 1,6 Ом.
Конденсатор должен быть высокочастотным, с малой собственной индуктивностью. Для качественного экранирования в широком спектре частот используют двойной экран (рис. 24).
Рис. 24. Двойное экранирование длинного кабеля
[8] Внутренний экран заземляют с одной стороны — со стороны источника сигнала, чтобы исключить прохождение ёмкостной помехи по пути, показанному на рис. 21, а внешний экран уменьшает высокочастотные наводки.
Во всех случаях экран должен быть изолирован, чтобы предотвратить его случайные контакты с металлическими предметами и землёй.
Отметим, что частота помехи – это частота, которую могут воспринимать чувствительные входы устройств систем автоматизации. В частности, если на входе аналогового модуля имеется фильтр, то максимальная частота помехи, которую надо учитывать при экранировании и заземлении, определяется верхней граничной частотой полосы пропускания фильтра.
Поскольку даже при правильном заземлении, но длинном кабеле помеха всё равно проходит через экран, то для передачи сигнала на большое расстояние или при повышенных требованиях к точности измерений нужно передавать сигнал в цифровой форме или ещё лучше через оптический кабель. Для этого можно использовать, например, модули аналогового ввода RealLab! серии NL или ADAM-4000 и оптоволоконные преобразователи интерфейса RS-485, например типа SN-OFC-ST62.5/125 фирмы НИЛ АП или ADAM-4541/4542+ компании Advantech.
Заземление экранов кабелей систем автоматизации на электрических подстанциях
На электрических подстанциях на оплётке (экране) сигнального кабеля системы автоматизации, проложенного под высоковольтными проводами на уровне земли и заземлённого с одной стороны, может наводиться напряжение величиной в сотни вольт [17] во время коммутации тока выключателем. Поэтому с целью электробезопасности оплётку кабеля заземляют с двух сторон.
Для защиты от электромагнитных полей с частотой 50 Гц экран кабеля также заземляют с обеих сторон. Это оправданно в случаях, когда известно, что электромагнитная наводка с частотой 50 Гц больше, чем наводка, вызванная протеканием выравнивающего тока через оплётку.
Заземление экранов кабелей для защиты от молнии
Для защиты от магнитного поля молнии сигнальные кабели систем автоматизации, проходящие по открытой местности, должны быть проложены в металлических трубах из ферромагнитного материала, например стали. Трубы играют роль магнитного экрана [3]. Нержавеющую сталь использовать нельзя, поскольку этот материал не является ферромагнитным. Трубы прокладывают под землёй, а при наземном расположении они должны быть заземлены примерно через каждые 3 метра [8]. Кабель должен быть экранирован и экран заземлён. Заземление экрана должно быть произведено очень качественно с минимальным сопротивлением на землю.
Внутри здания магнитное поле ослабляется, если здание железобетонное, и не ослабляется, если оно кирпичное. Радикальным решением проблем защиты от молнии является применение оптоволоконного кабеля, который стоит уже достаточно дёшево и легко подключается к интерфейсу RS.485.
Заземление при дифференциальных измерениях
Если источник сигнала не имеет сопротивления на землю, то при дифференциальном измерении образуется «плавающий» вход. На «плавающем» входе может наводиться статический заряд от атмосферного электричества (см. также разделы «Молния и атмосферное электричество», «Плавающая земля») или входного тока утечки операционного усилителя.
Для отвода заряда и тока на землю потенциальные входы модулей аналогового ввода обычно содержат внутри себя резисторы сопротивлением от 1 до 20 МОм, соединяющие аналоговые входы с землёй. Однако при большом уровне помех или большом импедансе источника сигнала даже сопротивление 20 МОм может оказаться недостаточным и тогда необходимо дополнительно использовать внешние резисторы номиналом от десятков кОм до 1 МОм или конденсаторы с таким же сопротивлением на частоте помехи (рис. 25).

Рис. 25. Заземление аналоговых входов через сопротивления для уменьшения помех на «плавающем» входе
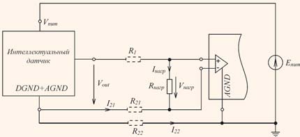
Заземление интеллектуальных датчиков
В последнее время получили широкое распространение и развитие так называемые интеллектуальные датчики, содержащие микроконтроллер для линеаризации характеристики преобразования датчика. Интеллектуальные датчики выдают сигнал в цифровой или аналоговой форме [18].
Вследствие того, что цифровая часть датчика совмещена с аналоговой, при неправильном заземлении выходной сигнал имеет повышенный уровень шума.
Некоторые датчики, например фирмы Honeywell, имеют ЦАП с токовым выходом и поэтому требуют подключения внешнего сопротивления нагрузки порядка 20 кОм [18], поэтому полезный сигнал в них получается в форме напряжения, падающего на нагрузочном резисторе при протекании выходного тока датчика.
Рассмотрим пример (рис. 26).

Рис. 26. Неправильное заземление интеллектуальных датчиков
Напряжение на нагрузке равно:
Vнагр = Vout – Iнагр · R1+ I2· R2,
то есть оно зависит от тока I2, который включает в себя ток цифровой земли. Ток цифровой земли содержит шум и, в соответствии с приведённой формулой, влияет на напряжение на нагрузке. Чтобы устранить этот эффект, цепи заземления надо выполнить так, как показано на рис. 27. Здесь ток цифровой земли не протекает через сопротивление R21 и поэтому не вносит шум в напряжение сигнала на нагрузке.

Рис. 27. Правильное заземление интеллектуальных датчиков
Заземление шкафов с аппаратурой систем автоматизации
Монтаж шкафов с аппаратурой должен учитывать всю ранее изложенную информацию. Однако заранее нельзя сказать однозначно, какие требования являются обязательными, какие – нет, поскольку набор обязательных требований зависит от необходимой точности измерений и от окружающей электромагнитной обстановки.
Поэтому приведённые далее примеры заземления разделены на «правильные» и «ошибочные» условно. При этом «правильный» пример всегда даёт меньший уровень помех, чем «неправильный».
На рис. 28 приведён пример, в котором каждое отличие от рис. 29 увеличивает вероятность сбоев цифровой части и ухудшает погрешность аналоговой.

Рис. 28. Пример неправильного заземления шкафов с аппаратурой системы автоматизации (красным цветом выделены неправильные соединения; GND — вывод для подключения заземлённого вывода питания)
На рис28 сделаны следующие «неправильные» соединения:
- заземление шкафов выполнено в разных точках, поэтому потенциалы их земель отличаются (рис17 и 18);
- шкафы соединены между собой, что создаёт замкнутый контур в цепи заземления (смрис16, а также разделы «Защитное заземление зданий», «Заземляющие проводники» и «Электромагнитные наводки»);
- проводники аналоговой и цифровой земель в левом шкафу на большом участке идут параллельно, поэтому на аналоговой земле могут появиться индуктивные и ёмкостные наводки от цифровой земли;
- вывод GND блока питания соединён с корпусом шкафа в ближайшей точке, а не на клемме заземления, поэтому по корпусу шкафа течёт ток помехи, проникающий через трансформатор блока питания (рис12 и 13);
- используется один блок питания на два шкафа, что увеличивает длину и индуктивность проводника заземления;
- в правом шкафу выводы земли подсоединены не к клемме заземления, а непосредственно к корпусу шкафаПри этом корпус шкафа становится источником индуктивной наводки на все провода, проходящие вдоль его стен;
- в правом шкафу в среднем ряду аналоговая и цифровая земли соединены прямо на выходе блоков, что неправильно (рис17, 18, 19)
Перечисленные недостатки устранены на рис. 29.

Рис. 29. Пример правильного заземления шкафов системы автоматизации
Дополнительным улучшением разводки в этом примере было бы применение отдельного проводника заземления для наиболее чувствительных аналоговых модулей ввода.
В пределах шкафа (стойки) желательно группировать аналоговые модули отдельно, цифровые – отдельно, чтобы при прокладке проводов в кабельном канале уменьшить длину участков параллельного прохождения цепей цифровой и аналоговой земель.
Заземление в распределённых системах управления
В системах управления, распределённых по некоторой территории с характерными размерами в десятки и сотни метров, нельзя использовать модули ввода без гальванической развязки. Только гальваническая развязка позволяет соединять цепи, заземлённые в точках с разными потенциалами.
Кабели, проходящие по открытой местности, должны быть защищены от магнитных импульсов, возникающих во время грозы (см. разделы «Молния и атмосферное электричество», «Заземление экранов кабелей для защиты от молнии»), и от магнитных полей, появляющихся при коммутации мощных нагрузок (см. раздел «Заземление экранов кабелей систем автоматизации на электрических подстанциях»)Особое внимание надо уделить заземлению экрана кабеля (см. раздел «Заземление экранов сигнальных кабелей»)
Радикальным решением для территориально распределённой системы управления является передача информации по оптическому волокну или радиоканалу.
Неплохие результаты можно получить, отказавшись от передачи информации по аналоговым стандартам в пользу цифровых. Для этого можно использовать соответствующие модули для построения распределённых систем управления, например серий ADAM-4000 или NL. Суть этого подхода заключается в том, что модуль ввода располагают возле датчика, уменьшая тем самым длину проводов с аналоговыми сигналами, а в ПЛК передаётся сигнал по цифровому каналу.
Разновидностью такого подхода является применение датчиков со встроенными в них АЦП и цифровым интерфейсом. Подобные датчики сейчас есть среди изделий многих фирм, например Pepperl+Fuchs, Siemens, Omron и др.; выпускаются такие датчики уже упоминавшейся серии NL, например датчик влажности NL-1DT100.
Заземление чувствительных измерительных цепей
Для измерительных цепей с высокой чувствительностью в плохой электромагнитной обстановке лучшие результаты даёт применение «плавающей» земли (см. раздел «Плавающая земля») совместно с батарейным питанием [19] и передачей информации по оптоволокну.
Заземление исполнительного оборудования и приводов АСУ ТП
Цепи питания двигателей с импульсным управлением, двигателей сервоприводов, исполнительных устройств с ШИМ управлением должны быть выполнены витой парой для уменьшения магнитного поля, а также экранированы для снижения электрической составляющей излучаемой помехи.
Экран кабеля должен быть заземлён с одной стороны.
Цепи подключения датчиков таких систем должны быть помещены в отдельный экран и по возможности пространственно отдалены от исполнительных устройств.
Заземление в промышленных сетях
Промышленная сеть на основе интерфейса RS-485 выполняется экранированной витой парой с обязательным применением модулей гальванической развязки (рис. 30).

Рис. 30. Заземление в промышленной сети на основе интерфейса RS-485
Для небольших расстояний (порядка 10 м) при отсутствии поблизости источников помех экран можно не использовать. При больших расстояниях (стандарт допускает длину кабеля до 1,2 км) разница потенциалов земли в удалённых друг от друга точках может достигать нескольких единиц и даже десятков вольт (см. раздел «Заземление экранов сигнальных кабелей»).
Поэтому, чтобы предотвратить протекание по экрану тока, выравнивающего эти потенциалы, экран кабеля нужно заземлять только в одной точке (безразлично, в какой). Это также предотвратит появление замкнутого контура большой площади в цепи заземления, в котором за счёт электромагнитной индукции может наводиться ток большой величины при ударах молнии или коммутации мощных нагрузок.
Ток через взаимную индуктивность наводит на центральной паре проводов эдс, которая может вывести из строя микросхемы драйверов порта.
При использовании неэкранированного кабеля на нём может наводиться большой статический заряд (несколько киловольт) за счёт атмосферного электричества, который способен вывести из строя элементы гальванической развязки. Для предотвращения этого эффекта изолированную часть устройства гальванической развязки следует заземлить через сопротивление, например 0,1...1 МОм.
Сопротивление, показанное на рис. 30 штриховой линией, снижает также вероятность пробоя при повреждениях заземления или большом сопротивлении гальванической изоляции в случае применения экранированного кабеля.
Особенно сильно проявляются описанные эффекты в сетях Ethernet с коаксиальным кабелем, когда при заземлении в нескольких точках (или отсутствии заземления) во время грозы выходят из строя сразу несколько сетевых Ethernet плат.
В сетях Ethernet с малой пропускной способностью (10 Mбит/с) заземление экрана следует выполнять только в одной точке. В Fast Ethernet (100 Мбит/с) и Gigabit Ethernet (1 Гбит/с) заземление экрана следует выполнять в нескольких точках, пользуясь рекомендациями раздела «Заземление экранов сигнальных кабелей».
Руководствоваться правилами из данного раздела нужно и при прокладке кабеля на открытой местности.
Заземление на взрывоопасных промышленных объектах
На взрывоопасных промышленных объектах при монтаже заземления многожильным проводом не допускается применение пайки для спаивания жил между собой, поскольку вследствие хладотекучести припоя возможно ослабление мест контактного давления в винтовых зажимах.
Экран кабеля интерфейса RS-485 заземляется в одной точке вне взрывоопасной зоны. В пределах взрывоопасной зоны он должен быть защищён от случайного соприкосновения с заземлёнными проводниками. Искробезопасные цепи не должны заземляться, если этого не требуют условия работы электрооборудования (ГОСТ Р 51330.10, п6.3.5.2).
Искробезопасные цепи должны быть смонтированы таким образом, чтобы наводки от внешних электромагнитных полей (например, от расположенного на крыше здания радиопередатчика, от воздушных линий электропередачи или близлежащих кабелей для передачи большой мощности) не создавали опасного напряжения или тока в искробезопасных цепях.
Это может быть достигнуто экранированием или удалением искробезопасных цепей от источника электромагнитной наводки.
При прокладке в общем пучке или канале кабели с искроопасными и искробезопасными цепями должны быть разделены промежуточным слоем изоляционного материала или заземлённой металлической перегородкой. Никакого разделения не требуется, если используются кабели с металлической оболочкой или экраном.
Заземлённые металлические конструкции не должны иметь разрывов и плохих контактов между собой, которые могут искрить во время грозы или при коммутации мощного оборудования.
На взрывоопасных промышленных объектах используются преимущественно электрические распределительные сети с изолированной нейтралью, чтобы исключить возможность появления искры при коротком замыкании фазы на землю и срабатывания предохранителей защиты при повреждении изоляции.
Для защиты от статического электричества используют заземление, описанное в соответствующем разделе. Статическое электричество может быть причиной воспламенения взрывоопасной смеси. Например, при ёмкости человеческого тела 100…400 пФ и потенциале заряда 1 кВ энергия искрового разряда с тела человека будет равна 50…200 мкДж, что может быть достаточно для воспламенения взрывоопасной смеси группы IIC (60 мкДж) [20].
Верификация заземления
Для обнаружения проблем заземления используют осциллографы с «плавающим» (батарейным) питанием и самописцы.
Самописцы [11] помогают найти плохие («шуршащие») контакты в цепи заземления и питания аппаратуры, редко появляющиеся сбои в системах автоматизации. Для этого с помощью многоканального компьютерного самописца контролируют интересующий параметр, напряжение в цепи низковольтного питания, в питающей сети 220 В и разность напряжений между несколькими точками системы заземления. Непрерывная запись параметров процесса и напряжений позволяет установить причинно- следственную связь между сбоями технологических параметров и выбросами напряжения в цепи питания и заземления.
Осциллографы с «плавающим» питанием [19] позволяют контролировать величину и частоту помехи на клеммах заземления в монтажных шкафах систем автоматизации, оценить уровень и найти источник магнитного поля помехи с помощью антенны из нескольких витков провода, подключенной к осциллографу.
Аналогично можно найти источник электрического поля с помощью пластины (обкладки конденсатора).Идеальным прибором для исследования помех мог бы быть миниатюрный цифровой осциллограф с малой ёмкостью на землю и на руки оператора, с батарейным питанием и передающий сигнал в компьютер через оптический кабель, имеющий потенциальный, токовый и электрометрический входы.
Выводы: Правила заземления
Радикальные методы решения проблем заземления:
- Используйте модули ввода.вывода только с гальванической развязкой
- Не применяйте длинных проводов от аналоговых датчиков
- Располагайте модули ввода в непосредственной близости к датчику, а сигнал передавайте в цифровой форме
- Используйте датчики с цифровым интерфейсом
- На открытой местности и при больших дистанциях используйте оптический кабель вместо медного
- Используйте только дифференциальные (не одиночные) входы модулей аналогового ввода
Другие советы:
- Используйте в пределах вашей системы автоматизации отдельную землю из медной шины, соединив её с шиной защитного заземления здания только в одной точке
- Аналоговую, цифровую и силовую землю системы соединяйте только в одной точке. Если этого сделать невозможно, используйте медную шину с большой площадью поперечного сечения для уменьшения сопротивления между разными точками подключения земель
- Следите, чтобы при монтаже системы заземления случайно не образовался замкнутый контур
- Не используйте по возможности землю как уровень отсчёта напряжения при передаче сигнала
- Если провод заземления не может быть коротким или если по конструктивным соображениям необходимо заземлить две части гальванически связанной системы в разных точках, то эти системы нужно разделить с помощью гальванической развязки
- Цепи, изолированные гальванически, нужно заземлять, чтобы избежать накопления статических зарядов
- Экспериментируйте и пользуйтесь приборами для оценки качества заземления. Допущенные ошибки не видны сразу
- Пытайтесь идентифицировать источник и приёмник помех, затем нарисуйте эквивалентную схему цепи передачи помехи с учётом паразитных ёмкостей и индуктивностей
- Пытайтесь выделить самую мощную помеху и в первую очередь защищайтесь от неё
- Цепи с существенно различающейся мощностью следует заземлять группами, в каждой группе – блоки с примерно равной мощностью
- Заземляющие проводники с большим током должны проходить отдельно от чувствительных проводников с малым измерительным сигналом
- Провод заземления должен быть по возможности прямым и коротким
- Не делайте полосу пропускания приёмника сигнала шире, чем это надо из соображений точности измерений
- Используйте экранированные кабели, экран заземляйте в одной точке со стороны источника сигнала на частотах ниже 1 МГц и в нескольких точках – на более высоких частотах
- Для особо чувствительных измерений используйте «плавающий» батарейный источник питания
- Самая «грязная» земля – от сетевого блока питания. Не совмещайте её с аналоговой землёй.
- Экраны должны быть изолированными, чтобы не появилось случайных замкнутых контуров, а также электрического контакта между экраном и землёй
- Прочтите также статьи [2 и 21].
ЛИТЕРАТУРА
- Rebeck A.W. Proper grounding for the automation industry // Pulp and Paper
Industry Technical Conference, Portland, OR 2001, 1822 June 2001. Р. 110113.
- Денисенко В., Халявко А. Защита от помех датчиков и соединительных проводов систем промышленной автоматизации Современные технологии автоматизации. 2001. № 1. С. 68-75.
- Vijayaraghavan G., Brown M., Barnes M. Practical grounding, bonding, shielding, and surge protection. — Elsevier, Newnes; 2004. Р. 237.
- Карякин Р.Н. Заземляющие устройства электроустановок: Справочник. — М., 1998. — 374 с.
- ПУЭ. Правила устройства электроустановок. — 6-е изд. — М.: Энергосервис,2002. — 606 с.
- Nelson J. P. High-resistance grounding of low-voltage systems: a standard for the petroleum and chemical industry // IEEE Transactions on Industry Applications. 1999.
Vol. 35, No. 4. Р. 941-948.
- Денисенко В.В. Топологическое преобразование, устраняющее незаземленные источники ЭДС в электрической цепи //Радиотехника. 1986. № 8. С. 31-33.
- Zipse D.W. Earthinggrounding methods //A Primer Industrial and Commercial Power Systems Technical Conference, 2005 8 May, 2002. Р. 158-177.
- Соколов С. Заземление и экранирование зданий для размещения оборудования систем связи // Электроника: НТБ. 2005. № 4. С. 58-59.
- Liang С., Wei Z. EMI in hydropower plant and EMC design for its computer monitoring and control system // China Electromagnetic Compatibility, 2002, 3rd
International Symposium, 21-24 May 2002 Р. 378-381.
- Burleson J. Wiring and grounding to prevent power quality problems with industrial equipment // Textile, Fiber and Film Industry Technical Conference, 89 May,
1991. Р. 5/1-5/6.
- Durham M.O., Arnold R.G. Data quality and grounding considerations for a medical facility. 2002. MWSCAS-2002 // The 2002 45th Midwest Symposium on Circuits and
Systems, 4-7 Aug. 2002. Vol. 2. Р. II-184-187.
- Reducing noise in switching for test systems — Application Note 1441-2. — Agilent Technologies. Р. 14.
- Kosc D., Hamer P. S. Grounding practices — a system-wide systematic approach // IEEE Transaction on Industry Applications. 2003. Vol. 39. No. 5. Р. 1475-1485.
- Low level measurements. — 5th edition. Ohio : Keithley ; 2004.
- Барнс Д. Электронное конструирование: методы борьбы с помехами. — М. : Мир, 1990. — 239 с.
- Ke H., Lee W.J., Chen M.S., Liu J.P., Yang J. S. Grounding techniques and induced surge voltage on the control signal cables // IEEE Transactions on Industry Applications. 1998. Vol. 34. No. 4. P. 663- 668.
- Caruso M. Analog grounding considerations : Application Note AN-103. — Honeywell.
- Floating oscilloscope measurements and operator protection : Technical Brief. — Tektronix, 1998.
- Денисенко В.В. Выбор аппаратных средств автоматизации опасных промышленных объектов // Современные технологии автоматизации. 2005. № 4. С. 86-94.
- Гарманов А. Принципы обеспечения электросовместимости измерительных приборов // Современные технологии автоматизации. 2003. № 4. С. 64-72 ; 2004. № 1. С. 62-68.
Дата: 09.09.2007
Ссылка: http://www.cta.ru/
Файл: grounding.pdf, 624.76 Кб
|